- 易迪拓培训,专注于微波、射频、天线设计工程师的培养
三点式振荡电路能否振荡的判别方法
录入:edatop.com 点击:
0 引言
在模拟电子技术课程中,判别振荡电路能否产生振荡的步骤的是:先看直流通路,看放大器件是否工作在放大区;再看交流通路,看是台满足振荡条件。RC振荡也好,LC振荡电路也好,振荡条件为:
AF=1
此条件可分解为振幅条件和相位条件,即:
1 三点式振荡器的特点
所谓三点式振荡器,是指LC振荡器中选频网络有两个电容、一个电感或者两个电感、一个电容组成的振荡器。一般LC振荡电路在直流通路正常情况下判别能否振荡时由于振幅条件不便于判别,只看相位条件即可,只要相位条件满足,我们就说它能够振荡。振荡电路中的放大器可以是运放,也可以是由晶体管或者场效应管组成。对于由运放组成的电路,相位条件相对来说比较好判别;由晶体管或者场效应管组成的放大电路,要判别相位条件对学生来说有一定的难度。要正确判别相位条件需要先分析放大电路的组态,再看反馈信号与输出信号之间的相位差,两者判断错一个也得不到正确的结果。对此,根据多年来对模拟电子技术的讲解和对大量的振荡电路的分析,先把自己的一点总结供大家讨论。
我们知道,三点式选频网络中应该有两个电容、一个电感或者两个电感、一个电容组成,如图1所示,为方更叙述,现把选频网络中每两个电抗器件的结点给出一编号。
在分析由晶体管或者场效应管组成的三点式振荡电路时,先看直流通路,在直流通路正常的情况下,交流通路只需要观察是否满足射同基反(或者源同栅反)。下面结合具体的电路进行说明。
2 电容三点式振荡电路
如图2和图3所示,是两个电容三点式的振荡电路。我们应用射同基反判断相位条件是否满足。
先看图2,图2中晶体管的发射极接的是三点式选频网络的2端,集电极接的是1端,基极在交流通路中接地,所以基极相当于接的是3端。发射极与基极问接的单个选频器件是电容C2,发射极与集电极之间接的是电容Cl,发射极与其他两个电极之间接的是电抗性质相同的电容,所以射同已经满足;基极与发射极接的电容C2,基极与集电极之间接的单个选频器件是电感L,电感与电容是两个电抗性质相反的器件,所以基反也是满足的,图2电路支流通路正常,又满足射同基反的条件,所以是可以振荡的。
再看图3。放大器的组态虽然与图2不同,按射同基反分析仍然满足射同基反,直流通路正常,该电路也可以振荡。如果用相位条件判别也是满足的。
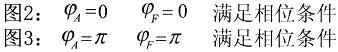
如果用相位条件来判断图2和图3中两个电路,可以得到:
注意观察图2和图3,电容二点式电路中选频网络的2端是电容与电容的结点,1和3端是电容与电感的结点,所以分析电容三点式振荡电路的相位条件时只需要看选频网络的2端是否直接或者通过一电阻与发射极(或者场效应管的源极)相连,l和3端是否直接或者通过一电阻与基极和集电极相连。图2中符去掉基极电容Cb相位条件仍然满足,电路只要振幅条件满足仍可振荡。
3 电感三点式振荡电路
图4所示是一个电感三点式的振荡电路。用同样的方法观察图中的电路发现晶体管的发射极与其他两个电极之间接的是电感,而基极与发射极之间接的是电感,与集电极之间接的是电容,满足射同基反,也就是满足相位条件,直流通路正常,在幅度条件满足的情况下可以进行正弦波振荡。用相位条件来判别可得到:
观察图4,电感三点式电路中选频网络的2端是电感与电感的结点,1和3端是电感与电容的结点,所以分析电感三点式振荡电路的相位条件时只需要看选频网络的2端是否直接或者通过一电阻与发射极(或者场效应管的源极)相连,1和3端是否直接或者通过一电阻与基极和集电极相连。这与电容三点式的振荡电路判别方法相同。
4 总结
三点式振荡电路是正弦波发生电路的一种,它与所有的正弦波振荡电路一样要遵守正弦振荡的条件,这里只是将它的相位条件变换为学生便于接受的形式。射同基反是在长期的教学中发现的规律,用它来分析三点式振荡电路能否振荡可以回避电路的组态,对学生来说判断是否满足射同基反要比判断是否满足相位条件简单得多。不足之处是这种方法目前也只由晶体管或者场效应管组成的单级三点式振荡电路适合,对其他类型的电路还需要继续探讨。
