- 易迪拓培训,专注于微波、射频、天线设计工程师的培养
电流模式降压控制器的精确控制环路
峰值电流控制模式通常是电源设计人员的首选方案,因为其控制-输出传输函数具有一阶频率响应特性。基于一阶模型的控制回路设计的相位裕量接近90°。然而,实际应用中发现所能获得的相位裕量远远小于90°,具体取决于单位增益频率的选择、占空比和所采用的斜率补偿,这是由于控制回路电流比较器的采样效应引起的。本文描述了MAX1954A电流模式控制器的控制回路设计,设计时考虑了采样效应的影响,准确预测了相位裕量。这里使用的分析方法并不针对MAX1954A,能够适用于目前市场上的大多数电流模式降压IC。
一阶模型
降压型DC-DC转换器的典型电流模式控制环路如图1所示。采用固定频率时钟(CLK)导通高边MOSFET。PWM比较器反相输入端由电感电流产生的电压大于控制电压vc时,Q1关闭。通过vc设置峰值电感电流,以保持输出电压vo的稳定。这样,输出电感表现为一个电流源,从而得到一阶控制-输出传输函数。斜坡补偿电压vs加到PWM比较器的第二反相输入端,在占空比高于0.5时可防止工作周期内的谐波不稳定性,提高噪声抑制。电流控制模式的相关波形如图2所示。

图1. 峰值电流控制模式电路原理图

图2. 电流控制模式波形图
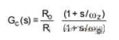
控制-输出传输函数通常用于设计峰值电流模式控制器,如下式所示:

由上式可以估算输出电容Co和负载电阻Ro产生的极点ωp。由该式还可估算出输出电容及其等效串联电阻(ESR) Rc产生的零点ωz。由以上模型得出的增益和相位与实际应用获得的值不同,这是由于PWM比较器的"采样和保持"效应,每周期仅对电流波形采样一次的结果。查阅参考文献[1]可知:必须对以上公式中的简单峰值电流控制模型加以改进,使其在1/2开关频率处具有双极点,以体现采样效应。
估算相位裕量
下文描述了MAX1954A电流模式控制器的环路设计,考虑高频效应并精确估算了相位裕量。利用MAX1954A*估板电路原理图实现该设计,参考了MAX1954A*估板数据资料和MAX1954A数据资料。
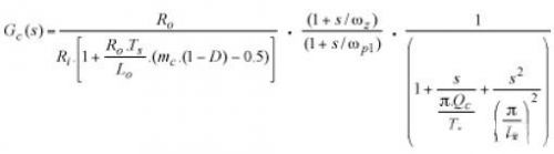
以下公式给出了精确的控制-输出传输函数:


设计补偿网络时应遵从MAX1954A数据资料的建议。由精确模型可以估算出控制-输出传输函数及开环增益,用MathCad绘制的曲线分别如图3和图4所示。利用MAX1954A*估板测试得到的实际控制-输出环路增益和开环增益传输函数如图5和图6所示。

图3. 由MathCad得出的控制-输出增益和相位图

图4. 由MathCad得出的开环增益及相位图

图5. 测试得到的控制-输出增益及相位图

图6. 测试得到的开环增益及相位图
由模型估算出的控制-输出增益及相位与测试得到的数值非常吻合。频率为 101kHz时,模型的增益为-13.5dB,相位滞后-95°。测得的相位图显示增益为-15.1dB,相位滞后-88°。模型的开环增益及相位图显示单位增益频率为70kHz,相位裕量为56°。测得的相位图显示单位增益频率为65kHz,相位裕量为52.8°。一阶模型估算出的相位裕量约为90°,这意味着较宽的元件容限。因此,为了获得正确的稳定裕量,建议即使在较低的单位增益频率下进行峰值电流模式设计时,也应在设计模型中考虑采样效应。
射频工程师养成培训教程套装,助您快速成为一名优秀射频工程师...

