- 易迪拓培训,专注于微波、射频、天线设计工程师的培养
为无线电源系统设计一款符合Qi标准的接收机线圈
录入:edatop.com 点击:
概述无线充电联盟 (WPC) Qi 标准的实施让各种终端应用拥有了无线充电功能。每一种应用的接收机 (Rx) 线圈的尺寸和/或功率要求可能会不同。要想实现一种成功、高效的 Qi 标准 Rx 设计,Rx 线圈是一个关键组件。另外,我们还有许多设计方法和平衡折中需要考虑。因此,在实施某个解决方案时,设计人员必须谨慎选择方法,并且有条不紊地进行设计。本文将详细讨论实现一种成功的 Rx 线圈设计所要解决的一些技术问题。文章涉及基本变压器的 Qi 标准系统模型、Rx 线圈测量与系统级影响,以及检查某个设计是否能够成功运行的一些方法。我们假设,本文读者已掌握 Qi 标准电感式电源系统的基础知识。如欲了解背景资料,敬请参阅《参考文献 2》。 变压器 Qi 标准系统对于许多近场无线电源系统(如 WPC 规定的无线电源系统)而言,使用一个简单的变压器,便可以对磁电力传输行为建模。传统变压器通常为单一物理结构,两个绕组缠绕一个磁芯材料,且磁芯导磁性远高于空气(图 1)。由于传统变压器使用高导磁性材料来传输磁通量,因此一个线圈所产生的大部分(并非全部)磁通量与另一个线圈耦合。耦合程度可以通过一个被称作耦合系数的参数来测定,其以k(取值范围为 0 到 1)来表示。 图 1 一个物理结构的传统变压器
3 个参数定义一个双线圈变压器:L11 为线圈 1 的自电感。L22 为线圈 2 的自电感。L12 为线圈 1 和 2 的互感。 两个线圈之间的耦合系数可以表示为:
那么,利用图 2 所示耦合电感器,便可以对理想变压器建模。 利用该电感器的电压和电流关系,便可得到该双线圈变压器的波节方程式:
为了方便进行电路分析,图 2 所示模型可以悬臂模型常用名称来表示,如图 3所示。此处的磁耦合和互感,被简化为漏电感和磁化电感。这样,通过一个电路实现,我们便可以理解这种耦合的物理性质。就理想变压器而言,我们可以使用下列方程式计算出其匝数比: 图 2 传统变压器的理想模型
图 3 传统变压器的悬臂模型
在强耦合系统中,漏电感占磁化电感的百分比很小,因此在求一次近似值时,该参数可以忽略不计。除高耦合外,Qi 标准系统中使用的串联谐振电容也会降低漏电感的影响。所以,主线圈到次线圈的电压增益的一次近似值为:
Qi 标准系统的变压器由两个独立物理器件组成:发射器 (Tx) 和接收机 (Rx),并且各自有一个隔离的线圈。当 Tx 和 Rx 相互靠近放置时,它们会形成一种耦合电感关系,其可以简单地被建模为一个使用空气磁芯的双线圈变压器(请参见图 4)。两端的屏蔽材料起到一个磁通短路的作用。这让磁场线(磁通量)存在于两个线圈之间。图 5 显示了典型运行期间磁场线的 2D 仿真情况。 图 4 使用一个空气磁芯的简易电感耦合变压器
图 5 两个相互耦合线圈之间的磁场线举例
就典型 Qi 标准系统而言,耦合系数 (k) 要比使用传统变压器的情况低得多。传统变压器的耦合系数范围为 0.95 到 0.99。例如,95% 到 99% 磁通量耦合至次级线圈;但是,对于 Qi 标准系统来说,耦合系数范围为 0.2 到 0.7,也即20% 到 70%。大多数情况下,Qi 标准往往会在 Tx 和 Rx 上使用一个串联谐振电容,以缓解这种低耦合度问题。这种电容可以对谐振漏电感进行补偿。 Rx 线圈的电气需求在某些 Rx IC 中,动态控制整流器的目标电压随输出电流变化而变化。由于整流器输出指示变压器需要的电压增益,因此除输出负载或者输出功率需求以外,必须考虑整流器的最高输出电压。如图 6 所示,1A 负载时,整流器输出范围为 ~7 到 5 V,这便决定了变压器所要求的电压增益。在根据 WPC 规范(参见本文后面的"Rx 线圈微调"小节)进行微调时,需确保 Rx 线圈可以达到 Rx IC 所需电压水平,这一点很重要。 图 6 整流器输出与负载的关系