编辑:博子
在模拟电子技术课程中,判别振荡电路能否产生振荡的步骤的是:先看直流通路,看放大器件是否工作在放大区;再看交流通路,看是台满足振荡条件。RC振荡也好,LC振荡电路也好,振荡条件为:
AF=1
此条件可分解为振幅条件和相位条件,即:
![]() |
1 三点式振荡器的特点
所谓三点式振荡器,是指LC振荡器中选频网络有两个电容、一个电感或者两个电感、一个电容组成的振荡器。一般LC振荡电路在直流通路正常情况下判别能否振荡时由于振幅条件不便于判别,只看相位条件即可,只要相位条件满足,我们就说它能够振荡。振荡电路中的放大器可以是运放,也可以是由晶体管或者场效应管组成。对于由运放组成的电路,相位条件相对来说比较好判别;由晶体管或者场效应管组成的放大电路,要判别相位条件对学生来说有一定的难度。要正确判别相位条件需要先分析放大电路的组态,再看反馈信号与输出信号之间的相位差,两者判断错一个也得不到正确的结果。对此,根据多年来对模拟电子技术的讲解和对大量的振荡电路的分析,先把自己的一点总结供大家讨论。
我们知道,三点式选频网络中应该有两个电容、一个电感或者两个电感、一个电容组成,如图1所示,为方更叙述,现把选频网络中每两个电抗器件的结点给出一编号。
![]() |
在分析由晶体管或者场效应管组成的三点式振荡电路时,先看直流通路,在直流通路正常的情况下,交流通路只需要观察是否满足射同基反(或者源同栅反)。下面结合具体的电路进行说明。
2 电容三点式振荡电路
如图2和图3所示,是两个电容三点式的振荡电路。我们应用射同基反判断相位条件是否满足。
![]() |
先看图2,图2中晶体管的发射极接的是三点式选频网络的2端,集电极接的是1端,基极在交流通路中接地,所以基极相当于接的是3端。发射极与基极问接的单个选频器件是电容C2,发射极与集电极之间接的是电容Cl,发射极与其他两个电极之间接的是电抗性质相同的电容,所以射同已经满足;基极与发射极接的电容C2,基极与集电极之间接的单个选频器件是电感L,电感与电容是两个电抗性质相反的器件,所以基反也是满足的,图2电路支流通路正常,又满足射同基反的条件,所以是可以振荡的。
再看图3。放大器的组态虽然与图2不同,按射同基反分析仍然满足射同基反,直流通路正常,该电路也可以振荡。如果用相位条件判别也是满足的。
如果用相位条件来判断图2和图3中两个电路,可以得到:
![]() |
注意观察图2和图3,电容二点式电路中选频网络的2端是电容与电容的结点,1和3端是电容与电感的结点,所以分析电容三点式振荡电路的相位条件时只需要看选频网络的2端是否直接或者通过一电阻与发射极(或者场效应管的源极)相连,l和3端是否直接或者通过一电阻与基极和集电极相连。图2中符去掉基极电容Cb相位条件仍然满足,电路只要振幅条件满足仍可振荡。
3 电感三点式振荡电路
图4所示是一个电感三点式的振荡电路。用同样的方法观察图中的电路发现晶体管的发射极与其他两个电极之间接的是电感,而基极与发射极之间接的是电感,与集电极之间接的是电容,满足射同基反,也就是满足相位条件,直流通路正常,在幅度条件满足的情况下可以进行正弦波振荡。用相位条件来判别可得到:
![]() |
观察图4,电感三点式电路中选频网络的2端是电感与电感的结点,1和3端是电感与电容的结点,所以分析电感三点式振荡电路的相位条件时只需要看选频网络的2端是否直接或者通过一电阻与发射极(或者场效应管的源极)相连,1和3端是否直接或者通过一电阻与基极和集电极相连。这与电容三点式的振荡电路判别方法相同。
4 总结
三点式振荡电路是正弦波发生电路的一种,它与所有的正弦波振荡电路一样要遵守正弦振荡的条件,这里只是将它的相位条件变换为学生便于接受的形式。射同基反是在长期的教学中发现的规律,用它来分析三点式振荡电路能否振荡可以回避电路的组态,对学生来说判断是否满足射同基反要比判断是否满足相位条件简单得多。不足之处是这种方法目前也只由晶体管或者场效应管组成的单级三点式振荡电路适合,对其他类型的电路还需要继续探讨。
编辑:博子
射频工程师养成培训教程套装,助您快速成为一名优秀射频工程师...
射频和天线工程师培训课程详情>>






