- 易迪拓培训,专注于微波、射频、天线设计工程师的培养
互阻放大器带宽计算方法
0 引言
在进行电路设计时,设计者往往把运算放大器看成是理想的。在低频段、低精度的情况下按照理想运放进行设计不会引入误差,但是在频率要求较高的场合,必须考虑运放的实际物理特性,否则就会产生带宽较低或者环路不稳定等负面影响。
一个集成运放由很多的基本元器件组成,不同的元器件可能会造成各自不同的极零点,运算放大器的频率响应是完全随机化的,这样就造成了运放的频率响应不可预测。运放是一个极其复杂的系统,对其进行精确的数学描述是相当复杂的。在设计电路时,设计者当然可以根据厂家提供的Spice模型进行系统仿真。这对设计人员来说是可行的,但是不能从宏观上提供有效的预测和指导,增加了设计和调试的复杂度。
为了方便对运放进行一般意义上的建模,生产厂家在版图中引入一个主导极点。主导极点的存在使得运放的频率响应特性很像单极点系统,即从截止频率开始每十倍频程有20 dB的衰减。在运算电路的频率分析中,把运放当作单极点系统看待,会使电路的分析变得更加容易一些。
在采用运放的电压放大电路中,在单极点近似下可以得到大部分频带区域内增益和带宽的乘积为一常数,即增益带宽积。在进行电压放大电路设计时,设计者往往得益于增益带宽积的概念。互阻放大器(Transresistance Amplifier)是在光电探测器前置放大器中经常使用的一种电路结构,然而遗憾的是增益带宽积这一概念并不适用于互阻放大器的带宽计算。本文以OP37为例,首先介绍了增益带宽积的概念;然后用单极点近似的思路得到互阻放大器增益与带宽之间的关系,指出互阻放大器的增益和带宽的平方的乘积为一常数,为互阻放大器的设计提供了宏观指导。
1 增益带宽积
图1是一个采用OP37实现的同相比例运算电路,反向端通过R接地,Rf为反馈电阻,R’=R∥Rf是为了保证集成运放输入级差分放大电路的对称性,Vin为输入电压,Vout为输出电压。
在单极点近似下,运放的输入压差和输出电压之间的传递函数可简单表示为:
增益带宽积也可以看作是当运放的开环增益为0 dB时的频率值。对于特定的运放增益和带宽二者是矛盾的,若要求系统的带宽较宽,则必须牺牲增益,这就是为什么在带宽要求较高的应用中往往采用多级放大的原因。增益带宽积在运放的选型时是一个非常重要的指标,一般芯片的数据手册中都会明确地给出这一指标。
2 互阻放大器的带宽计算
2.1 互阻放大器的结构与应用
在激光雷达、激光陀螺信号处理等应用中经常使用雪崩光电二极管等来探测光信号,从而提取出感兴趣的信息。将二极管产生的电流信号转换为电压信号需要采用图2所示的互阻放大器结构。
图中运放的正向端直接接地,Dphoto是接收信号用的光电二极管,反馈电阻Rf决定增益的大小,Vbias是反向偏置电压,它能够提高光电管相应的线性度,减小结电容,增大电路带宽。为了研究互阻放大器的频率特性,有必要使用光电管Dphoto的等效电路模型。
图3为光电管的交流等效电路。其中,Is为光控恒流源,Cj是二极管耗尽区产生的结电容,它是决定电路带宽的一个重要指标,Rj是光电管的等效电阻,一般来说Rj都会很大,通常会大于100 MΩ,Rj上所分得的电流将会很小,故Rj可忽略。
设照射到二极管的光功率为Pi,二极管的电流响应度为Ri(其单位一般是A/W),则光电管产生的电流的大小为:
采用图3所示的光电管等效模型,并忽略Rj,图2中的电路结构可简化为图4。
实际上运放也有输入共模电容,但它可以并入Cj中。在交流情况下,其带宽由电容值Cj和运放的频率特性共同决定,而上述增益带宽积的概念只适用于电压放大器,在互阻放大器中并不适用。本文将采用上述的单极点模型,通过适当的近似,得出互阻放大器的带宽计算公式。
2.2 互阻放大器的增益带宽关系
上述增益带宽积的概念并不适用于互阻放大器,但通过推导,将会得出增益带宽积也是互阻放大器的一个重要参数,在增益带宽积为恒定值的运放中,增益值和带宽仍然是矛盾的。
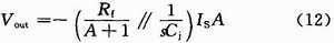
在图4中,由于运放的输入阻抗很大,根据米勒效应,Vout和Is之间的关系可以表达为:
一般情况下Cj≠O,并且Cj不可以忽略,它是影响带宽的一个重要参数。将式(1)代入式(12)可得传递函数为:
下面将举例说明式(18)一般是能够满足的。假设Cj=20 pF;Rf=50 kΩ,可得:
在式(25)中Rf为互阻放大器的增益,ω3dB为对应3 dB带宽的源频率,这样就完成了互阻放大器增益带宽关系的理论分析和计算。式(25)指出在源的结电容恒定的情况下,互阻放大器的增益与带宽的平方乘积是一个常数,显然在互阻放大器中,增益和带宽仍是矛盾的。式(25)是以源频率的形式表达的,两边同时乘以(2π)2也可表达为频率的形式:
2.3 仿真验证
为了验证式(25)的正确性,在Multisim中对图3所示的电路进行仿真,将结电容Cj取一恒定值,运放采用OP37,改变Rf的值,同时测量系统的3 dB带宽,得到实验结果如表1所示。
从表1可以看出,当取不同的增益电阻时,
值的变化很小,基本可以看作是一个常数。需要说明的是为了增加工作电路的稳定性,并展平增益曲线,一般会在Rf并联一个很小的电容Cf,Cf的引入会使带宽有所下降。文献提供了Cf最小值的计算方法,按照文献所述,一般情况下Cf<3 结论
本文得出了互阻放大器的带宽计算方法,为互阻放大器提供了基本指导。在满足式(18)的条件下,互阻放大器的增益与带宽的平方乘积近似为一常数。在电路设计时,为了满足带宽的设计需要,可减小Rf的值,既减小互阻放大器的增益,在后续电路中通过电压放大的方式进行增益的调整。和电压放大电路的设计类似,在互阻放大器中为了增加系统的带宽,仍可采用多级放大的结构来提高系统的带宽。
射频工程师养成培训教程套装,助您快速成为一名优秀射频工程师...
天线设计工程师培训课程套装,资深专家授课,让天线设计不再难...
上一篇:无线传感器网络技术的军事应用
下一篇:从单节光伏电池收集能量