图 7 所示流程图描述了规定一个新的 Rx 线圈的建议方法。这种设计流程限制了屏蔽材料、线材规范和匝数。接下来,我们将逐一详细讨论。
屏蔽材料屏蔽材料有两个主要功能:(1)为磁通量提供一条低阻抗通路,这样能够影响周围金属物体的能量线便极其少;(2)使用更少的匝数来实现更高电感的线圈,这样便不会产生过高的电阻(匝数越多,电阻越高)。 我们可以使用能够吸收大量磁通量的厚屏蔽材料(它们拥有高通量饱和点),以防止 Rx 线圈后面的材料发热。当遇到有校准磁体的 Tx 或者 Rx 时,相比细薄的屏蔽材料,厚屏蔽材料的效率不易受到影响而降低。(这种影响的详情,请参见本文后面的"Rx 线圈电感测量"小节)各大厂商(例如:威世(Vishay)、TDK、松下、E&E、Elytone和Mingstar)提供的典型材料,均可以帮助最小化效率下降。请注意,高导磁铁氧体材料(例如:铁粉等),并非始终都好于有隙分布材料。尽管铁氧体材料拥有高导磁性,但是在屏蔽材料厚度减小时其通量饱和点较低。我们必须谨慎考虑这一因素。 Rx 线圈线材规范权衡成本和性能,选择相应的 Rx 线圈线材规范。大直径线材或者双股线材(两条平行线)拥有高效率,但价格更高,并且会带来粗Rx线圈设计。例如,PCB 线圈可能在整体成本方面更加便宜,但相比双股线,它会产生更高的等效串联电阻。 匝数一旦选定了线材和屏蔽材料,匝数便确定Rx线圈电感的大小。线圈电感和耦合决定 Rx 整流器输出的电压增益,以及Rx的总有效功率。图 6 显示了该电压增益目标。 确定电感目标的一般方法步骤如下:1、Tx 的 A1 型线圈应用作主线圈特性的基础(例如,面积为 1500mm2,电感为 24-µH,初级电压为 19V)。2、当所用屏蔽材料的导磁性远大于空气(>20)时,线圈面积便可以很好地表示耦合系数。请注意,这种情况仅适用于单层或者双层线匝的平面线圈。特殊线圈结构不适用该原则。为了确保合理的耦合和高效率,一个 5W 系统时,Rx线圈的线圈面积约为 A1 线圈的 70% 到 80%。这样可以确保大多数合理设计拥有约 50% 的耦合系数,并且 Tx 和 Rx 线圈之间的距离 dz 达到 WPC 规定的 5mm。3、根据平均预计整流器电压确定理想电压增益—例如:图 6 所示曲线图中的 6V。本例中,电压增益为 ~0.32 (6 V/19 V)。 5-V/5-W 输出电压系统的典型设计表明,耦合系数为 0.5 左右时,约10 µH 的二次电感便足以产生要求的目标电压。系统设计中,我们需要考虑两种关系:
因此,如果耦合系数从 0.5 变为 0.4,相同功率输出的电感会增加至先前电感的1.6 倍。这就意味着新电感为 ~16 µH。如方程式 5b 所示,线圈电感与匝数与比例关系。 表 1 列出了专为该系统设计的某些常见线圈的二次电感和耦合系数。 表 1 典型线圈示例表
请注意,这些经验法则适用于一般平面线圈,主要用作设计入门。实际设计可利用仿真工具获得最理想的优化,如图 7 中流程图所示。 Rx 线圈电感测量Rx线圈电感是一个非常重要的参数,它表明了 Rx AC/DC 功率级的电气响应(例如:电压增益和输出阻抗等)。要想保持一致的响应,不同系统方案中电感的变化必须最小。由于 Qi 标准的通用性,Rx 线圈可以放置在不同类型的 Tx上,而这可能会影响 Rx 线圈电感——从而影响电气响应。 根据 WPC 规范的 4.2.2.1 小节内容,可使用图 8 所示测试配置结构,对 Rx线圈电感 L′S 进行测量。隔离垫片和 Tx 屏蔽材料为模拟 Rx 线圈周围的 Tx 组件提供了参考。在这种测试配置结构中,Tx 屏蔽为 TDK 公司的 50 × 50 × 1-mm 铁氧体材料(PC44)。利用非金属隔离垫片,使间隙 dZ 达到 3.4 mm。然后,将 Rx 线圈放置在该垫片上,使用 1-V RMS 和 100 kHz 测量 L′S。另外,在没有 Tx 屏蔽的情况下,可对无间隙 Rx 线圈电感 Ls 进行测量。 图 8 Rx 线圈电感(L′S)测量测试配置图
