- 易迪拓培训,专注于微波、射频、天线设计工程师的培养
解析PRT自激励振方式VRC软开关变换电源技术
在开关变换电源电路中,将谐振型变换开关元件的励振、驱动方法定义为两类,即把设置有专用的励振和驱动电路方式叫作它激励振、驱动;把利用变压器反馈电路实现的励振、驱动方式叫作自激励振、驱动。这里阐述利用正交型变压器PRT反馈电路构成的自激励振方式电压谐振型软开关变换电源技术。
1 正交型变压器的控制技术
对于自激励振方式谐振型变换器的控制技术,尤其重要的是采用各种铁氧体磁心的正交型变压器PRT。图1是PRT构造和电感特性及电路图形符号。其中,图1(a)为旧单口型铁氧体磁心PRT;图1(b)为新双口型铁氧体磁心PRT;图1 (c)为PRT电路符号。比较它们的形状和电感特性后得知,新双口型PRT的磁路长度比旧单口型的磁路长度延长,磁阻增加。由于主线圈N的电感量Ln和控制线圈Nc的直流控制电流Ic的变化,使新双口型的Ln变化幅度和线性范畴都扩大了。

在图2中设控制线圈Nc流过直流Ic时产生的磁通为φc、主线圈N1或N2上流过交流电流I1时产生的磁通为φ1。若图2(a)中箭头方向为正,则在磁路 A和D上的磁通φc和φ1方向相反,磁通为φ1-φc;而在磁路B和C上的磁通φc和φ1方向相同,磁通为φ1+φc。图2(b)中主线圈N1加载到磁路 B和D上的B-H曲线,相当于被Lc的变化而调制的磁滞曲线。由于加载到线圈Nc磁路A,B上的φ1感生电压互相抵消,在Nc上不产生交流电压,所以 PRT的电流Ic信号就可以作为控制磁路B和D上的磁通量,把它作为可控电感元件,实现谐振型变换器的控制技术。图2(c)为这种PRT的电路符号。

2 自激励振方式电压谐振型变换器
开关元件在断开时,加在开关元件上的电压波形是LC谐振时产生的正弦波电压,也称之为电压谐振。利用电压谐振型变换器VRC电路和PRT的组合,可以构成各式软开关变换电源。常用的自激励振方式VRC的控制方式有如下几种:
2.1 并联谐振频率控制方式
图3为单管自激励振方式VRC的并联谐振频率f0控制方式的开关变换电源电路。图3(a)为电路图,图3(b)为控制特性图,图3(c)为工作波形图。

图3(a)中PRT的结构如图2所示,线圈N1与脉冲电流转换器PCC的电感Ls串联后,再与并联电路(包括VCBO>1 200 V的耐高压BJT管Q1、续流二极管D1、并联谐振电容Cr)串联。另外,有中心抽头的全波整流线圈N2与谐振电容Cs并联。
图中自激励振电路由下述元件和小电路构成,如启振电阻Rs,串联谐振电路(包括绕有1匝线圈的脉冲电流转换器PCC、限流电阻RB、定时电感LB、定时电容CB),并联电路(包括箝位二极管DB,Q1的基极一发射极)。由此可知,这个自激励振、驱动电路的工作波形是低噪声、正弦波波形。
另外,在RB较小时.开关变换频率fS由LB和CB的串联谐振值决定,见式(1):

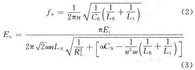
为了表示VRC电路的谐振频率fo和输出直流电压Eo,在Eo端接上负载电阻RL后,分别设N1,N2的电感值为L1,L2;匝数比为n=L1/L2;滤波电解电容Ci两端电压为Ei,则等效电路的导出解析式结果fo及Eo。见式(2),式(3):

由式可知,若固定fs,控制PRT的可变电感L1,就可控制谐振频率fo和输出电压Eo。设fo>fs,ω=2πfs,则如图3(b)所示,依据PRT控制原理,若控制Ic,就能稳定输出电压Eo的值。
当Q1截止时,产生的集一射间脉冲电压Vcp是L1+L2和Cr的并联谐振电压,其峰值是Ei的5~6倍,但Q1瞬断时的开关变换损耗较小。当负载功率 Po="180" W,交流输入电压VAC=220 V,FS=50 kHz时,可以得到AC-DC的电能变换效率为ηAC-DC=83%。从Ci端PRT的励磁电流I1和N2侧Cs的两端交流电压V2的工作波形可以看到,其基本上接近光滑的正弦波状,可以达到低噪声,满足实用的目的。
[p]2.2 谐振电压脉冲宽度控制方式
在图3中,PRT的主线圈N1,N2是用φ100μm单线捆成40~50根的绞合线绕制而成,它不但要保证铁氧体磁芯的绝缘间隙,还会造成体积增大。为了减少电路体积,可以想到,如果控制PCC的电感量Ls,也能对Eo进行控制。故将图 3的PCC换成图1的PRT,则用PIT一次侧串接PRT的方式构成了VRC,如图4所示。图4(a)为电路图;图4(b)为工作波形图。

