- 易迪拓培训,专注于微波、射频、天线设计工程师的培养
提高电源转换效率的交错式PFC控制技术及应用
多年以来,多种创新型功率因数校正(PFC)技术不断问世。采用升压拓扑结构的有源功率因数校正就是首批创新技术中的一种。由于不再需要大体积的无源PFC解决方案,所以有源功率因数校正技术提高了功率密度。另一个创新技术为转移模式PFC,该技术消除了PFC预调节器的升压二极管中的反向恢复电流,不但降低了转换器的开关损耗,而且还提高了系统效率。用来增加功率密度并提高系统效率的PFC下一个创新技术为交错式PFC预调节器。
电源设计工程师设计交错式PFC转换器已有数年,但因缺少合适的控制器,所以对电源控制的设计必须非常谨慎。为使交错式PFC设计变得更轻松,德州仪器(TI)开发出两款交错式PFC控制器:一款为针对平均电流模式预调节器的控制器(UCC28070),另一款为针对交错式转移模式PFC预调节器的控制器(UCC28060)。本文将讨论如何利用交错式PFC及其控制技术来增加功率密度、提高系统效率并降低系统成本。
交错式PFC升压预调节器(图1)仅由两个PFC升压转换器组成,这两个升压转换器的工作相位相差180°,可降低由电感电流(IL1和IL2)引起的输入电流(IIN)。由于电感高频纹波电流为反相,所以二者相互抵销,从而降低由升压电感电流引起的输入纹波电流。电感纹波电流的消除允许电源设计工程师在减少由升压电感引起的输入纹波的同时并联升压PFC预调节器,这可以降低总的电感升压幅度和/或缩小EMI滤波器尺寸。此外,与单级拓扑结构相比,交错式PFC预调节器的高频输出电容的均方根(RMS)电流(ICOUT)不到前者的50%。高频升压电容的RMS电流的减少最多可以使升压电容数量下降25%。请不要将升压电容数量与设计时所需的电容数量相混淆,转换器所需的电容数量一般由保持时间决定。

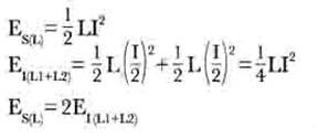
与单级预调节器相比,交错式PFC预调节器最多可以将设计所需的总电感能量降低50%。为详细说明这一点,可考虑单级PFC所需的电感能量(ES(L))以及交错式PFC所需的总电感能量(EI(L1+L2))的公式。对于相同的功率级,如果在这两种设计中使用相同的电感值,那么交错式设计所需的总电感能量只有单级设计的一半。事实上,交错式设计所减少的电感能量最多可以使磁体体积减少32%。
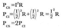
通过比较单级PFC的传导损耗(PCS)与交错式PFC的总体传导损耗(PCI)可看出:与单级功率因数校正转换器相比,交错式PFC预调节器可最多可使传导损耗降低50%。传导损耗的降低将使交错式PFC预调节器在更高的电压下具有更高的效率(此时传导损耗为主要损耗)。

过去,电源设计工程师被迫采用分立电路控制方案来控制交错式PFC预调节器。为帮助电源设计工程师实现交错式设计,TI推出了两款交错式PFC控制器,其中UCC28060控制器不仅能让两个转移模式PFC预调节器交错运行,还采用了恒定导通时间控制技术,不需要对电流进行检测。该技术消除了对升压FET源端的电流检测电阻的需求,只有在保护升压FET的峰值限流电路中才需要电流检测。峰值限流比较器被设计成在200mV时才被触发,该触发电压还不到转移模式PFC控制器通常所需电流感应信号的电压的1/6。由于具有电流检测功能,这种创新技术大大降低了传导损耗。图1为采用UCC28060控制IC的交错式PFC预调节器原理图。

图1:采用UCC28060控制IC的交错式PFC预调节器原理图。
虽然交错式PFC预调节器可以通过降低传导损耗提高效率,但当开关损耗(PS)为主要损耗时,它实际上会降低转换器的轻负载效率。下面方程式对双相交错式升压二极管和升压FET开关损耗进行了说明,其中,VDS与IDS分别为FET的漏源极开关电压和漏极电流,变量tr和tf为FET的漏源极上升和下降时间,Coss为FET的漏源极寄生电容,Qg为FET的栅极电荷,Vg为施加在FET栅极驱动上以将其导通的栅极驱动电压,变量fs表示转换器的转换频率,变量IRR表示升压二极管的反向恢复电流。从这个方程式可知,由COSS、Qg以及IRR引起的总体损耗是单级PFC预调节器的两倍。在轻负载条件下关闭其中一个交错相位,进入单相运行模式,可以提高轻负载条件下的效率。

为提高轻负载效率,UCC28060具有可选的内置相位管理电路,启动这一功能就可以让系统的轻负载效率提高1~3%(图2)。

图2:UCC28060通过相位管理实现的效率提高。
用来控制交错式PFC的第二款控制IC是UCC28070。该控制IC能让两个平均电流模式PFC升压级交错运行。为确保预调节器具有最高效率,该IC能与电流感应变压器来检测电流。此外,为确保调节与电流共享功能正常,UCC28070可以与单电压回路和两个单独的电流回路协同工作。
使用电流感应变压器的PFC升压预调节器通常要求检测升压二极管(D1)和升压开关(Q1)的电流。一般来说,电流感应电路由两个电流感应变压器(CT1和CT2)、两个整流器二极管(D)、两个复位电阻(RR)以及一个电流感应电阻(RS)组成(图4)。在交错式PFC预调节器结构中,可能每个相位的电流都要进行检测。为降低系统成本,TI开发了电流合成技术,无需感测升压二极管电流就能直接合成升压二极管电流,从而能在电路中节省一个电流感应变压器(CT2)、一个整流器二极管和一个复位电阻。

图3:电流合成技术降低了电流感应变压器的数量。
总之,通过减少电容数量和总的电感数量,交错式PFC预调节器可以提高功率密度。交错式电源转换器可以降低传导损耗,提高整体系统效率。过去由于没有PFC控制器,电源设计工程师必须谨慎地对待交错式PFC控制。为在设计过程中提供帮助并使交错式PFC控制变得更简单,TI推出了创新型交错式PFC控制器。UCC28060是专门针对转移模式交错式PFC而设计的,具有内置相位管理功能,以提高轻负载效率。UCC28070是专门针对交错式平均电流模式PFC而设计的,采用了创新型电流合成技术,它通过减少电流变压器电流检测所需组件的数量来降低系统成本。
发布者:小宇
射频工程师养成培训教程套装,助您快速成为一名优秀射频工程师...
天线设计工程师培训课程套装,资深专家授课,让天线设计不再难...
上一篇:以高瓦数数字放大器进行设定
下一篇:精确信号路径应用中的新兴技术