WPC 规范并未详细说明常见系统方案对 L′S 和 Ls 测量的影响。对这些参数最为常见的影响是在 Rx 线圈背后有一颗电池。由于封装材料和电池的构造问题,当在其背后放置电池时,Rx线圈电感通常会降低。除电池以外,Tx 线圈结构中磁体的存在,也会对电感产生影响。(参见 WPC 规范1的 3.2.1.1.4 小节内容)该磁体相当于一个 Rx 线圈屏蔽材料的压力源,其中,屏蔽材料的磁性饱和点是一个关键参数。如果磁体存在时Rx线圈屏蔽材料饱和,则线圈电感急剧下降。由于 Qi 标准对有磁体和无磁体 Tx 线圈组件都进行了规定,因此设计人员需要知道两种情况下电感的变化,因此电感的任何变化都会改变 Rx 的谐振微调。请注意,图 8 所示测试配置结构并没有包括磁体。当包括某个磁体时,其磁通量密度应介于 75 和 150 mT 之间,而其通径应为最大值 15.5 mm。这就意味着,电力传输时 Tx 线圈的典型 30-mT 磁场,约为该磁体磁场强度的 20%。 为了方便理解 Rx 线圈电感的性能,除 L′S 和 Ls 建议测量方法以外,表 2 还对其他参数进行了定义说明。当测量涉及电池时,电池的放置应与其在最终系统中的方向/位置相同。请注意,最终工业设计中所使用的材料也可能会影响最终电感测量结果。因此,当对调谐电路进行配置时,最终测量应使用最终移动设备工业设计的所有组件。表 1 所列测量用于屏蔽和验证可能的 Rx 线圈。 表 2 开发期间需要测量的 Rx 线圈电感参数
表 3 总结了一个可接受型线圈设计的测得电感,以及使用固定串联和并联谐振电容的谐振频率。这里,L′S_b 用于电容计算。(详情参见下一小节"Rx 线圈调谐"。)请注意,它们可能会以L′S的百分比线性变化,并可用作原型线圈验收的一种参考。 表 3 举例线圈测得电感
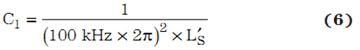
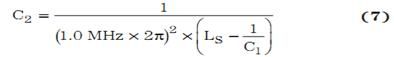
Rx 线圈调谐简化版 Rx 线圈网络由一个串联谐振电容 C1 和一个并联谐振电容 C2 组成。这两个电容组成了一个使用 Rx 线圈的双谐振电路(参见图 9),其大小尺寸必须根据 WPC 规范来正确选择。 图 9 Rx 线圈的双谐振电路
若想计算 C1,L′S 时,谐振频率需为 100 kHz:
若要计算 C2,Ls 时,次级谐振频率需为 1.0 MHz。计算要求首先确定 C1,然后代入方程式 7 计算:
最后,品质因数必须大于 77,其计算方法如下:
其中,R 为线圈的 DC 电阻。 Rx 线圈的负载线分析在选择某个 Rx 线圈时,设计人员需要通过负载线分析(I-V 曲线)比较主级线圈和 Rx 线圈,从而了解变压器特性。这种分析可获得 Qi 标准系统的两个重要条件:(1)工作点特性;(2)瞬态响应。我们将在后面具体讨论。 工作点特性图 10 负载线分析测试装置
图 10 显示了负载线分析的一个测试配置例子,其参数定义如下:VIN 为一个 AC 电源,其拥有 19V 峰值到峰值运行能力。CP 为主级串联谐振电容(A1 型线圈为 100 nF)。LP 为主级线圈( A1 型)。LS 为次级线圈。C1 为受测 Rx 线圈所用串联谐振电容。C2 为受测 Rx 线圈所用并联谐振电容。CB 为二极管桥接的大容量电容。25V 时,CB 应至少为 10 µF。V 为开尔文连接电压表。A 为串联安培计。RL 为相关负载。 二极管桥接应由全桥或者同步半桥肖特基二极管以及低侧 n 型 MOSFET 和高侧肖特基构成。分析共有三个测试程序:1、向 LP 提供 19V AC 信号,开始频率为 200kHz。2、从无负载到预计全负载范围,对所得整流电压进行测量。3、降低频率,不断重复前两个步骤,频率降至 110kHz 时停止。 图 11 显示了一个负载线分析举例。该图表明,不同的负载和整流器条件,产生不同的工作频率。例如,1A 时,动态整流器目标为 5.15V。因此,工作频率介于 150kHz 和 160kHz 之间,其为一个可以接受的工作点。如果该工作点超出WPC 规定的 110 到 205 kHz 频率范围,则系统无法收敛,并会变得不稳定。 图 11 示例负载线分析结果
