- 易迪拓培训,专注于微波、射频、天线设计工程师的培养
基于RC正弦波振荡电路的电子琴设计
O 引言
对于固定的简单功能的实现,模拟电路具有结构简单,实现方便,成本低廉的优点。在这方面,模拟电路得到广泛的应用。模拟电路中的RC正弦波振荡电路具有一定的选频特性,乐声中的各音阶频率也是以固定的声音频率为机理的。本文介绍基于RC正弦波振荡电路的简易电子琴设计方案。
1 基本乐理知识
音调主要由声音的频率决定,乐音(复音)的音调更复杂些,一般可认为主要由基音的频率来决定。也即一定频率的声音对应特定的乐音。在以C调为基准音的八度音阶中,所对应的频率如表1所示。如果能够通过某种电路结构产生特定频率的波形信号,再通过扬声器转换为声音信号,就能制作出简易的乐音发生器,再结合电子琴的一般结构,就可实现电子琴的制作了。

2 设计原理
2.1 RC桥式振荡电路
2.1.1 电路图
RC桥式振荡电路如图1所示。

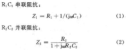
2.1.2 RC串并联选频网络
RC桥式振荡电路可以选出特定频率的信号。具体实现过程的关键是RC串并联选频网络,其理论推导如下:

可得选频特性:

即当f0=1/(2πRC)时,输出电压的幅值最大,并且输出电压是输入电压的1/3,同时输出电压与输出电压同相。通过该RC串并联选频网络,可以选出频率稳定的正弦波信号,也可通过改变R,C的取值,选出不同频率的信号。
2.2 振荡条件
2.2.1 自激振荡条件
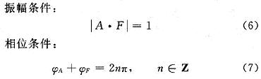
图2所示为含外加信号的正弦波振荡电路,其中A,F分别为放大器回路和反馈网络的放大系数。图2中若去掉Xi,由于反馈信号的补偿作用,仍有信号输出,如图3所示Xf=Xi,可得自激振荡电路。自激振荡必须满足以下条件:


2.2.2 起振条件
自激振荡的初始信号一般较小,为了得到较大强度的稳定波形,起振条件需满足|A·F|>1。在输出稳定频率的波形前,信号经过了选频和放大两个阶段。具体来说,是对于选定的频率进行不断放大,非选定频率的信号进行不断衰减,结果就是得到特定频率的稳定波形。
[p]3 设计方案
3.1 设计电路图
设计电路图如图4所示。

图4即是八音阶微型电子琴的原理电路图,8个开关对应着电子琴8个音阶琴键,使用时只能同时闭合一个开关。
在实际电路中,为达到起振条件AF>1,常用两个二极管与电阻并联,可实现类似于热敏电阻的功效。另外需要说明的是,理论上电路的初始信号是由环境噪声及电路本身的电压提供的。实际操作时,为使现象更明显,也可通过对电路中的电容充电来实现。
另外,电路中的运算放大器芯片LM324工作电压要求是±5 V,所以还需要用7809稳压管、整流桥等元器件制作带负电源的电源电路,同电子琴电路一块整合到电路板上,制作成可直接使用的完整成品。
3.2 参数推导

则由式(8)及起振条件|A·F|>1,可得:

所以RF1,RF2和Rf的选取应满足式(9),但实际取值时,应让RF1略小于Rf。RF2的取值也应适当,以满足式(6),实现自激振荡。
选频网络的频率推导公式为:

根据式(8)、式(10)、式(11),再结合表1的频率数据,即可确定电路中的元器件参数。需要注意的是,在确定R2内部电阻值时,应该从R21开始,逐个进行。
3.3 参考参数
根据上述方法,可得出如表2所示的参考参数。按此参数进行仿真,其la调波形如图5所示,其频率满足国际标准音C调频率440 Hz。


4 结语
采用RC正弦振荡电路制作的电子琴,相对于用单片机或CPLD等制作方法,不仅成本低廉,而且功能稳定。缺点是音色的表现并不十分理想,还需通过一定的技术手段。使发出的声音更接近电子琴的音色特点。功能拓展方面,通过增加R2中并联的电阻个数和开关数可拓展此电子琴的音阶,实现16音阶或更多音阶的电子琴,还可加入加法器,并入麦克风信号输入电路,实现卡拉OK功能。
射频工程师养成培训教程套装,助您快速成为一名优秀射频工程师...
天线设计工程师培训课程套装,资深专家授课,让天线设计不再难...
上一篇:开关式交流稳压电源的设计
下一篇:基于微带和DGS耦合的谐振器及带通滤波器设计

