- 易迪拓培训,专注于微波、射频、天线设计工程师的培养
数控机床工作台位置伺服系统的分析和设计
0 引 言
位置伺服系统是一种自动控制系统。因此,在分析和设计这样的控制系统时,需要用自动控制原理作为其理论基础,来研究整个系统的动态性能,进而研究如何把各种元件组成稳定的和满足稳定性能指标的控制系统。若原系统不稳定可通过调整比例参数和采用滞后校正使系统达到稳定,并选取合适的参数使系统满足设计要求。本文介绍位置伺服系统的各组成元件及工作原理、对系统设计和校正。
1 位置伺服系统组成元件及工作原理
数控机床工作台位置伺服系统有不同的形式,一般均可以由给定环节、比较环节、校正环节、执行机构、被控对象或调节对象和检测装置或传感器等基本元件组成[1]。根据主机的要求知系统的控制功率比较小、工作台行程比较大,所以采用阀控液压马达系统。系统方框图如图1所示。

数控机床工作台位置伺服系统是指以数控机床工作台移动位移为控制对象的自动控制系统。位置伺服系统作为数控机床的执行机构,集电力电子器件、控制、驱动及保护为一体。数控机床的工作台位置伺服系统输出位移能自动地、快速而准确地复现输入位移的变化,是因为工作台输出端有位移检测装置(位移传感器)将位移信号转化为电信号反馈到输入端构成负反馈闭环控制系统。反馈信号与输入信号比较得到差压信号,然后把差压信号通过伺服放大器转化为电流信号,送入电液伺服阀(电液转换、功率放大元件)转换为大功率的液压信号(流量与压力)输出,从而使液压马达的四通滑阀有开口量就有压力油输出到液压马达,驱动液压马达带动减速齿轮转动,从而带动滚珠丝杠运动。因滚珠丝杠与工作台相连所以当滚珠丝杠 运动时,工作台也发生相应的位移。设计指标要求:静态位置误差(位置分辨率)
2 确定动力元件参数,选择位移传感器和伺服放大器
2.1 计算总负载力
负载力有切削力三部分组成。摩擦力具有"下降"特性,为了简化可认为与速度无关,是定值,取最大值假定系统是在最恶劣的负载条件(即所以负载力都存在,且加速度最大)下工作,则总负载力为
2.2 计算液压马达排量
液压马达力矩为
取
,则液压马达每转排量为

液压马达每转排量为
计算出的液压马达排量需标准化,按选取的标准化值再计算负载压力
值。本题中液压马达排量计算值符合标准。
2.3 确定伺服阀规格
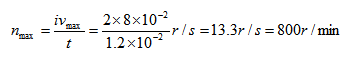
液压马达最大转速为

所以负载流量为

此时伺服阀压降为

考虑到泄漏等影响,将
增大15%,取
。根据
和
,查手册得额定流量(阀压降为
时的输出流量)为8L/min的阀可以满足要求,该阀额定电流为
2.4 位移传感器和放大器增益
,放大器增益
待定。
3 系统的动态品质
3.1 确定各组成元件的传递函数
因为负载特性没有弹性负载,因此液压马达和负载的传递函数为
工作台质量折算到液压马达轴的转动惯量为

考虑到齿轮、丝杆和液压马达的惯性,取
并取液压马达的容积
则液压固有频率为
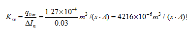
假定阻尼比仅由阀的流量——压力系数产生。零位流量——压力系数
可近似计算为

液压阻尼比为

将
值代入式(2)得

伺服阀的传递函数由样本查得[4]

额定流量
的阀在供油压力
时,空载流量
(式中:
为阀压降),在第二章中,根据
查表得到额定流量(阀压降为
时的输出流量)为8L/min的阀可以满足要求
所以阀的额定流量增益
则伺服阀的传递函数为

减速齿轮与丝杠的传递函数为

根据以上确定的传递函数,用Simulink可绘制出数控机床工作台位置伺服系统的模型如图2所示。

3.2 编程实现绘制系统开环Bode图并根据稳定性确定开环增益
系统的开环传递函数为

根据系统开环传递函数,用MATLAB编程绘制系统Bode图,结果如图3所示。通过K a=1的Bode图,发现系统的相角裕量和幅值裕量都是负值所以系统不稳定[2][3]。
MATLAB程序如下:
Ka=1
num=Ka*4216e-6*1.25e6*9.56e-4*100
den=conv([1/600^2 2*0.5/600 1],[1/388^2 2*1.24/388 1 0])
sys=tf(num,den)
margin(sys)
4 系统校正和动态性能指标计算
一般为满足电液伺服系统设计要求的相角裕量应该在30~60之,幅频裕量应当大于6dB。因此,将图中零dB线上移,使相位裕量=50,此时增益裕量G=11dB,穿越频率
,开环增益
由上述操作得开环增益

所以放大器开环增益

,运行模型,得出系统输出结果可以看出系统是稳定的,当输入


运用MATLAB对系统动态性能指标分析得

5 系统稳态误差和频带宽度计算
对于干扰来说,系统是零型的。启动和切削不处于同一动作阶段,静摩擦干扰就不必考虑。伺服放大器的
温度零漂
、伺服阀零漂和滞环
、执行元件的不灵敏区
假定上述干扰量之和为
,由此引起的位置误差为:

对指令输入来说,系统是Ⅰ型的,最大速度
时的速度误差为
调用MATLAB中求系统频带宽度程序得系统频带宽度为:

6 结论
本文在对数控机床工作台位置伺服系统进行分析的基础上,根据系统的设计要求对系统进行了设计和校正。对校正后系统的动、静态性能分析表明,所设计的数控机床工作台位置伺服系统具有响应速度快、调节时间短、控制精度高、可靠、稳定、能有效抑制内外扰动等特点,可以满足设计要求。射频工程师养成培训教程套装,助您快速成为一名优秀射频工程师...

