- 易迪拓培训,专注于微波、射频、天线设计工程师的培养
混合信号系统接地揭秘
引言
所有信号处理系统都要求混合信号器件,例如:模数转换器 (ADC) 和/或数模转换器 (DAC) 等。对于宽动态范围模拟信号处理的需求,要求必须使用高性能 ADC 和 DAC。要在高噪声数字环境下保持性能,依赖于优秀的电路设计方法,例如:正确的信号布局、去耦和接地等。
毫无疑问,在系统设计中,接地是我们讨论最多的话题之一。尽管基本概念十分简单,但实现起来却并不容易。就线性系统而言,接地是信号建立的参考基准,而不幸的是,它也成为单极电源系统中电源电流的返回通路。错误的接地方法会降低高精度线性系统的性能。没有哪一种教程能够保证一定能获得理想的结果,但我们可以注意几个容易引发问题的方面。
本系列文章将为您详细介绍混合信号系统使用的一些接地方法,它共分两个部分,本文为第一部分。第 1 部分为您解释说明一些常用的术语和接地层,并介绍划分方法。第2部分探讨分割接地层的一些方法,包括每种方法的利弊。它还介绍了使用多转换器和多板的一些系统的接地情况。
在系统设计中经常使用的一个术语是星形接地。这个术语的意思是,某个电路中所有电压均指一个单接地点,也即星形接地点。它的关键特性是,在接地网络中,对特定点的所有电压进行测量,而不仅仅是某个非定义接地(不管探针定在何处)。特别需要指出,这种方法实现起来很困难。例如,在一个星形接地系统中,为了最小化信号相互作用和高阻抗信号或接地通路产生的效应而拟定出所有信号通路,会带来实现问题。当给电路添加电源时,它们会增加非理想接地通路,或者其现有接地通路中电源电流较强或噪声较多,以致于破坏信号传输。

混合信号器件中AGND和DGND引脚解释
数字和模拟设计工程师们往往会从各个不同角度来查看混合信号器件,但每名使用混合信号器件的工程师都会注意到模拟接地 (AGND) 和数字接地 (DGND)。对于如何处理这些接地,许多人感到困惑,而多数困惑均来自于如何标示ADC接地引脚。注意,引脚名称AGND和DGND是指该组件的内部情况,并不必然表明你应该在外部如何操作。数据转换器数据表通常建议将模拟和数字接地捆绑在器件上。但是,设计人员有时想而有时又不想让数据转换器成为系统的星形接地点。我们应该如何做呢?
如图1所示,混合信号IC内的接地一般会保持独立,目的是避免数字信号耦合进入模拟电路。对于连接芯片上焊垫至封装引脚相关的内部电感和电阻(相比电感可忽略不计),IC设计人员没有一点办法。快速变化的数字电流在数字电路中产生电压(di/dt),其不可避免地会通过杂散电容耦合进入模拟电路。
若不考虑这类耦合,IC可以工作得很好。但是,为了防止进一步的耦合,我们应使用最短的导线,从外部把AGND和DGND引脚接合到一起,连接同一低阻抗接地层。DGND连接中任何一点外部阻抗都会引起更多的数字噪声,而其反过来又会通过杂散电容让更多的数字噪声耦合进入模拟电路。
模拟还是数字接地层,又或者两者兼有?
为什么需要接地层?如果一条总线线路用作接地而非层,则必须进行计算才能确定总线线路的压降,因为大多数逻辑转换等效频率的阻抗。这种压降造成系统最终精确度误差。要实现一个接地层,双面PCB的一面由连续铜材料组成,用作接地。由于使用大面积、扁平化导体方式,大量金属材料实现最低程度电阻和电感。
接地层起到一个低阻抗返回通路的作用,旨在去耦快速数字逻辑引起的高频电流。另外,它还最小化了电磁干扰/射频干扰(EMI/RFI)产生的辐射。由于接地层的屏蔽行为,电路对于外部EMI/RFI的敏感性降低了。接地层还允许高速数字或者模拟信号通过传输线路(微波传输带或者带状线)方法进行传输,其要求受控阻抗。
如前所述,AGND和DGND引脚必须在器件上接合到一起。如果必须隔离模拟和数字接地,那么我们应该将它们连接到模拟接地层、数字接地层还是两个都连呢?
[p]请记住,数据转换器是模拟的!因此,AGND和DGND引脚应连接至模拟接地层。如果它们被连接至数字接地层,则模拟输入信号将出现数字噪声,因为它可能为单端,并且参考模拟接地层。连接这两个引脚至静态模拟接地层,会把少量数字噪声注入其中,并降低输出逻辑的噪声余量。这是因为,输出逻辑现在参考模拟接地层,并且所有其它逻辑均参考数字接地层。但是,这些电流应为非常小,并且通过确保转换器输出不驱动大扇出得到最小化。
可能的情况是,设计使用器件的数字电流可低可高。两种情况的接地方案并不相同。一般而言,数据转换器常常被看作为低电流器件(例如:闪存ADC)。但是,今天的一些拥有片上模拟功能的数据转换器,正变得越来越数字化。随着数字电路的增加,数字电流和噪声也随之增加。例如,∑-△ADC包含一个复杂的数字滤波器,其相当大地增加了器件的数字电流。
低数字电流数据转换器接地
正如我们讲的那样,数据转换器(或者任何混合信号器件)均为模拟。在所有系统中,模拟信号层都位于所有模拟电路和混合信号器件放置的地方。同样,数字信号层拥有所有数字数据处理电路。模拟与数字接地层应有同各自信号层相同的尺寸和形状。
图2概述了低数字电流混合信号器件接地的方法。该模拟接地层没有被损坏,因为小数字瞬态电流存在于本地去耦电容器VDig和DGND(绿线)之间的小型环路中。图2还显示了一个位于模拟和数字电源之间的滤波器。共有两类铁氧体磁珠:高Q谐振磁珠和低Q非谐振磁珠。低Q磁珠常用于电源滤波,其与电源连接点串联。