这个电路的构成原理是,PRT和PIT的一次侧有LR+L1和Cr的并联谐振电路;二次侧有N2电感L2和Cs的并联谐振电路。图4中的V1和V2分别为两组的并联谐振脉冲电压。用电流驱动变压器CDT控制开关管Q1的断合工作。由于控制了PRT的NR电感LR,所以能够控制谐振电路V1的脉冲宽度 △T1,达到稳定输出电压E0的目的。电压谐振波形如图4(b)所示,图中的工作参数为fs=110 kHz,控制范畴为T1=3~4.5 μs,控制宽度为△T1=1.5μs,电能效率为ηAC-DC=83%。
另外,除了图4用PIT一次侧连接PRT的脉冲宽度控制方式VRC之外,还有用PIT的二次侧连接PRT的脉冲宽度控制方式VRC,这个电路的构成原理是,PIT的一次侧有L1和Cr、二次侧N2有电感L2+LR和Cs的这两组并联谐振电路。对于Eo的稳压,由于控制PRT的NR电感LR,所以能够控制二次侧谐振电压V2的脉冲宽度△T2。用PIT二次侧连接PRT的脉冲宽度控制方式VRC的典型工作参数为fs=71.5 kHz,控制范畴T2=7~12μs,控制宽度△T2=5μs。
上述两种谐振电压脉冲宽度控制方式电路都不需要PRT的主线圈NR、控制线圈NC和磁芯间的距离,所以可以使之小型化。另外,上述的VRC是最大负载功率 Pomax≥150 W的情况,在AC输入电压VAC=220 V时,为了确保开关元件Q1,PIT和PRT的可靠性,输入整流滤波电路几乎都设计成全桥整流方式。
由于供给VRC电路的直流输入电压Ei较高,伴随着VAC↑→Ei↑,则变压器一次侧的谐振电流↓,Q1和Cr上的电压谐振脉冲电压Vcp↑,其Vcp可高达1 500 V以上。所以,Q1和Cr要采用大于1 800 V耐高压的元件,并且还要对Q1的饱和压降VCE(SAT)、下降时间tf及高频特性的大小有所限制。因此,对上述电路进行改进,得到如图5所示的升压型复合电压控制方式VRC。
2.3 升压型复合电压控制方式
图5(a)由PIT的三次线圈N3、升压二极管DB、主绕组有抽头的PRT(主绕组NR分为分为NR'和NR"线圈;NR'为升压控制线圈;NR"为谐振电压脉冲幅度控制线圈)、滤波电解电容Ci构成了升压型复合电压控制方式VRC。这就是用1组控制电路,同时能够控制升压EB和并联谐振脉冲电压幅度 Vcp,并达到Eo稳定的复合电压控制方式VRC。
设DB的正向导通电压为VF,PRT主绕组NR的总电感量为LR,PIT的一次线圈N1的电感量为L1,则从Ei和一次测VRC得到的升压电压EB,如式(4)表示。

式中:设NR"+N3=1.2N1;可变电感LR=0.2L1~1.2L1;EB为Ei~2Ei控制LR的变化,就能够得到2倍Ei值的电压变化量。当 NR'=NR"=14T时,LR的动态控制范畴约为6倍。负载功率Pomax的工作波形如图5(b)所示。对于VAC和Pomax的变化关系,如图5 (c)所示Ei和EB的描绘曲线。根据这种控制方式,控制EB就能使Eo稳定。随着VAC的上升,控制PRT的LR增加,让Q1和Cr上的电压谐振脉冲峰值Vcp固定为700 V左右,所以Q1可采用VCBO<900 V的低压器件。

电路典型参数:Pomax=180 W,Pomin=60 W,开关频率为100 kHz,Ci=1 000μF/400 V,Ci'=1 000μF/250 V,Cr=6 800 pF,C2=0.01 μF。在VAc=220 V时,效率达到ηAC-DC=86%,基本可实现高效率和轻小型结构。这种VRC不但输出功率大,体积小,重量轻,而且是一个控制效果相当好的实用电路。
3 结 语
该电路的综合特点是:输出功率高,为Po>150 W;电能转换效率高,为ηAC-DC>83%;容许输入电压变动范围宽,为VAC=220 V(-20 %~+10%),控制性能好,应用厂泛。
采用正交型变压器PRT构成的自激励振方式软开关变换电源技术,对于谐振方式,不仅有电压谐振型,还有电流谐振型。对于DC输出电压的控制方式,有并联谐振频率、谐振电压脉冲宽度、升压型、复合型等控制方式。但对于电流谐振型CRC(因与本题目不符,加之篇幅有限,故略),还有开关变换频率、串联谐振频率等控制方式。它们都是基于控制PRT电感量实现自动稳定输出电压Eo的自激励振方式的谐振型软开关变换电源技术。
发布者:小宇
射频工程师养成培训教程套装,助您快速成为一名优秀射频工程师...

