- 易迪拓培训,专注于微波、射频、天线设计工程师的培养
基于LLC的大功率智能充电器设计方案
阐述半桥LLC 谐振电路的工作原理和特点,并且用MATLAB 对LLC 谐振进行了仿真,分析了其工作区域。 在此基础上,运用NCP1653 提供PFC 电路,NCP1396 (压控震荡器) 为电路提供保护功能,单片机芯片S3F84K4 通过编程为电路提供智能控制,设计了一款大功率智能充电器。 通过测试,该款充电器能很好的实现充电功能。
0 引 言
充电器与人们的日常生活密切相关,充电器充电性能的好坏与被充电池的使用寿命、充电效率等息息相关。 由于外界温度变化,电网电压波动,因而大大降低了充电器充电性能的稳定性,这就需要有一种能自我调节的系统,遇到外界的干扰能实时做出回应,保证充电的稳定性,不损坏被充电的电池。 智能控制在此能提供一种很好的解决方案。电源行业已经开始在其产品中运用智能控制,通过单片机的编程对过压、过流情况做出判断,为电池提供保护。 LLC 谐振变换器在充电器的运用也是越来越多,LLC 谐振变换器的拓扑本身具有一些优越的性能,可以实现原边开关管在全负载下的零电压软开关( ZVS ( Zero VoltageSwitch) ) ,副边整流二极管电压应力低,因此高输出电压的情况下可以实现较高的效率等。 这使得LLC 谐振变换器特别适合高输出电压的应用场合。 今后电源的发展方向是用单片机来完成所有功能,包括:脉宽调控、反馈、过压过流保护等等。
下面介绍的就是一款应比亚迪公司(B YD) 的要求,设计出的一种基于单片机的智能充电器。 该充电器对充电过程进行智能控制,系统中的管理电路还具有保护功能,可防止电池的过充和过放对电池造成损坏。
1 LLC 谐振变换器
本充电器设计中要考虑整流滤波、能量转换,电路保护、软件设计等。 而LLC 谐振变换器是能量转换中最重要的部分,关系到充电器性能的好坏。 下面着重介绍其基本结构、数学模型及时序分析。
1. 1 LLC 谐振变换器的基本结构
图1 所示为LLC 谐振变换器的原理图。 串联谐振电感Lr 、串联谐振电容Cr 和并联谐振电感Lm ,构成LLC 谐振网络, Cr 也起到隔直作用[3 ] 。 在变压器次级,整流二极管直接连接到输出电容Co上。

图1 LLC 谐振变换器的原理图
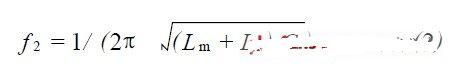
当发生谐振时,LC 的本征谐振频率为:

当Lr , Cr 和Lm发生谐振时,LLC 本征谐振频率为:

由式(1) 、(2) 可知f1 》 f2 ,当负载RL 变化时,可以调节开关(Q1 、Q2 ) 频率在f1 和f2 间变化,使品质因数达到最大。 利用这种特性,可以方便地实现脉冲频率模式PFM( Pul se Frequency Model) ,品质因数表示如下:

LLC 谐振网络需要两个磁性元件Lr 和Lm。
然而,考虑到高频变压器实际结构,可以把磁性元件Lr 和Lm 集成在一个变压器内,利用变压器的漏感作为Lr , 利用变压器的磁化电感作为Lm , 这样一来,可以大大减少磁性元件数目。 在设计时,只要重点设计变压器的漏感与变压器磁化电感即可。 因此, 为增加漏感, 需要在变压器中加入适当的气隙,并且控制变压器原、副边的绕线方式可以提高品质因素。
1. 2 LLC 的数学模型分析
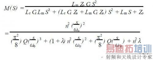
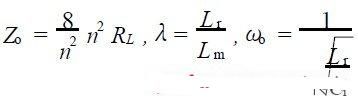
通过上述分析,由图1 的LLC 谐振变换器的原理图得其LLC 等效模型如图2 所示。

图2 LLC 原理图的等效模型图
电压传递函数为:

其中:

Q 为品质因数。
[p]利用MA TIAB 对该模型进行仿真,可以初步分析出其工作特性如图3 所示。 其中f s 为启动频率( Start Frequency) f r 为谐振频率( ResonantFrequency)。