瞬态响应进行瞬态分析时,有两个重要的点,如图 11 所示:(1)谐振频率(175kHz)下的整流器电压;(2)恒定工作点时从无负载到全负载的整流器电压下降。 本例中,谐振电压为 ~5 V,其高于芯片的 VUVLO。因此,可以保证 Qi 标准系统的启动。如果该频率下电压接近或者低于 VUVLO,则可能无法启动。 如果最大负载步进为 1A,则图 11 中,140-kHz 负载线情况下,电压为 6V 时,本例的压降为 ~1 V。要对这种压降进行分析,无负载时 7V 启动的 140-kHz 负载线,需达到预计最大负载电流要求。压降为负载线两端电压之差。选定工作频率下可以接受的全负载电压应高于 5V。如果低于 5V,电源输出也会降至这一水平。由于 Qi 标准系统的反馈响应较慢,因此进行这种瞬态响应分析是必要的。这种分析,可以模拟系统未对谐振变压器工作点进行调节时可能出现的瞬态特性。 请注意,主级线圈和次级线圈之间的耦合,会因 Rx 线圈对准误差而变得糟糕。因此,我们建议,在存在多种对准误差的情况下对负载线进行多次分析,以确定平面空间中 Rx 是否会中断运行。 结论本文说明了我们可以运用传统的变压器基本原理,简化无线充电系统的 Tx 线圈设计。但是,通用性和移动设备的特性,也使标准磁学设计方法出现一些独特的变化。仔细阅读和理解前面我们介绍的线圈设计内容,可以增加您一次成功的机率。我们介绍的一些评估方法,可以让您非常有条理地规定和描述一种定制 Rx 线圈。 参考文献1、无线充电联盟,《系统描述无线电力传输,卷1,第 1 部分》2012 年 3 月1.1 版(在线),下载地址:http://www.wirelesspowerconsortium.com/downloads/wireless-power-specification-part-1.html 2、《无线充电联盟标准与 TI 兼容解决方案介绍》,作者:Bill Johns http://www.ti.com.cn/cn/lit/an/zhct117/zhct117.pdf 相关阅读:
德州仪器推出首款符合Qi标准的5V无线电源发送器
立即加入德州仪器技术社区
3 个参数定义一个双线圈变压器:L11 为线圈 1 的自电感。L22 为线圈 2 的自电感。L12 为线圈 1 和 2 的互感。 两个线圈之间的耦合系数可以表示为:
那么,利用图 2 所示耦合电感器,便可以对理想变压器建模。 利用该电感器的电压和电流关系,便可得到该双线圈变压器的波节方程式:
为了方便进行电路分析,图 2 所示模型可以悬臂模型常用名称来表示,如图 3所示。此处的磁耦合和互感,被简化为漏电感和磁化电感。这样,通过一个电路实现,我们便可以理解这种耦合的物理性质。就理想变压器而言,我们可以使用下列方程式计算出其匝数比: 图 2 传统变压器的理想模型
图 3 传统变压器的悬臂模型
在强耦合系统中,漏电感占磁化电感的百分比很小,因此在求一次近似值时,该参数可以忽略不计。除高耦合外,Qi 标准系统中使用的串联谐振电容也会降低漏电感的影响。所以,主线圈到次线圈的电压增益的一次近似值为:
