- 易迪拓培训,专注于微波、射频、天线设计工程师的培养
反激式高频变压器的分析与设计
随着反激式高频链逆变器在小功率领域应用的不断扩大,为了研究出其核心部件:反激式高频变压器有效实用的设计方式。在此结合了Ap法及电流密度经验公式,对于变压器Ap值的确定方法进行了改进,通过设计实例,用详实、具体的步骤揭示了高额变压器设计、制作的复杂程序。最后,为了验证设计效果,设计实例中的实验品在250 VA反激式高频链逆变器中进行了测试使用,测试结果表明设计的变压器性能良好,设计方法清晰、明了。
0 引言
随着电力电子技术的不断发展和应用领域的不断扩大,传统的工频逆变器因存在变压器体积过大、输出滤波器笨重、容易产生音频噪声及系统的动态响应特性较差等缺点,已不能适应现代电源技术发展的潮流与需求,而高频链逆变器则因为拥有高可靠性、高效率、高频化、高功率密度、低损耗等特点,正在逐渐取代传统的工频逆变器,成为新一代逆变器的主流发展方向之一。
作为高频链逆变器的核心部件,高频变压器同时具备传输能量、电气隔离、储能、升降压等功能,其性能好坏,将直接决定整个逆变器性能的优劣。在各类高频变压器的设计中,以反激变换器拓扑中的变压器最复杂,而在小功率范围内,反激式高频链逆变器的拓扑目前是综合性能最好的拓扑结构,因此,本文的研究重点将放在反激式高频链逆变器的高频变压器的设计上。
1 反激式高频链逆变器简介
反激式(Flyback)高频链逆变器又称电流型高频链逆变器,它是以反激变换器拓扑为基础演变而来的,其电路拓扑如图1所示。它由高频逆变器、高频变压器和周波变换器组成,其中高频变压器不仅提供电气隔离和电压调整而且还可以存储能量,因此可以省掉输出滤波电感。相比于其它结构的高频链逆变器,反激变换器的电流源高频链逆变器具有拓扑结构简单、能量双向流动、控制易于实现、无电压过冲问题等优点。

针对反激式高频链逆变器的高频变压器设计需要注意以下2点:
(1)反激型电路工作于电流断续模式时,变压器的磁芯利用率较高,故在设计反激型变压器时,应根据DCM模式下的公式去计算原副边电压比;
(2)在设计反激型电路的变压器时,必须设计足够的磁芯气隙来防止磁芯饱和状态并平衡直流成分。
2 变压器设计分析
2.1 磁芯材料
设计高频变压器首先从选择磁芯材料开始,高频开关电源的变压器磁芯大多是在低磁场下使用的软磁材料,具有较高的磁导率,低的矫顽力,高的电阻率。磁导率高,在一定线圈匝数时,通过不大的激磁电流就能够承受较高的外加电压,因此,在输出一定功率要求下,可减轻磁芯体积。磁芯矫顽力低,磁滞面积小,则铁耗也少。高的电阻率,则涡流小,铁耗小。各种磁芯物理性能及价格比较如表1所示。铁氧体材料是复合氧化物烧结体,电阻率很高,适合高频下使用,但饱和磁通比较小。本文设计就采用铁氧体材料。

2.2 磁芯尺寸
确定变压器尺寸较为简洁常用的方法是Ap法(Ap=AeAw),即通过计算磁芯截面积Ae和窗口截面积Aw的乘积值来选择磁芯材料的尺寸型号,变压器的Ap值可由式(1)确定。
对于半桥型及全桥型变换电路,由变压器电压、电流及功率间的关系,式(1)可进一步表示为:
式中:f为开关频率,Pt为原边与副边的总视在功率。
如果变压器的温升限制在30℃,导线的电流密度J(单位:A/m2)可以由经验公式求得:
式中:f取变压器工作频率,k。取常用值0.4。
Pt可由输出视在功率Po和效率η确定,但会随线路结构不同而有不同的关系。当原边与副边均无中心抽头时:
对于图1的拓扑结构,Pt的表达式适用于式(5)。
工作磁通密度变化量△Bac则根据不同的电路结构和磁芯饱和磁通密度确定,若变换器为单端电路,磁芯磁通的变化曲线如图2(a)所示,因此△Bac应小于磁芯材料的饱和磁通密度与剩余磁通密度之差;若变换器为双端电路,由于磁通可在正负双向变化(如图2(b)),则△Bac应小于磁芯材料的饱和磁通密度的2倍。除了符合以上条件外,还应适当降低△Bac,以防磁芯在某工作频率下损耗过大导致过热。

