- 易迪拓培训,专注于微波、射频、天线设计工程师的培养
基于DSP的全桥移相控制感应加热电源研究
录入:edatop.com 点击:
0 引言
随着感应加热电源对自动化控制程度及可靠性要求的提高,感应加热电源正向智能化与数字化控制的方向发展。DSP具有高速的数字处理能力及丰富的外设功能,使得一些先进的控制策略能够应用实践,研究基于DSP的数字控制感应加热电源,可使产品具有更加优良的稳定性及控制的实时性,并且具有简单灵活的特点。本文以TMS320F2812为核心,设计了超音频串联谐振式感应加热电源的数字化控制系统,包括数字锁相环(DPLL)、移相PWM发生与系统闭环控制等。
1 系统结构
串联谐振式感应加热电源主电路如图1所示。采用不控整流加可控逆变电源结构,负载为感应线圈(等效为电感)与补偿电容串联。逆变部分采用带锁相环的移相PWM控制。基于TMS320F2812的系统控制框图如图2所示。其中直流侧电压检测电路和电流检测电路用于系统的闭环控制;输出电流检测电路是获取负载电流频率脉冲信号,用于频率跟踪的同步信号。
2 移相PWM调功原理
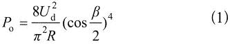
图1中由VTl和VT2的臂作为基准臂,VT3和VT4的臂作为移相臂,控制脉冲如图3所示。由图可见,其中VT1和VT2、VT3和VT4控制信号仍然保持互补相位关系,但VT3和VT4控制信号分别滞后VT1和VT2角度β,该角度在0~π范围内连续可调。改变移相臂的相位角β即可改变输出电压波形,从而改变电压基波有效值,实现桥内调压的目的。
设输入直流电压为Ud,VT4控制信号滞后VT1控制信号β角。则电路输出功率可用基波有功功率表示:
3 基于DSP控制系统的实现
1)数字锁相环与移相PWM信号的发生
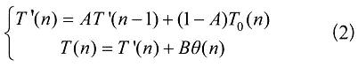
采用TMS320F2812的EV单元,结合数字锁相环基本算式,可有效实现感应加热电源的频率跟踪。数字锁相环基本算式如下:
式中,T0(n)为同步信号周期,T1(n)为二阶滤波后的结果,T(n)为频率相位修正后的结果。A为频率修正系数,B为相位修正系数。
基于TMS320F28l2实现数字锁相环(DPLL)的基本原理如图4所示。算法过程如下:
(1)设置捕获单元为上升沿捕获,当同步信号脉冲的上升沿到达到,计数器2从零开始计数,当下一个脉冲上升沿到达时,捕获计数器2的值,得到同步信号的周期值T0(n)。
[p]
(2)开放定时器1的下溢中断,当计数器l为零时即进入下溢中断,立即读取并记录此刻计数器2的值,如图4中点M,该值即为相位差θ(n),将其存入到相应寄存器中,等待程序调用。
(3)调用相关变量,基于锁相环基本算式,计算得到新的周期值T(n)。
(4)判断T(n)是否在频率限定范围之内,限幅处理后,将T(n)作为计数器1下一周期的周期值,这样在每个周期都进行调节便可实现锁相的目的。
考虑到移相PWM信号的发生,这里需设置计数器l为连续增减计数模式,所以实际载入周期寄存器的值的需再除以2。
移相PWM信号的发生原理如图5所示。设置定时/计数器1(GPl)为连续增减计数模式,设A和A′两点对应于比较单元l(CMPl),B和B′对应于比较单元2(CMP2)。比较单元1与比较单元2分别输出两路互补的脉冲信号。在GPl的下溢中断和周期匹配中断及时改变定时器比较寄存器的值,即可产生所需的移相PWM信号。
比较寄存器值的算法如下:
其中,TPR(n)为定时器l的周期值,date1和date2为两个变量值。改变datel与date2的差值,即可得到移相角可控的PWM输出。
设移相臂的滞后角度为β,则
由式(3)可知,当datel=0,date2=TPR(n)时,移相角β最大,此时移相范围为0~π,但在DSP的程序设计中datel(A点)是不能取零的,所以在这种算法下,移相角的范围与datel的最小取值有关。
结合数字锁相环与移相PWM的发生原理,可以设计出两者相结合的算法,在DSP中的算法流程图如图6所示。
2)闭环控制
本文采用闭环控制结构如图7所示。检测输出电压及电流变化,将反馈信号输入到DSP的ADC采样端口,进行模数转换,得到电压与电流的反馈值,然后通过乘法器将两者相乘,再与给定比较,功率调节器的输出控制逆变器的移相角度,使输出功率保持恒定。
因为感应加热电源系统负载的惯性比较大,即参数变化比较慢。因此,可以不考虑PID微分环节,采用PI调节,就可以满足系统的控制要求。
