- 易迪拓培训,专注于微波、射频、天线设计工程师的培养
电源设计小贴士46:正确地同步降压FET时序
录入:edatop.com 点击:
由于工程师们都在竭尽所能地获得其电源的最高效率,时序优化正变得越来越重要。在开关期间,存在两个过渡阶段:低压侧开关开启和高压侧开关开启。 低压侧开启开关至关重要,因为该过渡阶段几乎没有损耗,也即"无损开启"。在高压侧开关关闭以后,电感电流驱动开关节点电压无损接地。开启低压侧开关的最佳时机便为过渡结束时。如果在低压侧开启以前主体二极管短暂导电,则其无关紧要,因为它不会导致反向恢复损耗。在下一个开关过渡之前,该结点处的过剩载流全部耗散。但是,如果电流仍然长时间存在于主体二极管内,则会有过高的传导损耗。高压侧 FET 开启时序是最为重要的过渡。由于同低压侧 FET 存在交叉导通,因此开启过早会导致直通损耗;开启过晚又会导致传导损耗增高,并且会将过剩载流注入低压侧 FET 主体二极管内(必须对其进行恢复)。不管哪种情况,都会降低效率。 为了说明效率与驱动信号之间时序的关系,我构建起了一些具有驱动器信号可调节延迟的电源。之后,我比较了效率与延迟时间,对其存在的关系进行了研究。图 1A-1C 显示了结果。 图 1A 显示了当高压侧 FET 在低压侧 FET 完全关闭之前开启时的情况。在低压侧栅极驱动中有一个明显的更大的Miller 区域,其低压侧 FET 和高压侧 FET 同时导通,从而在功率级中产生直通电流。当低压侧 FET 最终关闭时,在开关节点处存在额外的电压过冲。在图 1B 中,在低压侧 FET 关闭且主体二极管中形成电流以后,高压侧 FET 才开启。当高压侧 FET 开启时,其恢复该主体二极管,并且会有一个电流峰值让开关节点电压出现振铃。但是,由于所用MOSFET体二极管的反向恢复时间(12 nS)极短,因此这种现象并不明显。主体二极管速度越慢,振铃越明显。图 1C 拥有最高的电源效率。在高压侧开关开启以前,低压侧栅极电压降至接地电压附近。高压侧在更低的主体二极管导电以前开启,开关节点振铃最小化。
图 1A 先进的高压侧时序产生直通电流
图 1B 高压侧驱动延迟时主体二极管导电
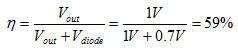
图 1C 最佳时序带来更高的效率和更低的应力 图 2 显示了不同栅极驱动时序情况下 12 伏到 1 伏/15 安培、300 kHz 功率级的效率曲线。刻度左侧代表高压侧开关提前开启,如图 1A 所示。右侧代表一个经过延迟的高压侧栅极驱动(图 1B)。在左边,效率急剧下降,原因是功率级的直通电流损耗。在右边,效率逐渐下降。 效率逐渐下降的原因有两个:来自低压侧 FET 主体二极管的传导损耗和反向恢复损耗。在主体二极管导电期间,主体二极管电压下降约 0.7伏。方程式 1 表示了主体二极管导电期间的最大电源效率,其大致如下:
方程式1 如果主体二极管在 3us 时间中有 50ns 时间导电,则可对总效率产生约 1.2% 的影响。就该功率级而言,反向恢复损耗微不足道,原因是使用了 12 nS 短反向恢复时间的 MOSFET。
图 2 驱动器时序可极大影响效率 总之,同步降压稳压器中正确的栅极驱动信号时序,对于最大化效率至关重要。这种时序可最小化低压侧 FET 主体二极管导电时间。高压侧 FET 开启是最为关键的过渡阶段,同时应避免在低压侧完全关闭以前开启高压侧 FET。这样做可以最小化开关损耗,并减少过渡期间的电压振铃。 更多详情,请参阅 2003 年 4 月 TI《应用手册》(SLUA281)文章《栅极驱动升压同步 DC/DC 功率转换器效率预测》
图 1A 先进的高压侧时序产生直通电流
图 1B 高压侧驱动延迟时主体二极管导电
图 1C 最佳时序带来更高的效率和更低的应力 图 2 显示了不同栅极驱动时序情况下 12 伏到 1 伏/15 安培、300 kHz 功率级的效率曲线。刻度左侧代表高压侧开关提前开启,如图 1A 所示。右侧代表一个经过延迟的高压侧栅极驱动(图 1B)。在左边,效率急剧下降,原因是功率级的直通电流损耗。在右边,效率逐渐下降。 效率逐渐下降的原因有两个:来自低压侧 FET 主体二极管的传导损耗和反向恢复损耗。在主体二极管导电期间,主体二极管电压下降约 0.7伏。方程式 1 表示了主体二极管导电期间的最大电源效率,其大致如下:
方程式1 如果主体二极管在 3us 时间中有 50ns 时间导电,则可对总效率产生约 1.2% 的影响。就该功率级而言,反向恢复损耗微不足道,原因是使用了 12 nS 短反向恢复时间的 MOSFET。
图 2 驱动器时序可极大影响效率 总之,同步降压稳压器中正确的栅极驱动信号时序,对于最大化效率至关重要。这种时序可最小化低压侧 FET 主体二极管导电时间。高压侧 FET 开启是最为关键的过渡阶段,同时应避免在低压侧完全关闭以前开启高压侧 FET。这样做可以最小化开关损耗,并减少过渡期间的电压振铃。 更多详情,请参阅 2003 年 4 月 TI《应用手册》(SLUA281)文章《栅极驱动升压同步 DC/DC 功率转换器效率预测》 深入阅读:
电源设计小贴士43:分立器件——一款可替代集成MOSFET驱动器的卓越解决方案
[视频]电源设计小贴士32和33:注意SEPIC耦合电感回路电流
电源设计小贴士38:使用简易锁存电路保护电源
电源设计小贴士 40:非隔离式电源的共模电流
电源设计小贴士 41:DDR内存电源
[视频]电源设计小贴士31:同步降压MOSFET电阻比的正确选择
立即加入德州仪器技术社区
射频工程师养成培训教程套装,助您快速成为一名优秀射频工程师...
天线设计工程师培训课程套装,资深专家授课,让天线设计不再难...
上一篇:EMI干扰
:传导是罪魁祸首
下一篇:安森美新开关电池充电方案应对便携设备充电挑战
射频和天线工程师培训课程详情>>