2.3 原边绕组与副边绕组匝数
原边匝数可根据式(8)确定,即:
式中:Np为原边绕组;Us为原边直流电压;ton为导通时间;Dmax为工作电路中的最大占空比;△Bac为交变工作磁密,△B为交变工作磁密摆幅;fs为工作频率。
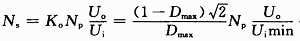
副边匝数则根据不同电路结构的输入输出电压关系计算:
式中:Ns为副边绕组;Uo为输出电压(单位:V);Ko为电路结构系数,在不同的电路结构下有不同的表达式,在反激式电路拓扑结构下,因此电路结构系数Ko可由式(10)表示:
2.4 原边绕组与副边绕组导线尺寸选择
首先计算原边电流平均值Iavgl和副边输出电流值Io,并由式(3)确定电流密度J,再由:
及:
计算原副边绕组导线尺寸(式中,Axp为原边绕组导线截面积,Axs为副边导线绕组截面积),考虑到趋肤效应,必要时需选择多根导线并绕。
2.5 磁芯气隙尺寸
每一工作周期能量乘上工作频率f和变压器效率η为输出功率Po,如式(13):
式中:Iave为原边平均电流;Lp为原边电感。
当变压器工作在电流不连续工作模式,在ton时间内电流为0~Ip,可得式(14):
式中:Lp为原边绕组电感;Us为原边直流电压;Dmax为最大占空比。
式中:η为变压器效率;Dmax为最大占空比;Ts为脉冲周期(单位:s);Usmin为输入端最小直流电压(单位:V);Pomax为最大输出视在功率(单位:VA)。
假定所有的磁阻都在气隙中,则式(17)可计算保守的气隙尺寸:
式中:lg为气隙长度(单位:mm);μo=4π×10-7;Np为原边匝数;Lp为原边电感(单位:mH),Ae为磁芯面积(单位:mm2)。
2.6 检验磁芯磁通密度和饱和裕度
为了在磁芯的最大工作值和饱和值之间有足够的余量,需要检验磁芯可能出现的磁通密度峰值。
(1)计算交变磁通密度△Bac,见式(18):
式中:△Bac为交变工作磁密(单位:mT);Us为输入端直流电压(单位:V);ton为导通时间(单位:μs);Np为原边匝数,Ae为磁芯截面积(单位:mm2)。
(2)计算直流磁通密度分量Bdc,见式(19)
假定磁芯的所有磁阻都集中在气隙,将得到较高的直流磁通密度保守结果,此近似值可由式(19)得:
式中:Bdc为直流作用的磁感应强度(单位:T),μo=4π×10-7,Np为原边匝数;Idc为有效直流电流(单位:A);lg为气隙长度(单位:mm)。
(3)计算Bmax=△Bac/2+Bdc,并将其与选择磁
芯材料的饱和磁通密度相比较进行校验。
3 变压器设计实例
逆变器电路拓扑如图1,其中对变压器的工作要求为:输入电压24 V;输出电压有效值220 V,频率50Hz;额定容量250 VA;开关频率20 kHz;变压器在反激式电路中,即变压器需工作在DCM;假设效率η=85%,最大占空比0.45。
磁芯材料选择PC40,其在60℃时饱和磁通密度为Bw=450 mT,考虑一定裕度,取Bw的1/3作为变压器工作磁通密度的摆幅,
即
。
变压器原副边绕组均无抽头,故由式(5)Pt=Po(1/η+1)=544 W。
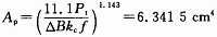
工作频率fs=20 kHz,kc取0.4,则由式(4)得
,根据上述值,选PC40 EE42/21/20,其中Ap=6.462 5 cm4;Ae=235 mm2;Aw=275 mm2。
原边绕组匝数根据式(8)得:
7.66,取8匝。
副边绕组匝数由式(9)及式(10)得:
代入数值可得:126.76,取127匝。
电流密度J由式(3)得:
为确保最大输出功率时逆变器仍工作在DCM,原边电感(单位:μH)由式(16)得:
考虑趋肤效应,原边绕组采用AWG#18导线5根并绕,副边绕组采用AWG#20导线。
可能出现的磁通密度峰值小于磁芯饱和磁通密度,设计可行。
4 实验
测试电路结构见图1.前级K2,K4关断,K1,K3做20 kHz,占空比为0.45的高频斩波,后级K5导通,K6关断,从而形成一个反激型的DC —DC电路,输入电压取直流24 V,负载R取387Ω,此时测得输出电压为289.6V,输入电流为12.7A,此时计算得电路的效率为71.1%,经测试,前级全桥效率在大电流下约为85%,再考虑电路其他部分的损耗,因此可得变压器的效率约为85%,变压器实物照片见图3。
5 结语
本文详细介绍了反激式高频链逆变器用高频变压器的设计方法及步骤,明晰了原本复杂的变压器设计步骤。本文的设计方法具有一定的普遍性,设计步骤中大多数也与其他电路拓扑的变压器设计过程吻合,最后,利用本文设计方法设计的高频变压器在250 VA高频链逆变器中进行了测试使用,实验结果表明,变压器运行良好,逆变器运行良好,变压器设计是比较成功的。
射频工程师养成培训教程套装,助您快速成为一名优秀射频工程师...
天线设计工程师培训课程套装,资深专家授课,让天线设计不再难...
上一篇:工业应用数据信号采集的新选择
下一篇:某模拟器的虚拟信号产生方法研究