3)相位补偿与启动问题
由于系统在实际运行中硬件滞后的影响或是程序执行效率的影响,在没有进行相位补偿的时候,控制信号必滞后于反馈信号某一角度。在实际应用中常采用外部相位补偿电路实现输出与反馈的相位同步,同样也可以在程序中进行补偿。本文在锁相环的算法程序中添加了相位补偿环节。在相位差的计算中引入误差角θerr,令
式中θ′(n)为重新计算后的相位差,将其作为DPLL算法中的相位差即可实现输出脉冲的相位补偿。根据实验测试与计算得到准确的θerr,最终可以使输入脉冲与输出信号保持零相位差关系,这对于系统的实际运行是非常必要的。
感应加热电源在启动时,由于负载还没有电流,无法进行频率跟踪,所以必须先依靠他激信号使电源正常启动,当反馈电流达到一定幅值后再转化为自激状态。本文在系统启动时先通过DSP发生50kHz到20kHz的扫频PWM信号,然后ADC采样单元不断检测负载电流有效值反馈,设定阀值,当反馈电流有效值高于阀值时,跳出扫频程序进入到数字锁相环程序,使系统工作在自激状态,算法流程图如图8所示。
4 实验结果及结论
基于TMS320F2812编写控制系统程序,联结感应加热电源样机,进行实验与调试,得到以下实验结果。
图9所示为感应加热电源在频率跟踪与移相式闭环控制作用下,输出电压与输出电流的工作波形。此时负载电感L≈105μH,补偿电容C=0.4μF。从图中可以看出,输出电压与电流始终保持固定的相位关系,说明数字锁相环正常工作。
实验过程中,给定不变,改变负载串联电阻的大小,如图9中(a)、(b)、(c)所示,负载串联电阻分别为尺=6Ω,R=5Ω,R=4Ω,可以看出,在闭环控制的作用下,负载串联接入的电阻值变大后,输出电压的占空比即随之相应变小。图9中(d)、(e)、(f)为逆变器直流侧输入电压分别为Ud=27V、Ud=30V、Ud=34V时,输出电压与输出电流波形,从图中可以看出,在不同输入电压情况下,输出电压的占空比会发生相应变化。
实验表明,本文设计的算法是稳定有效的,实验结果符合理论分析。基于TMS320F2812构成的感应加热电源移相式闭环控制系统,可以完成对串联谐振式感应加热电源的频率跟踪与输出功率的连续可调,且具有较好的闭环控制特性。
编辑:博子
随着感应加热电源对自动化控制程度及可靠性要求的提高,感应加热电源正向智能化与数字化控制的方向发展。DSP具有高速的数字处理能力及丰富的外设功能,使得一些先进的控制策略能够应用实践,研究基于DSP的数字控制感应加热电源,可使产品具有更加优良的稳定性及控制的实时性,并且具有简单灵活的特点。本文以TMS320F2812为核心,设计了超音频串联谐振式感应加热电源的数字化控制系统,包括数字锁相环(DPLL)、移相PWM发生与系统闭环控制等。
1 系统结构
串联谐振式感应加热电源主电路如图1所示。采用不控整流加可控逆变电源结构,负载为感应线圈(等效为电感)与补偿电容串联。逆变部分采用带锁相环的移相PWM控制。基于TMS320F2812的系统控制框图如图2所示。其中直流侧电压检测电路和电流检测电路用于系统的闭环控制;输出电流检测电路是获取负载电流频率脉冲信号,用于频率跟踪的同步信号。
![]() |
![]() |
2 移相PWM调功原理
图1中由VTl和VT2的臂作为基准臂,VT3和VT4的臂作为移相臂,控制脉冲如图3所示。由图可见,其中VT1和VT2、VT3和VT4控制信号仍然保持互补相位关系,但VT3和VT4控制信号分别滞后VT1和VT2角度β,该角度在0~π范围内连续可调。改变移相臂的相位角β即可改变输出电压波形,从而改变电压基波有效值,实现桥内调压的目的。
![]() |
设输入直流电压为Ud,VT4控制信号滞后VT1控制信号β角。则电路输出功率可用基波有功功率表示:
![]() |
3 基于DSP控制系统的实现
1)数字锁相环与移相PWM信号的发生
采用TMS320F2812的EV单元,结合数字锁相环基本算式,可有效实现感应加热电源的频率跟踪。数字锁相环基本算式如下:
![]() |
式中,T0(n)为同步信号周期,T1(n)为二阶滤波后的结果,T(n)为频率相位修正后的结果。A为频率修正系数,B为相位修正系数。
基于TMS320F28l2实现数字锁相环(DPLL)的基本原理如图4所示。算法过程如下:
(1)设置捕获单元为上升沿捕获,当同步信号脉冲的上升沿到达到,计数器2从零开始计数,当下一个脉冲上升沿到达时,捕获计数器2的值,得到同步信号的周期值T0(n)。
![]() |
(3)调用相关变量,基于锁相环基本算式,计算得到新的周期值T(n)。
(4)判断T(n)是否在频率限定范围之内,限幅处理后,将T(n)作为计数器1下一周期的周期值,这样在每个周期都进行调节便可实现锁相的目的。
考虑到移相PWM信号的发生,这里需设置计数器l为连续增减计数模式,所以实际载入周期寄存器的值的需再除以2。
移相PWM信号的发生原理如图5所示。设置定时/计数器1(GPl)为连续增减计数模式,设A和A′两点对应于比较单元l(CMPl),B和B′对应于比较单元2(CMP2)。比较单元1与比较单元2分别输出两路互补的脉冲信号。在GPl的下溢中断和周期匹配中断及时改变定时器比较寄存器的值,即可产生所需的移相PWM信号。
![]() |
比较寄存器值的算法如下:
![]() |
其中,TPR(n)为定时器l的周期值,date1和date2为两个变量值。改变datel与date2的差值,即可得到移相角可控的PWM输出。
设移相臂的滞后角度为β,则
![]() |
由式(3)可知,当datel=0,date2=TPR(n)时,移相角β最大,此时移相范围为0~π,但在DSP的程序设计中datel(A点)是不能取零的,所以在这种算法下,移相角的范围与datel的最小取值有关。
结合数字锁相环与移相PWM的发生原理,可以设计出两者相结合的算法,在DSP中的算法流程图如图6所示。
![]() |
2)闭环控制
本文采用闭环控制结构如图7所示。检测输出电压及电流变化,将反馈信号输入到DSP的ADC采样端口,进行模数转换,得到电压与电流的反馈值,然后通过乘法器将两者相乘,再与给定比较,功率调节器的输出控制逆变器的移相角度,使输出功率保持恒定。
![]() |
因为感应加热电源系统负载的惯性比较大,即参数变化比较慢。因此,可以不考虑PID微分环节,采用PI调节,就可以满足系统的控制要求。
3)相位补偿与启动问题
由于系统在实际运行中硬件滞后的影响或是程序执行效率的影响,在没有进行相位补偿的时候,控制信号必滞后于反馈信号某一角度。在实际应用中常采用外部相位补偿电路实现输出与反馈的相位同步,同样也可以在程序中进行补偿。本文在锁相环的算法程序中添加了相位补偿环节。在相位差的计算中引入误差角θerr,令
式中θ′(n)为重新计算后的相位差,将其作为DPLL算法中的相位差即可实现输出脉冲的相位补偿。根据实验测试与计算得到准确的θerr,最终可以使输入脉冲与输出信号保持零相位差关系,这对于系统的实际运行是非常必要的。
感应加热电源在启动时,由于负载还没有电流,无法进行频率跟踪,所以必须先依靠他激信号使电源正常启动,当反馈电流达到一定幅值后再转化为自激状态。本文在系统启动时先通过DSP发生50kHz到20kHz的扫频PWM信号,然后ADC采样单元不断检测负载电流有效值反馈,设定阀值,当反馈电流有效值高于阀值时,跳出扫频程序进入到数字锁相环程序,使系统工作在自激状态,算法流程图如图8所示。
![]() |
4 实验结果及结论
基于TMS320F2812编写控制系统程序,联结感应加热电源样机,进行实验与调试,得到以下实验结果。
图9所示为感应加热电源在频率跟踪与移相式闭环控制作用下,输出电压与输出电流的工作波形。此时负载电感L≈105μH,补偿电容C=0.4μF。从图中可以看出,输出电压与电流始终保持固定的相位关系,说明数字锁相环正常工作。
![]() |
实验过程中,给定不变,改变负载串联电阻的大小,如图9中(a)、(b)、(c)所示,负载串联电阻分别为尺=6Ω,R=5Ω,R=4Ω,可以看出,在闭环控制的作用下,负载串联接入的电阻值变大后,输出电压的占空比即随之相应变小。图9中(d)、(e)、(f)为逆变器直流侧输入电压分别为Ud=27V、Ud=30V、Ud=34V时,输出电压与输出电流波形,从图中可以看出,在不同输入电压情况下,输出电压的占空比会发生相应变化。
实验表明,本文设计的算法是稳定有效的,实验结果符合理论分析。基于TMS320F2812构成的感应加热电源移相式闭环控制系统,可以完成对串联谐振式感应加热电源的频率跟踪与输出功率的连续可调,且具有较好的闭环控制特性。
编辑:博子
射频工程师养成培训教程套装,助您快速成为一名优秀射频工程师...
射频和天线工程师培训课程详情>>














