- 易迪拓培训,专注于微波、射频、天线设计工程师的培养
关于工频功率电源信号发生电路的实现
录入:edatop.com 点击:
一般说来,工频功率电源是由信号产生、功率放大、输出控制三大部分组成。其中,信号发生电路是工频功率电源的核心。它是用来产生多相正弦波信号,并完成对信号的频率、相位和幅度的调节。
信号产生电路,既可以由模拟电路实现,电可以由数字电路产生。由模拟电路设计的电源称为模拟信号源,由数字电路设计的电源称为数字信号源。
1 模拟和数字信号源的区别
模拟信号源输出频率和相位可实现连续可调;可使输出信号有很高的稳定性。缺点是:相位及频率的时间稳定性差;调节相位时对幅度有影响;且频率及相位无法直接显示;电路调试困难,工艺结构复杂,难以实现程控。 数字信号源输出幅度、频率和相位的时间稳定性好;调节相位时对幅度没有影响;数字电路容易调试,工艺结构简单,与计算机接口方便,易实现程控。幅度、频率和相位虽不能连续调节,但足以满足实际需求,所以工频功率电源多是数字信号源。
2 波形的分解与量化
要实现信号源的数字化,首先把要得到的波形进行分解和量化,然后再对分解和量化的波形进行合成。即按顺序将波形的幅值以数字信息存入存贮器,工作时,再以相同的顺序取出相应幅值,经D/A电路变换成模拟量,输出所需的各种波形,假设我们欲得到图1(a)所示的正弦波。
如果在一个周期内,将该正弦波等分成16段,即以n°=360°/16=22.5°为间隔分成16个点。在峰-峰幅值之间共分成土100个等级,16个点的量化等级即如图1中所示;如在一个周期内,将该正弦波等分成30段,即以n°=360°/30=12°为间隔分成30个点。在峰-峰幅值之间共分成±100个等级,30个点的量化等级即如图1(b)所示。
很显然,一个周期内分解的点数以及幅度的量化级越多,波形越逼真。由此产生一个完整的正弦波所需的数据量就越大。幅度量化的级数越多,设计电路时所需的D/A位数就越多,成本就越高,但D/A位数少时,输出波形不平滑,含有高次谐波,需用低通滤波器滤除,而低通滤波器会产生附加相移。
一般是根据相位的调节细度来选择分解的点数,根据设计的等级来选择量化的级数。假如需要设计一个相位调节细度为1°,幅度调节细度为不大于0.5%的数字源。因为相位调节细度为1°,则可取360个点;8位D/A的量化等级为1/256=0.0039=0.39%另外,存贮该正弦波数据所需的存贮器容量为360×8位。
确定了上述波形信息,就可进行波形的合成。
3 波形的合成
如图2所示,假定住ROM里已存贮了上述波形信息。波形计数器依次送山ROM里的地址信息0~359。在地址信号作用下,依次取出存入ROM里的各点幅伉数据,并送入D/A。在D/A中把幅值的数字信息变为相应的模拟电流,经运算放大器将电流信号变为电压信号,再通过低通滤波器滤除高次谐波,便可得到光滑的正弦波。
D/A变换及运放滤波电路如图3所示。
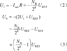
图中DAC0832是8位CMOS D/A芯片,的数字信号经两级锁存,输出的是电流信号,输出电流与输入的数字量NB的关系如式1所示

