- 易迪拓培训,专注于微波、射频、天线设计工程师的培养
锂电池管理系统的研究与实现 — 锂电池的原理特性及剩余电量研究
1.1锂电池的工作原理
早期的锂电池直接在负极中使用金属锂,容易在充电过程中产生锂沉积,并且产生腐蚀现象,大大缩短了电池的循环寿命,严重时可造成电池短路甚至爆炸。为了解决这一问题,人们开发出了锂离子电池。所谓锂离子电池,是在正极和负极中采用可以容纳锂离子的晶状结构活性材料,使锂离子随着充放电从正极转移到负极或者从负极转移到正极。
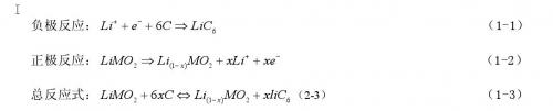
锂离子电池的充放电工作过程是通过锂离子电池正负极中的嵌入和脱嵌来实现的,当电池充电时,正极释放出锂离子于电解质中,这个过程是脱嵌,负极从电解质中吸入锂离子,这个过程是嵌入,当电池放电时发生与上述相反的过程,这种充放电时锂离子往返的嵌入和脱嵌过程好像摇椅一样摇来摇去,故有人称锂离子电池为"摇椅电池"。一般锂离子电池的负极由碳(C)材料构成,正极由锂金属氧化物(LiMO2)构成,主要的化学反应为:

锂离子电池有许多优越特性,比如高能量,较高的安全性,工作温度范围宽,工作电压平稳、贮存寿命长(相对其他的蓄电池)。从安全性来讲,锂离子电池要比其他蓄电池安全的多。特别是采取了控制措施后,锂离子电池的安全性有了很大的保证,电池经过过充、短路、穿刺、冲击(压)等滥用实验(ABUSE TEST),均无危险发生。锂离子电池与镍镉电池(Cd-Ni),镍氢电池(MH-Ni)电池一样,可以快速充电,且无记忆效应,远比Cd-Ni电池优越;它的自放电率远比MH-Ni电池低。从环境保护的角度看,世界环境保护组织早已把镉(Cd)、汞(Hg)、铅(Pb)三种元素列为有害物质。因此含有这三种元素的电池的使用受到了限制,特别是在欧洲,有些政府大幅度提高了某些电池的环境税,与之相比,锂离子电池则不存这些问题。当然,锂离子电池也有一些缺点,比如低温放电率不高,电池的价格比较高等。
1.2锂电池的充放电特性
蓄电池的充电过程是一个复杂的电化学变化过程,其复杂性表现为:
(1)多变量影响充电的因素很多,诸如极板、电介质的浓度、极板活性物的状态、充电环境温度等等,都对蓄电池所能承受的最大充电电流有直接的影响。
(2)非线性一般而言,充电电流在充电过程中随充电时间呈指数规律下降,不可能只用简单恒流或恒压控制充电全过程。
(3)复杂的电化学性即使是同一类型同一容量的电池,随着各自使用时放电的历史状态不一样,剩余电量的不一样,充电接受能力也有很大的不同。
作为给水下机器人提供动力的电池组,由于使用环境的复杂性,其充放电过程也更为复杂,尤其是过充电和过放电会对电池的结构造成不可恢复的破坏,极大的影响其健康程度和性能。锂电池技术与传统的电池技术相比有很大的性能优势,但对监测系统也有更高的要求。
如果控制不当的话,不仅对电池的结构会造成破坏,还会发生危险。
锂离子电池的标称电压为3.6V,充满电压为4.2V,对过充电和过放电都比较敏感。为了最大限度减少锂电池易受到的过充电、深放电以及短路的损害,单体锂离子电池的充电电压必须严格限制。
不同的电池可能具有不同的容量,同容量数值相同的电流值称为1C.锂电池在不同的电流下的充、放电特性会有不同,因此研究它的充、放电特性,使用正确的充、放电控制、保护方式对于其使用安全和提高使用寿命具有很大的理论和应用意义。
锂电池在充电时的特性如图:

锂电池在充电中具有如下的特性:
(1)在充电前半段,电压是逐渐上升的。
(2)在电压达到4.2V后,内阻变化,电压维持不变。
(3)整个过程中,电量不断增加。
(4)在接近充满时,充电电流会达到很小的值。
经过多年的研究,已经找到了较好的充电控制方法:
(1)首先使用恒流进行充电,使电压基本达到4.2V.安全电流为小于0.8C.
(2)恒流阶段基本能达到电量的80%.
(3)转为恒压充电,电流逐渐减小。
(4)在电流达到较小的值(如0.05C )时,电池达到充满状态。
这种恒流-恒压的充电方式能很好的到达电池的充满状态,并且不损害电池,已经成为锂电池的主要充电方式。但是在电池电压己经很低的情况下,电池内部的锂离子活性减弱,如果此时用比较大的电流充电,也有可能对电池有损害。如同人在剧烈运动前要进行必要的热身活动一样,锂离子的活性也要逐步激活。可以在电池低压段采用脉动方式,有效激活电池电压到3.0V以上,然后采用恒流-恒压的充电方式,有效的保护电池。
锂离子电池具有很好的负载能力,它在不同电流时的放电特性如图:

(1)最大可安全的提供3C的放电电流。
(2)不同的放电电流对电压和电量的影响不同,能够输出的有效电量也相差很大。
(3)放电到3V左右,电池电量已经基本输出完毕。
根据放电特性,本文将研究采用合适的放电管理和保护技术实现对参数的动态管理。2锂电池剩余容量的研究
2.1影响电池剩余容量的因素
在电池的使用过程中电池容量受许多不确定因素的影响,因而如何根据可测的电池参数对现存电池容量状态作出准确的估算是一个难题。目前,国内外较为普遍采用电池的荷电状态SOC(State of Charge)作为电池容量状态描述参数,反映电池的剩余容量,其数值定义为电池的剩余容量占电池容量的比值:

式中:CQ是电池的剩余能量,0C为电池标称容量,即在规定电流和温度下处于理想状态时的所能放出的容量。通常把一定温度下电池充电到不能再吸收能量的状态定义为荷电状态100%,而将电池再不能放出能量的状态定义为荷电状态0% 。
蓄电池的放电过程是个复杂的电化学变化过程,蓄电池的剩余容量受到电池温度、放电率、自放电、充放电循环次数等多种因素的影响,使得对于剩余容量的估算十分困难。当电池放电时,以下的一些因素将会给电池的实际剩余容量带来主要的影响。
(1)放电率。放电电流直接影响放电终止电压。在规定的放电终止电压下,放电电流越大,电池所能放出的电量越小。
(2)电池温度对容量的影响。电池温度对其容量影响较大。这是因为随着电池温度升高,极板活性物质的化学反应逐步改善,因此放电时较高的电池温度会使电池放出更多的电量。
但充电时过高的温度会使更多的氧气析出,电极电压更容易达到最大值,反而会降低充电效果。
(3)自放电率。电池在贮存期间,由于电池内杂质的作用,如正极活性的金属离子与负极活性物质组成微电池,发生负极金属溶解与氢气析出。又如溶液中从正极板溶解的杂质,若其标准电极电位介于正极与负极标准电极电位之间,则会被正极氧化,又会被负极还原。
所以有害杂质的存在,使正极和负极的活性物质被逐渐消耗,从而造成电池容量损失,这种现象称为自放电。
(4)寿命。电池经历一次充电和放电称为一次循环或一个周期。在一定放电条件下电池工作至某一规定容量值之前,电池所能承受的循环次数,称为循环寿命。对于锂离子电池,随电池寿命的变化,电池容量也会发生变化。
2.2剩余容量估计常用方法
简介在剩余容量估计中常用的方法一般有:
1.开路电压测量法。
利用电池的开路电压与电池放电深度的对应关系,通过测量电池的开路电压来估算SOC.对于锂离子电池其开路电压与它的SOC有一定的正比关系,可以用这种方法较为直接的得到电池的SOC.开路电压法比较简单,但是充放电进行的过程中开路电压是无法检测到的,因此这种方法不能用于动态估算电池的SOC。
2.电量累积法(安时积分法)。
电量累积法的直观表达式是:蓄电池的剩余电量=(总电量)-(已放出的电量)。这里,我们不用去研究相对较为复杂的电化学反应及电池内部各参数之间的关系,而把电池看作为一个封闭系统,仅关注系统的外部特征。这样,在电量监测中,将进出电池这个封闭系统的电量进行累加,通过累积电池在充电或放电过程中的电量来估测电池的SOC.同时,根据电池的温度、放电率对SOC进行补偿。放电容量和放电电流是密切相关的,当电池以某一电流放电到截止电压后,并不意味着剩余容量已经为零,此时,如果改用稍小的电流继续放电,则仍能放出一部分的电量,所以在提供剩余容量预测的同时必须给出放电电流的大小。电量累计法(安时积分法)采用积分法实时计算充入电池和从电池放出的电量,对电池的电量进行长时间的记录和监测,这样可以和满电量进行任意时刻下的比较,从而就能得到对应于该时刻的剩余电量。该方法实现起来较简单,受电池本身情况的限制小,宜于发挥微机监测的优点。但是用安时法得到的SOC估计,会随着时间的推移其误差越来越大。
3.测量内阻法。
这一方法是由日本的CHUGOKU Electric Power Co.Inc.提出用于混合动力电动汽车蓄电池荷电状态SOC的检测。该方法用不同频率的交流电激励电池,并测量电池内部的交流电阻,然后,通过建立的计算模型得到SOC估计值。应指出,该方法得到的电池荷电状态反映了电池在某特定恒流放电条件下的SOC值。这种方法实现比较困难,因为电池的工作条件对电池的内阻影响很大,内阻的计算需要考虑电动势的大小、端电压、放电电流值,用传统的数学方法很难建模。因此,在电池管理系统中较少应用这种方法来确定电池的荷电状态。
4.建立蓄电池的数学模型。
主要做法是通过实验获得电池数据(整个电池组的电压和电流),建立电池的多输入——单输出的线性模型,通过系统辨识的方法,得出电池的动态模型参数,利用此实验建模的研究结果,探讨实现对蓄电池SOC估算的修正方法。
5.模糊推理和神经网络的方法。模糊逻辑推理和神经网络是人工智能领域的两个分支,它们共同的特点就是均采用并行处理结构,均是无模型的预报器,可从系统的输入、输出样本中获取系统的输入输出关系。在蓄电池剩余容量的预测中,考虑到影响电池状态的因素很多,系统模型难以建立的问题,用模糊逻辑推理和神经网络的方法来判断电池的荷电状态一直是研究的热点。这些复杂算法在单片机系统上难以实现,所以在实际应用中还不多见,但这是未来发展的方向。
2.3本电池管理系统所采用方案
由以上分析可知,电池容量的估算方法有很多,不同的SOC估算方法各有其特点,本文通过实验分析,得出了适合锂离子电池的经验模型,采用安时积分法和开路电压测量法相结合的方案。
应用安时积分法对工作状态中的锂电池剩余容量进行计算。其基本思想是把不同电流下的放电电量等效成某个特定电流下的放电电量,再根据剩余电量来判定SOC.等效放电电量公式如下:

式中:t:充放电时间;
λ:不同充放电的系数;
i:充放电电流。

式中:0C是电池以标定的电流恒流放电所具有的容量。
在安时积分法中由于电池自放电和充放电效率的问题,误差不断积累、SOC估计值最终可能严重偏离实际值,尚未找到根本性的解决方案。
除了利用安时积分法记录电池的容量变化外。通过试验,在每次系统上电时根据电池断电时间,及其上电时的开路电压对当前SOC做一定的修正,即补偿。对电池的补偿需要对其管理的电池有一定的先验性认识。这种做法虽然比较复杂。但却被认为是实际电池能量管理系统中较为有效的一种做法。锂离子电池的端电压在其充放电过程中变化较大。所以,我们无法在运行过程中利用端电压估计电池的剩余容量。但是,当电池断电后(即静止后),其端电压随着时间的延长会逐渐趋于稳定,这时的端电压与其容量的关系较为明确。电池停放的时间越长,端电压越能表征其内部容量。基于此,可以考虑将电池的停放时间t作为参数,在电池停放前的容量0 SOC与电池稳定后其端电压所表征的容量SOC1做一定的加权,如下式:

式中:T:电池端电压稳定所需的时间;
t:电池停放时间(即两次使用的间隔时间);
SOC0 :电池停放前的剩余容量;
SOC1:电池稳定时其端电压标志的剩余容量。
理论上来说,T是一个无穷长的时间。但在实际应用中,一般认为其端电压变化率小于一定值的时候端电压即是稳定的。电池稳定后其端电压所表征的容量1 SOC可由电池供应商提供的电池参数确定,本电池管理系统所管理锂电池为雷天公司的90AH动力锂电池,参数如下图所示:

射频工程师养成培训教程套装,助您快速成为一名优秀射频工程师...
天线设计工程师培训课程套装,资深专家授课,让天线设计不再难...
上一篇:一种0V~500V、10mA电源的不同稳压方法
下一篇:数字电源控制器UCD3138的数字比较器与ADC的应用说明