Qi 标准系统的变压器由两个独立物理器件组成:发射器 (Tx) 和接收机 (Rx),并且各自有一个隔离的线圈。当 Tx 和 Rx 相互靠近放置时,它们会形成一种耦合电感关系,其可以简单地被建模为一个使用空气磁芯的双线圈变压器(请参见图 4)。两端的屏蔽材料起到一个磁通短路的作用。这让磁场线(磁通量)存在于两个线圈之间。图 5 显示了典型运行期间磁场线的 2D 仿真情况。 图 4 使用一个空气磁芯的简易电感耦合变压器
图 5 两个相互耦合线圈之间的磁场线举例
就典型 Qi 标准系统而言,耦合系数 (k) 要比使用传统变压器的情况低得多。传统变压器的耦合系数范围为 0.95 到 0.99。例如,95% 到 99% 磁通量耦合至次级线圈;但是,对于 Qi 标准系统来说,耦合系数范围为 0.2 到 0.7,也即20% 到 70%。大多数情况下,Qi 标准往往会在 Tx 和 Rx 上使用一个串联谐振电容,以缓解这种低耦合度问题。这种电容可以对谐振漏电感进行补偿。 Rx 线圈的电气需求在某些 Rx IC 中,动态控制整流器的目标电压随输出电流变化而变化。由于整流器输出指示变压器需要的电压增益,因此除输出负载或者输出功率需求以外,必须考虑整流器的最高输出电压。如图 6 所示,1A 负载时,整流器输出范围为 ~7 到 5 V,这便决定了变压器所要求的电压增益。在根据 WPC 规范(参见本文后面的"Rx 线圈微调"小节)进行微调时,需确保 Rx 线圈可以达到 Rx IC 所需电压水平,这一点很重要。 图 6 整流器输出与负载的关系
图 7 所示流程图描述了规定一个新的 Rx 线圈的建议方法。这种设计流程限制了屏蔽材料、线材规范和匝数。接下来,我们将逐一详细讨论。
屏蔽材料屏蔽材料有两个主要功能:(1)为磁通量提供一条低阻抗通路,这样能够影响周围金属物体的能量线便极其少;(2)使用更少的匝数来实现更高电感的线圈,这样便不会产生过高的电阻(匝数越多,电阻越高)。 我们可以使用能够吸收大量磁通量的厚屏蔽材料(它们拥有高通量饱和点),以防止 Rx 线圈后面的材料发热。当遇到有校准磁体的 Tx 或者 Rx 时,相比细薄的屏蔽材料,厚屏蔽材料的效率不易受到影响而降低。(这种影响的详情,请参见本文后面的"Rx 线圈电感测量"小节)各大厂商(例如:威世(Vishay)、TDK、松下、E&E、Elytone和Mingstar)提供的典型材料,均可以帮助最小化效率下降。请注意,高导磁铁氧体材料(例如:铁粉等),并非始终都好于有隙分布材料。尽管铁氧体材料拥有高导磁性,但是在屏蔽材料厚度减小时其通量饱和点较低。我们必须谨慎考虑这一因素。 Rx 线圈线材规范权衡成本和性能,选择相应的 Rx 线圈线材规范。大直径线材或者双股线材(两条平行线)拥有高效率,但价格更高,并且会带来粗Rx线圈设计。例如,PCB 线圈可能在整体成本方面更加便宜,但相比双股线,它会产生更高的等效串联电阻。 匝数一旦选定了线材和屏蔽材料,匝数便确定Rx线圈电感的大小。线圈电感和耦合决定 Rx 整流器输出的电压增益,以及Rx的总有效功率。图 6 显示了该电压增益目标。 确定电感目标的一般方法步骤如下:1、Tx 的 A1 型线圈应用作主线圈特性的基础(例如,面积为 1500mm2,电感为 24-µH,初级电压为 19V)。2、当所用屏蔽材料的导磁性远大于空气(>20)时,线圈面积便可以很好地表示耦合系数。请注意,这种情况仅适用于单层或者双层线匝的平面线圈。特殊线圈结构不适用该原则。为了确保合理的耦合和高效率,一个 5W 系统时,Rx线圈的线圈面积约为 A1 线圈的 70% 到 80%。这样可以确保大多数合理设计拥有约 50% 的耦合系数,并且 Tx 和 Rx 线圈之间的距离 dz 达到 WPC 规定的 5mm。3、根据平均预计整流器电压确定理想电压增益—例如:图 6 所示曲线图中的 6V。本例中,电压增益为 ~0.32 (6 V/19 V)。 5-V/5-W 输出电压系统的典型设计表明,耦合系数为 0.5 左右时,约10 µH 的二次电感便足以产生要求的目标电压。系统设计中,我们需要考虑两种关系:
因此,如果耦合系数从 0.5 变为 0.4,相同功率输出的电感会增加至先前电感的1.6 倍。这就意味着新电感为 ~16 µH。如方程式 5b 所示,线圈电感与匝数与比例关系。 表 1 列出了专为该系统设计的某些常见线圈的二次电感和耦合系数。 表 1 典型线圈示例表
请注意,这些经验法则适用于一般平面线圈,主要用作设计入门。实际设计可利用仿真工具获得最理想的优化,如图 7 中流程图所示。 Rx 线圈电感测量Rx线圈电感是一个非常重要的参数,它表明了 Rx AC/DC 功率级的电气响应(例如:电压增益和输出阻抗等)。要想保持一致的响应,不同系统方案中电感的变化必须最小。由于 Qi 标准的通用性,Rx 线圈可以放置在不同类型的 Tx上,而这可能会影响 Rx 线圈电感——从而影响电气响应。 根据 WPC 规范的 4.2.2.1 小节内容,可使用图 8 所示测试配置结构,对 Rx线圈电感 L′S 进行测量。隔离垫片和 Tx 屏蔽材料为模拟 Rx 线圈周围的 Tx 组件提供了参考。在这种测试配置结构中,Tx 屏蔽为 TDK 公司的 50 × 50 × 1-mm 铁氧体材料(PC44)。利用非金属隔离垫片,使间隙 dZ 达到 3.4 mm。然后,将 Rx 线圈放置在该垫片上,使用 1-V RMS 和 100 kHz 测量 L′S。另外,在没有 Tx 屏蔽的情况下,可对无间隙 Rx 线圈电感 Ls 进行测量。 图 8 Rx 线圈电感(L′S)测量测试配置图
WPC 规范并未详细说明常见系统方案对 L′S 和 Ls 测量的影响。对这些参数最为常见的影响是在 Rx 线圈背后有一颗电池。由于封装材料和电池的构造问题,当在其背后放置电池时,Rx线圈电感通常会降低。除电池以外,Tx 线圈结构中磁体的存在,也会对电感产生影响。(参见 WPC 规范1的 3.2.1.1.4 小节内容)该磁体相当于一个 Rx 线圈屏蔽材料的压力源,其中,屏蔽材料的磁性饱和点是一个关键参数。如果磁体存在时Rx线圈屏蔽材料饱和,则线圈电感急剧下降。由于 Qi 标准对有磁体和无磁体 Tx 线圈组件都进行了规定,因此设计人员需要知道两种情况下电感的变化,因此电感的任何变化都会改变 Rx 的谐振微调。请注意,图 8 所示测试配置结构并没有包括磁体。当包括某个磁体时,其磁通量密度应介于 75 和 150 mT 之间,而其通径应为最大值 15.5 mm。这就意味着,电力传输时 Tx 线圈的典型 30-mT 磁场,约为该磁体磁场强度的 20%。 为了方便理解 Rx 线圈电感的性能,除 L′S 和 Ls 建议测量方法以外,表 2 还对其他参数进行了定义说明。当测量涉及电池时,电池的放置应与其在最终系统中的方向/位置相同。请注意,最终工业设计中所使用的材料也可能会影响最终电感测量结果。因此,当对调谐电路进行配置时,最终测量应使用最终移动设备工业设计的所有组件。表 1 所列测量用于屏蔽和验证可能的 Rx 线圈。 表 2 开发期间需要测量的 Rx 线圈电感参数
表 3 总结了一个可接受型线圈设计的测得电感,以及使用固定串联和并联谐振电容的谐振频率。这里,L′S_b 用于电容计算。(详情参见下一小节"Rx 线圈调谐"。)请注意,它们可能会以L′S的百分比线性变化,并可用作原型线圈验收的一种参考。 表 3 举例线圈测得电感
Rx 线圈调谐简化版 Rx 线圈网络由一个串联谐振电容 C1 和一个并联谐振电容 C2 组成。这两个电容组成了一个使用 Rx 线圈的双谐振电路(参见图 9),其大小尺寸必须根据 WPC 规范来正确选择。 图 9 Rx 线圈的双谐振电路
若想计算 C1,L′S 时,谐振频率需为 100 kHz:
若要计算 C2,Ls 时,次级谐振频率需为 1.0 MHz。计算要求首先确定 C1,然后代入方程式 7 计算:
最后,品质因数必须大于 77,其计算方法如下:
