- 易迪拓培训,专注于微波、射频、天线设计工程师的培养
如何处理高 di/dt 负载瞬态
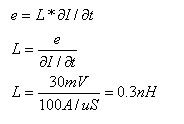
就许多中央处理器 (CPU) 而言,规范要求电源必须能够提供大而快速的充电输出电流,特别是当处理器变换工作模式的时候。例如,在 1V 的系统中,100 A/uS 负载瞬态可能会要求将电源电压稳定在 3% 以内。解决这一问题的关键就是要认识到 这不仅仅是电源的问题,电源分配系统也是一个重要因素,而且在一款解决方案中我们是很难将这二者严格地划清界限。
这些高 di/dt 要求的意义就在于电压源必须具有非常低的电感。重新整理下面的公式并求解得到允许的电源电感:
在快速负载电流瞬态通道中电感仅为 0.3 nH。为了便于比较,我们来看一个四层电路板上的0.1 英寸 (0.25 cm) 宽电路板线迹所具有的电感大约为 0.7 nH/英寸 (0.3 nH/cm)。IC 封装中接合线的典型电感在1 nH 范围内,印刷电路板的过孔电感在0.2 nH 范围内。
此外,还有一个与旁路电容有关的串联电感,如图 1 所示。顶部的曲线是贴装在四层电路板上的一个22 uF、X5R、16V、1210 陶瓷电容的阻抗。正如我们所期望的那样(100 kHz 以下),阻抗随着频率的增加而下降。然而,在800 kHz时有一个串联电感,此时电容会变得有电感性。该电感(其可以从电容值和谐振频率计算得出)为 1.7 nH,其大大高于我们 0.3 nH 的目标值。幸运的是,您可以使用并联电容以降低有效的 ESL。图 1 底部的曲线为两个并联电容的阻抗。有趣的是谐振变得稍微低了一些,这表明有效电感并不是绝对的一半。基于谐振频率,就两个并联的电容而言,新电感则为 1.0 nH 或ESL 下降 40%,而非下降 50%。这一结果可以归结为两个原因:互连电感和两个电容之间的互感。

图 1 并联电容阻抗寄生现象衰减效果
电流通道的环路尺寸在一定程度上决定了连接组件中的寄生电感,组件尺寸决定了环路的面积。尺寸与电感相关系数如表 1 所示,其显示了各种尺寸陶瓷表面贴装电容的电容电感。一般来说,体积越大的电容具有更大的电感。该表不包括电路板上贴装电容的电感,在我们以前的测量中该电感由 1 nH 增加到了 1.7 nH。另一个有趣的问题是端接的位置对电感有很大的影响。0805 电容在电容的较短一侧有端接而0508 电容则在较长的一侧有端接。这几乎将电流通道分为了两半,从而大降低了电感。这种变化了的结构将电感降低了四分之一。
表 1 陶瓷 SMT 电容尺寸会影响寄生电感
总之,高 di/dt 负载需要仔细考虑旁路问题以保持电源动态稳压。表面贴装电容需要非常靠近负载以最小化其互连电感。电容具有可能避免大量去耦的寄生电感。降低这一寄生电感的并联电容是有效的,但互连和互感减弱了这一效果。使用具有更短电流通道的电容也是有效的。这可以用体积较小的部件或具有交流端接(其使用了更短的尺寸用于电流)的部件来实施。
射频工程师养成培训教程套装,助您快速成为一名优秀射频工程师...
天线设计工程师培训课程套装,资深专家授课,让天线设计不再难...
上一篇:一种低功耗仪器用的通用滤波器电路
下一篇:电动车充电装置:三种非接触充电方式