图3 LLC 谐振工作特性。
从图3 中可以看到,在整个频率围内,既有降压的工作区域(M 《 1) ,也有升压的工作区域( M 》1) ,此LLC 谐振有着较大的应用范围。 在轻负载时,工作频率逐渐升高, 工作在降压区域内; 而在重负载时, 工作频率逐渐降低, 工作在升压区域内。 由图3 可知, 串联谐振的工作区域应该为f s / f r 》 1 ,才能工作在ZVS 的状态。 在不同负载下,为获得ZVS 的工作条件, 只要使之工作在f s / f r 》 1的右侧即可。 而LLC 谐振不仅仅局限于f s / f r 》 1 的区域, 在某些负载下可以工作在f s / f r 《 1区域。 同样可以获得零电压转换的工作状况。 并且与串联谐振相比,在不同负载时的频率变化范围更小。
1. 3 LLC 谐振变换器的时序分析
LLC 谐振变换器由两个主开关管Q1 和Q2 构成,其驱动信号是占空比固定为0. 5 的互补驱动信号。 为了保证原边功率MOS 管的ZVS , 副边二极管的ZCS(Zero Current Switch) 都可以实现,工作频率在f 2 《 f ≤f 1 时, 其工作波形图如图4 所示。 从图中可以看出LLC 变换器工作在半个周期内可以分为三个工作模式。
模式1 (t0 - t1):两个开关管(Q1 、Q2 ) 都截止,Q1 的反向二级管导通续流, Lr 上的电流逐渐减小,变压器产生感生电流,向负载供电。 反向二极管的导通将Q1两端的电压钳位在零。
模式2 (t1 - t2):Lr 上的电流在t1 时刻减小到零,Q1 在此时刻导通, Lr 上的电流反向增大, 达到峰值后减小。 Lm 上的电流先减小,然后反向增加。
可以看出,t1 时刻由于Q1 的反向二极管的钳位作用,Q1 的导通电压为零。 此阶段只有Lr 和Cr 进行谐振。

图4 工作时序波形图
模式3 (t2 - t3):Lm 上的电流在t2 时刻与Lr上的电流相等,此时流过变压器的电流为零,负载与变压器被隔离开。Q1 在此时刻关断,Q2的反向二极管导通续流。 此阶段Lm 也加入到谐振部分, 与Lr 和Cr 串联组成谐振回路。
在下半个周期中, 电路的工作与上半个周期刚刚相似,只是方向相反。整个周期的电路工作波形:在上半个周期中,开关管Q1 为零电压导通, 而Q1 在t3 时刻的关断电流im 很小; 在下半个周期中,开关管Q2 为零电压导通,而Q2 在t6 时刻的关断电流im 很小,所以Q1 、Q2 工作时的开关损耗很小。
2 充电器硬件设计
经过上面的分析,设计中采用电流、电压负反馈的方法来达到恒流、恒压充电的目的,充电器硬件原理框图如图5 所示。

图5 充电器的硬件原理框图
交流电经过滤波整流后,流向NCP1653,由其提供PFC(Power Factor Correction) 操作,NCP1653是一款连续导通型(CCM) 的功率因数校正( PFC) 升压式的上升控制电路, 它的外围元器件数量很少,有效地减少了升压电感的体积, 减小了功率MOS管的电流应力,从而降低了成本,且极大地简化了CCM 型的PFC 的操作,它还集成了高可靠的保护功能。 NCP1396 电路为整个硬件电路提供保护(包括有反馈环路失效侦测、快速与低速事件输入,以及可以避免在低输入电压下工作的电源电压过低侦测等) ,NCP1396 的独特架构包括一个500 kHz 的压控振荡器,由于在谐振电路结构中避开谐振尖峰相当重要,因此为了将转换器安排在正确的工作区,NCP1396 内置了可调整且精确的最低开关频率,通过专有高电压技术支持。 应用S3F84K4 单片机实现智能充电器控制。
[p]3 软件设计
为满足充电要求, 该充电器软件设计除了完成充放电控制外, 还具有过流保护、过压保护、过温保护、短路报警等功能模块。主程序流程图如图6 所示。

图6 主程序流程图。
程序开始执行后, 首先进行初始化并检测电池电压、电流、温度等信息是否正常。 如正常则进入下一步。 否则报警并关闭电路。 如果电池电压在充电终止电压和放电终止电压之间, 说明电池既可充电也可放电。 此时电路将判断接上充电机还是接上负载。 以进行相应的充电和放电。 如果两者都没有接则循环检测过程。 若电池电压已经到达充电终止电压。 则等待负载的接入进行放电;同样若电池电压己经达到放电终止电压,则等待充电器的接入以进行充电。 在整个过程中,该电路将始终实时检测电池信息,若有异常情况发生,则立即利用中断信号终止正在进行的充电或者放电过程,关断充放电回路,同时进行报警并提示报警原因。
4 测试结果
本充电器的各项指标如下:
(1) 输入电流:50/ 60 Hz。
(2) AC/ DC 输出电压48 :V , AC/ DC 输出电流:5. 0 A。
(3) 恒流充电电流:4. 5 A。
(4) 恒压充电电压:45 V (AC)。
(5) 环境温度: - 5~45 ℃。
经分析, 按上述设计和分析结果, 最后选定LLC 的参数Cr = 0. 043 055μF,Lr = 72. 636 09μH,Lm = 435. 816 5μH。
本智能充电器经测试,充电保护措施可靠,充电状态准确,充电时间约为6 h ,如果需要进一步缩短充电时间,只需在初始化时设定更大的充电电流即可。 因为采用PWM 控制器,所以,充电效率可以达到92 %以上,最低时在85 %左右。根据实际需要,要想达到理想的充电效率,对充器件做进一步的精确要求。
5 结 语
在智能充电器控制系统设计过程中,主要侧重点是保证充电器对充电电池电压的精确控制,设计中元器件的选型也都是围绕着这个重点来完成的经过实验电路的实际测试,由电源变压器、整流电路、滤波电路及稳压电路构成AC/ DC 变换电路。 在NCP1653 、NCP1396 与S3F84 K4 的配合控制下可实现很高的系统精度。
射频工程师养成培训教程套装,助您快速成为一名优秀射频工程师...