高数字电流数据转换器接地
图2所示电路靠VDig和DGND之间的去耦电容器来使数字瞬态电流隔离在小环路中。但是,如果数字电流足够大,并且有组件在DC或者低频下,则该去耦电容器可能必须非常的大,而这是不实际的。VDig和DGND之间环路之外的任何数字电流,必须流经模拟接地层。这可能会降低性能,特别是在高分辨率系统中更是如此。图3显示了一种适用于强数字电流混合信号器件的替代接地方法。数据转换器的AGND引脚连接至模拟接地层,而DGND引脚则连接至数字接地层。数字电流也隔离于模拟接地层,但两个接地层之间的噪声却直接作用于器件的AGND和DGND引脚之间。模拟和数字电路必须获得有效的隔离。AGND和DGND引脚之间的噪声必须不能过大,否则会降低内部噪声余量,或者引起内部模拟电路损坏。
模拟和数字接地层的连接
图2和3显示了连接模拟和数字接地层的备选背靠背肖特基二极管。该肖特基二极管防止大DC电压或者低频电压尖峰在两个层之间形成。如果其超出0.3V,这些电压可能会损坏混合信号IC,因为它们直接出现在AGND和DGND引脚之间。
作为一种背靠背肖特基二极管的替代方法,铁氧体磁珠可以在两个层之间提供一个DC连接,并在数兆赫兹频率时对其进行隔离,此时铁氧体磁珠电阻增加。这种方法可防止IC受到AGND和DGND之间DC电压的损坏,但是这种铁氧体磁珠提供的DC连接会引入讨厌的DC接地环路,其可能不适合于高分辨率系统。只要在高数字电流IC特殊情况下AGND和DGND引脚被隔离,则在必要时应将它们连接在一起。
跳线和/或带选项允许我们尝试两种方法,以验证哪种方法能够获得最佳总系统性能。
隔离还是分割:哪一种对接地层重要?
一个常见问题是如何隔离接地,以让模拟电路不干扰数字电路。众所周知,数字电路噪声较大。开关期间,逻辑饱和从其电流吸引强、快速电流尖峰。相反,模拟电路非常容易受到噪声的影响。模拟电路可能不会干扰数字逻辑。相反,可能的情况是,高速数字逻辑可能会干扰低级模拟电路。因此,这个问题应该是如何防止数字逻辑接地电流污染混合信号PCB上的低级模拟电路。我们首先想到的可能是分割接地层以将DGND隔离于AGND。尽管分割层方法可以起作用,但它存在许多问题—特别是在一些大型、复杂系统中。

共有两条基本的电磁兼容(EMC)原则:
1、 电流应返回其本地源,并且要尽可能地紧凑。否则,应构建环路天线。
2、 一个系统应只有一个基准层,因为两个基准会形成一个偶极天线。
在EMC测试期间,当在接地或者电源层中某个插槽或者缝隙之间布置线路时可观察到大多数问题。由于这种布线会引起辐射和串扰问题,因此我们不建议使用。
重要的是,清楚地知道某个分割层中的接地电流如何流动以及流向何处。大多数设计人员只想到了信号电流流向何处,而忽略了返回电流的路径。高频信号有一个特点:沿阻抗(电感)最低的路径流动。路径电感由路径圈起的环路面积大小决定。电流返回源必须经过的面积越大,电感也就越大。最小电感路径直接靠近线路。因此,不管是哪一层—电源或者接地—返回电流都在与线路相邻的层上流动。电流在该层内会微有扩散,并且保持在线路下面。本质上而言,其精确分布情况与高斯曲线类似。图4表明,返回电流直接位于信号线路下面。这会形成一条最小阻抗的路径。

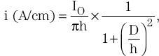
返回路径的电流分布曲线为:

IO为总信号电流(A),h为线路厚度(cm),而D为距离线路的长度(cm)。由该方程式我们可知道,数字接地电流不愿流经接地层的模拟部分,因此不会损坏模拟信号。
就基准层而言,过孔间隙部分不干扰返回电流路径,这一点很重要。如果存在障碍,返回电流便会另寻路径绕过它,如图5所示。但是,这种布线最有可能会引起电流的电磁场,干扰其它信号线路的磁场,从而产生串扰问题。另外,这种障碍会对它上面的线路阻抗产生不利影响,导致不连续以及EMI增加。
本系列文章第2部分将讨论分割接地层存在的利和弊,并说明多转换器和多板系统的接地方法。

射频工程师养成培训教程套装,助您快速成为一名优秀射频工程师...