其中,R 为线圈的 DC 电阻。 Rx 线圈的负载线分析在选择某个 Rx 线圈时,设计人员需要通过负载线分析(I-V 曲线)比较主级线圈和 Rx 线圈,从而了解变压器特性。这种分析可获得 Qi 标准系统的两个重要条件:(1)工作点特性;(2)瞬态响应。我们将在后面具体讨论。 工作点特性图 10 负载线分析测试装置
图 10 显示了负载线分析的一个测试配置例子,其参数定义如下:VIN 为一个 AC 电源,其拥有 19V 峰值到峰值运行能力。CP 为主级串联谐振电容(A1 型线圈为 100 nF)。LP 为主级线圈( A1 型)。LS 为次级线圈。C1 为受测 Rx 线圈所用串联谐振电容。C2 为受测 Rx 线圈所用并联谐振电容。CB 为二极管桥接的大容量电容。25V 时,CB 应至少为 10 µF。V 为开尔文连接电压表。A 为串联安培计。RL 为相关负载。 二极管桥接应由全桥或者同步半桥肖特基二极管以及低侧 n 型 MOSFET 和高侧肖特基构成。分析共有三个测试程序:1、向 LP 提供 19V AC 信号,开始频率为 200kHz。2、从无负载到预计全负载范围,对所得整流电压进行测量。3、降低频率,不断重复前两个步骤,频率降至 110kHz 时停止。 图 11 显示了一个负载线分析举例。该图表明,不同的负载和整流器条件,产生不同的工作频率。例如,1A 时,动态整流器目标为 5.15V。因此,工作频率介于 150kHz 和 160kHz 之间,其为一个可以接受的工作点。如果该工作点超出WPC 规定的 110 到 205 kHz 频率范围,则系统无法收敛,并会变得不稳定。 图 11 示例负载线分析结果
瞬态响应进行瞬态分析时,有两个重要的点,如图 11 所示:(1)谐振频率(175kHz)下的整流器电压;(2)恒定工作点时从无负载到全负载的整流器电压下降。 本例中,谐振电压为 ~5 V,其高于芯片的 VUVLO。因此,可以保证 Qi 标准系统的启动。如果该频率下电压接近或者低于 VUVLO,则可能无法启动。 如果最大负载步进为 1A,则图 11 中,140-kHz 负载线情况下,电压为 6V 时,本例的压降为 ~1 V。要对这种压降进行分析,无负载时 7V 启动的 140-kHz 负载线,需达到预计最大负载电流要求。压降为负载线两端电压之差。选定工作频率下可以接受的全负载电压应高于 5V。如果低于 5V,电源输出也会降至这一水平。由于 Qi 标准系统的反馈响应较慢,因此进行这种瞬态响应分析是必要的。这种分析,可以模拟系统未对谐振变压器工作点进行调节时可能出现的瞬态特性。 请注意,主级线圈和次级线圈之间的耦合,会因 Rx 线圈对准误差而变得糟糕。因此,我们建议,在存在多种对准误差的情况下对负载线进行多次分析,以确定平面空间中 Rx 是否会中断运行。 结论本文说明了我们可以运用传统的变压器基本原理,简化无线充电系统的 Tx 线圈设计。但是,通用性和移动设备的特性,也使标准磁学设计方法出现一些独特的变化。仔细阅读和理解前面我们介绍的线圈设计内容,可以增加您一次成功的机率。我们介绍的一些评估方法,可以让您非常有条理地规定和描述一种定制 Rx 线圈。 参考文献1、无线充电联盟,《系统描述无线电力传输,卷1,第 1 部分》2012 年 3 月1.1 版(在线),下载地址:http://www.wirelesspowerconsortium.com/downloads/wireless-power-specification-part-1.html 2、《无线充电联盟标准与 TI 兼容解决方案介绍》,作者:Bill Johns http://www.ti.com.cn/cn/lit/an/zhct117/zhct117.pdf 相关阅读:德州仪器推出首款符合Qi标准的5V无线电源发送器
立即加入德州仪器技术社区
射频工程师养成培训教程套装,助您快速成为一名优秀射频工程师...
射频和天线工程师培训课程详情>>