根据图中电路接法可知

按照式3可算出输出电压Uo与输入二进制数的关系,如表1所列。它符合偏移二进制双极性码的规律。

4 数字调幅
由式3可见,要改变输出正弦波的幅度,只要改变形成波型的基准电压UREF即可,而UREF是由D/A 2提供的,如图4所示。所以只要改变输入给D/A 2的数字量即可改变合成数字波形时的基准电压UREF。这样也便于实现幅度的程控调节。至于D/A 2的位数,应由输出幅度的调节细度来决定,当要求调节细度较高时,D/A2的位数应高一些,该例中调节细度为不大于0.5%,使剧DAC0832即可。
5 频率合成
当然,对于单相工频电源来说,要使频率能在一定的范围内连续可调,并且有很高的稳定度,就要用到频率合成技术。所谓频率合成技术,就是将一个基准频率fo变换成一系列的新频率fl=Nfo,并且这些新频率的稳定度要与基准频率相当。根据频率稳定度及调节细度的要求来设计出相应的变频电路;对于多相工频电源来说,还有数字移相电路,这里不再累述。
本文所阐述的主要足信号发生电路在工频功率电源中的实现,其实该电路可实现任意的波形输出,而且通过配合相应的电路,可产生任意频率和相位可调的波形。该电路原理的实现具有广阔的应用前景。
信号产生电路,既可以由模拟电路实现,电可以由数字电路产生。由模拟电路设计的电源称为模拟信号源,由数字电路设计的电源称为数字信号源。
1 模拟和数字信号源的区别
模拟信号源输出频率和相位可实现连续可调;可使输出信号有很高的稳定性。缺点是:相位及频率的时间稳定性差;调节相位时对幅度有影响;且频率及相位无法直接显示;电路调试困难,工艺结构复杂,难以实现程控。 数字信号源输出幅度、频率和相位的时间稳定性好;调节相位时对幅度没有影响;数字电路容易调试,工艺结构简单,与计算机接口方便,易实现程控。幅度、频率和相位虽不能连续调节,但足以满足实际需求,所以工频功率电源多是数字信号源。
2 波形的分解与量化
要实现信号源的数字化,首先把要得到的波形进行分解和量化,然后再对分解和量化的波形进行合成。即按顺序将波形的幅值以数字信息存入存贮器,工作时,再以相同的顺序取出相应幅值,经D/A电路变换成模拟量,输出所需的各种波形,假设我们欲得到图1(a)所示的正弦波。
如果在一个周期内,将该正弦波等分成16段,即以n°=360°/16=22.5°为间隔分成16个点。在峰-峰幅值之间共分成土100个等级,16个点的量化等级即如图1中所示;如在一个周期内,将该正弦波等分成30段,即以n°=360°/30=12°为间隔分成30个点。在峰-峰幅值之间共分成±100个等级,30个点的量化等级即如图1(b)所示。
很显然,一个周期内分解的点数以及幅度的量化级越多,波形越逼真。由此产生一个完整的正弦波所需的数据量就越大。幅度量化的级数越多,设计电路时所需的D/A位数就越多,成本就越高,但D/A位数少时,输出波形不平滑,含有高次谐波,需用低通滤波器滤除,而低通滤波器会产生附加相移。
一般是根据相位的调节细度来选择分解的点数,根据设计的等级来选择量化的级数。假如需要设计一个相位调节细度为1°,幅度调节细度为不大于0.5%的数字源。因为相位调节细度为1°,则可取360个点;8位D/A的量化等级为1/256=0.0039=0.39%另外,存贮该正弦波数据所需的存贮器容量为360×8位。
确定了上述波形信息,就可进行波形的合成。
3 波形的合成
如图2所示,假定住ROM里已存贮了上述波形信息。波形计数器依次送山ROM里的地址信息0~359。在地址信号作用下,依次取出存入ROM里的各点幅伉数据,并送入D/A。在D/A中把幅值的数字信息变为相应的模拟电流,经运算放大器将电流信号变为电压信号,再通过低通滤波器滤除高次谐波,便可得到光滑的正弦波。
D/A变换及运放滤波电路如图3所示。
图中DAC0832是8位CMOS D/A芯片,的数字信号经两级锁存,输出的是电流信号,输出电流与输入的数字量NB的关系如式1所示

根据图中电路接法可知

按照式3可算出输出电压Uo与输入二进制数的关系,如表1所列。它符合偏移二进制双极性码的规律。

4 数字调幅
由式3可见,要改变输出正弦波的幅度,只要改变形成波型的基准电压UREF即可,而UREF是由D/A 2提供的,如图4所示。所以只要改变输入给D/A 2的数字量即可改变合成数字波形时的基准电压UREF。这样也便于实现幅度的程控调节。至于D/A 2的位数,应由输出幅度的调节细度来决定,当要求调节细度较高时,D/A2的位数应高一些,该例中调节细度为不大于0.5%,使剧DAC0832即可。
5 频率合成
当然,对于单相工频电源来说,要使频率能在一定的范围内连续可调,并且有很高的稳定度,就要用到频率合成技术。所谓频率合成技术,就是将一个基准频率fo变换成一系列的新频率fl=Nfo,并且这些新频率的稳定度要与基准频率相当。根据频率稳定度及调节细度的要求来设计出相应的变频电路;对于多相工频电源来说,还有数字移相电路,这里不再累述。
本文所阐述的主要足信号发生电路在工频功率电源中的实现,其实该电路可实现任意的波形输出,而且通过配合相应的电路,可产生任意频率和相位可调的波形。该电路原理的实现具有广阔的应用前景。
射频工程师养成培训教程套装,助您快速成为一名优秀射频工程师...
天线设计工程师培训课程套装,资深专家授课,让天线设计不再难...
上一篇:基于开关电源的EMC设计
下一篇:基于TPS759XX
多片信号处理系统的电源设计
射频和天线工程师培训课程详情>>

