- 易迪拓培训,专注于微波、射频、天线设计工程师的培养
高压逆变电源负载阻抗特性分析
录入:edatop.com 点击:
0 引言
目前,在臭氧发生器、污水处理、烟气脱硫、高功率激光、等离子体放电等技术领域,高压逆变电源正得到越来越多的应用。传统的高压逆变电源一般由工频或中频变压器直接升压或LC串联谐振获得,不可避免地存在体积大、效率低的缺点。在目前许多需要高压电源的场合,采用高频技术和软开关技术,可以有效减小高频电源体积、重量和损耗,所以高频高压逆变电源是未来发展的方向。
由于高压逆变电源的应用领域不同,负载的阻抗也会不同;另外电源在工作时负载阻抗会随温度的变化而变化,所以研究负载的变化对逆变电源输出参数的影响有着重要的意义,也是设计一个优良电源的关键。本文根据实际应用中的逆变电源,分析了负载阻抗变化的特性。
1 实际电路及其工作原理
高压逆变电源前级一般采用不控整流、全桥逆变,后级采用串联谐振软开关结构。本实验电源也是这种结构。由于电路实际中要求负载在短路时对系统影响很小,所以负载不能直接串联在后级谐振回路中,而采用负载部分接入的方式,本实验电路框图如图1所示。
其具体组成如下:1)调压器。输入220V工频电压,输出0~220V可调;2)整流:全桥整流;滤波:4个450V/470 μ F电容并联;3)逆变。全桥逆变电路,由控制电路、驱动电路、保护电路和MOS管组成的全桥开关构成;控制电路由TL494构成,可以通过改变脉冲宽度改变输出参数;开关管采用三菱的MOSFET管,极限参数为20A/1200V;4)高频变压器。采用高频升压变压器,原边线圈3股50匝,副边2股80 匝;5)谐振电容。由14个22nf、/1200V电容组成,构成谐振软开关电路,电路的设计谐振频率为100KHz;6)负载和其中四个电容并联,采用部分接入形式。此电路负载在试验测试时用可变电阻代替。
工作原理:交流电经调压器调压后,由整流滤波电路整流成直流电,全桥逆变回路将经过的直流电压转换成高频交流电,再经过高频升压变压器和串联谐振回路加到负载上,使负载工作,调节回路的谐振频率来调节输出的电流和电压。
2 负载阻抗变化特性的分析和仿真
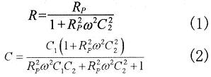
简化的逆变电源系统中谐振负载回路如图2所示,L为变压器的漏感,C1、C2为谐振电容,Rp为负载电阻。为便于分析,对于图2我们可以等效为标准的串联谐振形式,如图3所示。
等效转换后,电路中参数数值对应关系如下:
对于全桥结构的串联谐振逆变器,其输出电流与负载电阻的对应关系如式(3)所示:
其中Ude为直流母线电压,R为负载直流电阻,N1、N2分别为变压器原边和副边的匝数。B为逆变器输入电压信号基波分量与输出电流的相位差。
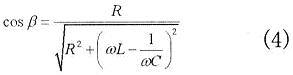
在串联谐振回路中,输出基波电压和电流的相位差β南电路的工作频率f、回路负载阻抗R、谐振电感L和电容C决定,其关系式为:
实际应用中电路工作频率约为110KHz,Ude和L都为已知量,根据上面分析的电路工作原理,把式(1)、(2)、(4)式代入式(3)可得输出电流 10和负载阻抗Rp的函数式,在Rp取值在100 Ω到10k Ω之间时,我们利用Matlab仿真得Rp与IO的变化曲线如图4所示。
已知回路的电流,可得负载Rp两端的输出电压UO
由于IO是负载Rp的函数,所以由式(5)可知U0也是Rp的函数,在Rp取值在100 Ω到10k Ω之间时,我们利用Matlab仿真得到如图5所示的Rp与U0的变化曲线。
由仿真曲线可知,在负载在一定范围变化时,电流电压基本成线性变化,以后逐渐趋于平缓,电流电压特性不再受负载阻抗变化的影响。
本文提出的试验用高压逆变电源已应用于臭氧发生器电源,放电电压、电流分别在1600V、4A左右,工作于平缓区域,电压电流在负载阻抗的变化范围内基本保持不变。该逆变电源工作稳定,并已经产品化。
3 结论
本文根据实际应用的一个逆变电源,对高压逆变电源负载变化对输出参数的影响进行了理论分析和推导;根据理论分析,对分析结果进行仿真,给出仿真波形;最后根据实际应用的逆变电源,证明了所给出理论分析、仿真的正确性。因此分析结果对逆变电源谐振回路的设计、参数选择具有实践指导价值。
编辑:博子
