- 易迪拓培训,专注于微波、射频、天线设计工程师的培养
用于车载USB供电的NCV8852
一前言
在目前的车载娱乐系统中,USB接口已经成为系统的标配。随着大电池容量的便携设备的流行,做为车载充电接口的USB电源,需要提高更大的电流以满足设备的需要。目前主流方案中,单个USB口的负载能力需要达到2.5A。车载USB系统的架构为:从汽车蓄电池取电,经过降压电路后得到5V的稳定电源,提供给USB的VBUS。汽车蓄电池的电压并不是一个稳定的电压,其变化范围是非常大的,以小型乘用车为例,其蓄电池电压典型值为13V,电压范围为9~16V,在启停等恶劣情况下,会低至6V,甚至更低。不少整车厂对USB电源有着非常严苛的要求,6V电池电压下要保证5V输出,考虑到输入端的反极性保护及线损,USB电源的输入端电压会更低。这对车载USB电源的设计是个挑战。
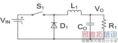
Buck电路是最常用的降压开关电源。图1所示为非同步的Buck电路。

图1.非同步buck电路结构其工作原理为,当上管S1开通时,电源VIN向负载供电,电感L1储能,电感上的电压为VIN-VO.当上管S1关闭后,电感L1向负载提供能量,电感上的电压为-VO.图二所示为电流连续模式下的BUCK电路的工作原理及波形。根据电感伏秒平衡可以得到
…………(1)
最后可以解出

图2.电流连续模式下的非同步buck的工作原理常用的BUCK电路,出于成本考虑,会选用N沟道MOSFET.但是在车载USB电源的应用中,成本较高的P沟道MOSFET却更有优势。
根据公式2,如果需要实现在VIN=5.7V下,保证VO=5V.那么最大占空比为,

88%只是理想情况下的理论计算值。实际中,需要考虑续流二极管D1的压降,开关管S1的导通压降,以及电感L1的直流阻抗的压降,如图3所示。
开关管闭合时,不考虑电流纹波,电感上的电压为:
…………(3)
其中,IO为输出电流,Rdson为上管MOSFET的导通电阻,DCR为电感的直流阻抗。
开关管管断开时,不考虑电流纹波,电感上的电压为:
…………(4)
VD为二极管的正向压降

图3.考虑寄生参数的非同步Buck电路工作原理根据电感的伏秒平衡,可以得到实际的占空比为:
…………(5)
取VIN=5.7V,VO=5V,IO=2A,VD=0.3V, Rdson=50m?, DCR=70m?,可以计算所需要的占空比为:

如果选择N沟道MOSFET做为开关S1,驱动电压要高于VIN,需要用自举电路,通过每个周期对自举电容充电来驱动NMOS,这种驱动结构在如此大的占空比的应用中问题很多。而采用P沟道MOSFET,通常可以做到100%的占空比,即常开。在常开的情况下,我们可以得到:
…………(6)
取VO=5V,IO=2A,VD=0.3V, Rdson=50m?, DCR=70m?,可以得到该情况下,输入电压最低可为:
二。基于NCV8852的车载USB电源设计
NCV8852是一款外接P沟道MOSFET的非同步BUCK控制器。输入电压可高达44V,适用于12V蓄电池系统。采用峰值电流控制,系统易于稳定,响应快。可通过在ROSC管脚外接电阻将工作频率设定在100kHz到500kHz.图4为NCV8852的典型应用电路。ISNS管脚检测上管电流,用于峰值电流控制以及过流保护。COMP管脚为误差放大器的输出,外接RC电路以补偿环路。

图4. NCV8852的典型应用电路用NCV8852设计USB电源,输入电压范围VIN=5.7~16V,典型值VIN_TYP=12V,输出电压VO =5V,输出电流IO=2.5A,工作频率fs=170kHz. Buck电路工作的最恶劣条件为输入电压最高时,此时其电流纹波最大,峰值电流最高。
1.设定工作频率NCV8852的工作频率,可根据如下公式设定:
…………(7)
当设置为170kHz时,将ROSC开路即可。
2.占空比最高工作电压下,占空比最小为:

3.选择电感
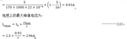
电感主要有纹波电流ΔI决定。通常将ΔI设定为典型输入电压下,最大输出电流的30%~50%,这里取为30%.


考虑30%的裕量,选取电感的直流电流大于3.2A,饱和电流大于3.9A.选取WURTH电感744770122,感值22uH,直流电阻45m?,最大直流电流4.1A,最大饱和电流5A. 4.选取电流检测电阻
…………(11)
VCL:过流门限电压,为100mV.ICL:过流保护电流值,设定限流值为最大峰值电流的1.3~1.5倍。
选取25m?采样电阻,过流保护值设为4A. 5. MOSFET选择MOSFET承受的最高电压为VINMAX ,考虑到抛负载保护,选取耐压40V以上的MOS.MOSFET的损耗,可由以下公式估算,导通损耗:

tON, tOFF为MOSFET开通和关断时间。
ISINK:为驱动下拉电流,NCV8852的驱动下拉电流典型值为200mA.
ISRC:为驱动的输出电流,NCV8852的驱动输出电流典型值为200mA
选取ONSEMI的NVTFS5116PL,耐压60V,导通电阻Rdson=52m?@VGS=10V, QGD=8nC,封装u8FL,参考热阻(芯片结温到环境温度)47OC/W.由QGD可先计算出MOSFET的开通关断时间为:

计算MOSFET功耗:在最高输入电压下

TA_MAX为最大环境温度,车载USB电源一般要求为85oC.150oC为最大结温。
在最低输入电压下

MOSFET的结温为

6.续流二极管的选择续流二极管上的最大反向压降为VINMAX ,流过二极管的最大峰值电流为2.96A,流过二极管的最大平均电流为
…………(18)
建议二极管正向电流为流过二级管的平均电流的1.5倍。这里选取ONSEMI的MBRA340, 最大正向平均电流为3A, 反向耐压40V, SMA封装,参考热阻为81oC/W。2.5A,100oC结温时的正向导通压降约为0.32V
二极管损耗(忽略寄生电容产生的损耗)为:

射频工程师养成培训教程套装,助您快速成为一名优秀射频工程师...
天线设计工程师培训课程套装,资深专家授课,让天线设计不再难...
上一篇:微功率AC-DC为智能家居提供电源动力
下一篇:通用LVDT信号调理电路

