- 易迪拓培训,专注于微波、射频、天线设计工程师的培养
一种基于软开关三电平DC/DC开关电源的研制
1 引言
目前,开关电源正朝着高频、高效、环保等方向发展。与传统拓扑结构相比,三电平变换器由于具有开关管电压应力为输入直流电压的一半,适合输入电压较高的场合,输出电压谐波小等优点,从而备受关注。此外,伴随着高频化发展,出现了软开关技术,并结合三电平产生了不同拓扑的DC/DC变换器。传统ZVS半桥三电平DC/DC变换器轻载时滞后管难以实现ZVS,且开通损耗严重。ZVZCS变换器消除了ZVS三电平变换器零状态时变压器初级环流,减小了初级通态损耗,同时改善了占空比丢失问题,近年来得到了广泛研究。
这里提出一种新型ZVZCS半桥三电平DC/DC变换器,其次级采用了一个简单的无源筘位网络,通过这个无源箝位网络实现了超前桥臂在一定负载范围内的ZVS和滞后桥臂的ZCS。
2 主电路工作原理
图1为新型半桥三电平DC/DC变换器拓扑。

由图1可见,次级采用的无源箝位网络主要由箝位电容CA和二极管VDA1,VDA2,VDA3构成。变压器次级中心抽头通过VDA1连接到CA,将次级电压箝位在一个较低的水平。Cs1,Cs2为等值的输入分压电容,VDc1,VDc2为箝位二极管,Css为飞跨电容,Llk为变压器漏感,n为变比,VDR1~VDR4为整流二极管,Lf,Cf分别为滤波电感、电容,Uin,Uo为输入、输出直流电压。采用移相PWM控制策略,工作波形如图2所示。

为简化分析,作如下假设:电路各器件均为理想元件;Lf足够大,其电流不变;将Cf看作恒压源。变换器在半个稳态开关周期内有9个工作模态,分析如下:
新周期开始前超前管VS1导通,负载电流通过整流二极管续流,a,b间电压、次级电压、初级电流分别为uab,urec,ip,此时uab=urec= 0,ip=0.
模态1(t1~t2) t1时刻,滞后管VS2导通,新周期开始。由于ip=0,VS2此时ZCS开通。uab=Uin/2,ip线性增加。由于ip仍小于负载电流Io折算到初级的值Io/n,VDR1~VDR4全部导通,urec为零,说明该模态中次级存在占空比丢失现象。
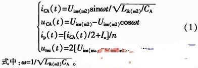
模态2(t2~t3) t2时刻,ip达到Io/n,VDR1,VDR4关断,初级开始向负载传递能量。由于CA上电压为零,VDR1,VDR4为ZVS关断。同时VDA1导通,输入部分能量通过Ilk,VDA1向CA充电。记Uins(m2)为此模态中初级折算到次级的等效电压,Llk(m2)为折算到次级的等效漏感,则CA的电流iCA电压uCA,ip及urec分别为:

由于CA通过变压器次级中心抽头充电,urec=2uCA.t3时刻,uCA=Uo,VDA3导通,urec被箝位为2Uo.记UrecP为次级电压峰值,则UrecP= 2Uo.
模态3(t3~t4)记uCA电压峰值为UCAM,UCAM=Uo保持不变,Llk中的谐振电流经过VDA3流向Cf,iCA迅速减小为零,urec保持2Uo不变。t4时刻Llk电流谐振到零,VDA1,VDA3 ZCS关断。
模态4(t4~t5) uCA仍保持UCAM不变,由于该模态下urec>Uo,VDA2不会导通,有ip(t)=Io/n,urec(t)=Uin/(2n)。
模态5(t5~t6) t5时刻,VS1 ZVS关断,记电容C1,C4电压分别为uC1,uC4,则UC1(t5)=0,UC4(t5)=Uin/2,ip向C1充电,C4放电,次级电压和整流二极管电压迅速减小,则有:

模态6(t6~t7)随着urec的减小,整流二极管两端电压迅速下降,在t6时刻被箝位为UCAM,此时VDA2 ZVS导通,CA开始放电,ip下降。则有:

模态7(t7~t8)t7时刻,C1充电结束,C4放电结束,UC1(t7)=Uin/2,UC4(t7)=0,VDc1开通,将VS1的电压箝位在Uin/2,uab减小至零,ip迅速复位,CA继续向负载放电。有:

模态8(t8~t9) t8时刻,ip完全复位,VDR2和VDR3关断。负载电流由CA提供,uCA逐渐减小到零,整流二极管上的电压也逐渐减小。有:
模态9(t9~t10) t9时刻,CA放电结束,VDA2关断(ZVZCS),Lf,Cf开始提供负载电流,VDR1~VDR4全部开通,负载电流通过整流二极管续流。
3 实现ZVZCS的条件
3.1 超前桥臂ZVS范围
续流阶段超前臂的ZVS特性与原来的ZVS移相控制电路相比有所不同,VS1关断后,在urec下降到UCAM之前,超前臂的瞬态过程与ZVS移相控制电路一致,Lf参与谐振;在urec<UCAM后,仅有漏感参与谐振过程,为实现超前臂的ZVS,必须有一定的漏感储能。
模态5中,urec下降到UCAM,Lf参与对C1充电,对C4放电,根据式(2)中第3式,可得:

式中:IoZVSm为实现ZVS的最小负载电流。
模态6中,uC4减小到零,为VS4的ZVS开通创造条件,此时只有漏感参与超前桥臂的ZVS。由式(3)中第2式及UC4(t7)=0可得:

由于Cp<<Lf,IoZVSm的值满足上式也一定满足式(6)。为实现VS4的ZVS开通,uC4在t7时刻减小到零,同时uC1达到

可见,Lf的能量仅在第一阶段参与C1,C4的充放电,而最终谐振电容的充放电要靠漏感储能来实现,超前桥臂的ZVS只能在一定负载范围内实现。
3.2 滞后桥臂ZCS范围
模态7中,由Ip(t8)=0,Cp<<CA以及式(4)中的第1式可得:

为保证续流阶段初级无能量循环,模态8结束时uCA必须降到零。由式(5)可得,模态8的持续时间tm8=(CA/Io)Urec(t8)。
4 仿真与实验分析
在Pspice 9.2环境下对变换器进行仿真实验,结果表明该拓扑能够实现所有功率开关管的软开关及二极管的软换流,且次级电压应力较低。为进一步验证理论分析的正确性,研制了一台输出为48 V/20 A的实验样机,在样机上进行了波形测试分析,实验波形如图3所示。图3a,b为VS1的ZVS开通、关断波形,其中,uds为漏源电压,ugVS1为驱动电压。图3c为VS2的ZCS波形,其中,id为漏极电流。图3d为urec波形。

可见,实验结果与理论分析基本一致,实现了超前桥臂一定负载范围内的ZVS和滞后桥臂的ZCS。此外,在纯阻性负载下对变换器效率进行测试,最大效率达92%,轻载时效率仍接近90%,与传统ZVZCS三电平变换器相比,效率有所提高。
5 结论
提出的新型变换器通过谐振电容与漏感及滤波电感之间的谐振,来实现超前桥臂开关管的零电压转换,通过变压器次级绕组中心抽头对箝位电容充电及箝位电容的放电,来实现滞后桥臂开关管的零电流转换,有效地降低了次级整流管的电压应力。此外箝位电容能量通过负载放电,减小了次级占空比丢失现象,提高了变换器效率。
电源设计必杀技:TI公司最系统的电源设计培训资料
射频工程师养成培训教程套装,助您快速成为一名优秀射频工程师...