目前,在臭氧发生器、污水处理、烟气脱硫、高功率激光、等离子体放电等技术领域,高压逆变电源正得到越来越多的应用。传统的高压逆变电源一般由工频或中频变压器直接升压或LC串联谐振获得,不可避免地存在体积大、效率低的缺点。在目前许多需要高压电源的场合,采用高频技术和软开关技术,可以有效减小高频电源体积、重量和损耗,所以高频高压逆变电源是未来发展的方向。
由于高压逆变电源的应用领域不同,负载的阻抗也会不同;另外电源在工作时负载阻抗会随温度的变化而变化,所以研究负载的变化对逆变电源输出参数的影响有着重要的意义,也是设计一个优良电源的关键。本文根据实际应用中的逆变电源,分析了负载阻抗变化的特性。
1 实际电路及其工作原理
高压逆变电源前级一般采用不控整流、全桥逆变,后级采用串联谐振软开关结构。本实验电源也是这种结构。由于电路实际中要求负载在短路时对系统影响很小,所以负载不能直接串联在后级谐振回路中,而采用负载部分接入的方式,本实验电路框图如图1所示。
![]() |
其具体组成如下:1)调压器。输入220V工频电压,输出0~220V可调;2)整流:全桥整流;滤波:4个450V/470 μ F电容并联;3)逆变。全桥逆变电路,由控制电路、驱动电路、保护电路和MOS管组成的全桥开关构成;控制电路由TL494构成,可以通过改变脉冲宽度改变输出参数;开关管采用三菱的MOSFET管,极限参数为20A/1200V;4)高频变压器。采用高频升压变压器,原边线圈3股50匝,副边2股80 匝;5)谐振电容。由14个22nf、/1200V电容组成,构成谐振软开关电路,电路的设计谐振频率为100KHz;6)负载和其中四个电容并联,采用部分接入形式。此电路负载在试验测试时用可变电阻代替。
工作原理:交流电经调压器调压后,由整流滤波电路整流成直流电,全桥逆变回路将经过的直流电压转换成高频交流电,再经过高频升压变压器和串联谐振回路加到负载上,使负载工作,调节回路的谐振频率来调节输出的电流和电压。
2 负载阻抗变化特性的分析和仿真
简化的逆变电源系统中谐振负载回路如图2所示,L为变压器的漏感,C1、C2为谐振电容,Rp为负载电阻。为便于分析,对于图2我们可以等效为标准的串联谐振形式,如图3所示。
![]() |
等效转换后,电路中参数数值对应关系如下:
![]() |
对于全桥结构的串联谐振逆变器,其输出电流与负载电阻的对应关系如式(3)所示:
![]() |
其中Ude为直流母线电压,R为负载直流电阻,N1、N2分别为变压器原边和副边的匝数。B为逆变器输入电压信号基波分量与输出电流的相位差。
在串联谐振回路中,输出基波电压和电流的相位差β南电路的工作频率f、回路负载阻抗R、谐振电感L和电容C决定,其关系式为:
![]() |
实际应用中电路工作频率约为110KHz,Ude和L都为已知量,根据上面分析的电路工作原理,把式(1)、(2)、(4)式代入式(3)可得输出电流 10和负载阻抗Rp的函数式,在Rp取值在100 Ω到10k Ω之间时,我们利用Matlab仿真得Rp与IO的变化曲线如图4所示。
![]() |
已知回路的电流,可得负载Rp两端的输出电压UO
![]() |
由于IO是负载Rp的函数,所以由式(5)可知U0也是Rp的函数,在Rp取值在100 Ω到10k Ω之间时,我们利用Matlab仿真得到如图5所示的Rp与U0的变化曲线。
![]() |
由仿真曲线可知,在负载在一定范围变化时,电流电压基本成线性变化,以后逐渐趋于平缓,电流电压特性不再受负载阻抗变化的影响。
本文提出的试验用高压逆变电源已应用于臭氧发生器电源,放电电压、电流分别在1600V、4A左右,工作于平缓区域,电压电流在负载阻抗的变化范围内基本保持不变。该逆变电源工作稳定,并已经产品化。
3 结论
本文根据实际应用的一个逆变电源,对高压逆变电源负载变化对输出参数的影响进行了理论分析和推导;根据理论分析,对分析结果进行仿真,给出仿真波形;最后根据实际应用的逆变电源,证明了所给出理论分析、仿真的正确性。因此分析结果对逆变电源谐振回路的设计、参数选择具有实践指导价值。
编辑:博子
射频工程师养成培训教程套装,助您快速成为一名优秀射频工程师...
天线设计工程师培训课程套装,资深专家授课,让天线设计不再难...
上一篇:具有多输入选择的电源设计
下一篇:关键电源及LED照明应用的设计挑战及解决方案
射频和天线工程师培训课程详情>>









