- 易迪拓培训,专注于微波、射频、天线设计工程师的培养
基于UCC28019的高功率因数电源
录入:edatop.com 点击:
0 引言
传统的AC/DC变换采用二极管全桥整流,输出端直接接大容量电容滤波器,造成交流电源输入电流中含有大量谐波。谐波电流对电网有严重的危害,不仅会使电网电压发生畸变,也会浪费大量的电能。随着电源绿色化概念的提出,功率因数校正得到了广泛应用。所谓功率因数校正,就是指从电路上采取措施,使交流电源输入电流实现正弦,并与输入电压保持同相。UCC28019是TI公司新近推出的一种功率因数校正芯片,该芯片采用平均电流模式对功率因数进行校正,使输入电流的跟踪误差产生的畸变小于1%,实现了接近于l的功率因数。本文介绍了UCC28019的内部结构、工作原理。在此基础上,设计了一种高功率因数电源。
l UCC28019简介
UCC28019是美国TI公司最新的有源功率因数校正(PFC)芯片。该芯片采用平均电流模式对功率因数进行校正,适用于宽范围通用交流输入,输出为100W至2kW的功率因数变换器。该芯片开关频率固定(65kHz),具有峰值电流限制、软过流保护、开环检测、输入掉电保护、输出过压/欠压保护等众多系统保护功能。
1)UCC28019引脚功能
UCC28019的引脚排列如图l所示。
各引脚功能为:
GND脚——地;
ICOMP脚——电流环路补偿,跨导电流放大器的输出端;
ISENSE脚——电感电流检测;
VINS脚——交流输入电压检测;
VCOMP脚——电压环路补偿,跨导电压误差放大器的输出端;
VSENSE脚——输出电压检测;
VCC脚——电源输入端;
GATE脚——栅极驱动输出端;
2)UCC28019的内部结构
UCC28019内部结构图如图2所示:
[p]
3)UCC28019具体有以下保护功能
(1)软启动(SS)
(2)VCC脚欠压锁定(UVLO)
(3)输入掉电保护(IBOP)
(4)输出过压保护(OVP)/输出欠压保护(UVD)
(5)开环保护/待机模式(OLP/Standby)
(6)过流保护
4)栅极驱动
栅极驱动输出按电流最优化结构设计,可以以较高的开关速度直接驱动大容量MOSFET的栅极。芯片内部的嵌位将MOSFET栅极上的电压嵌位在12.5V,外部的栅极驱动电阻RGATE限制了栅极驱动电路的寄生电感及寄生电容的上升时间,并且抑制了振铃,从而减少了电磁干扰(EMI)。
5)电流环路和电压环路
电流环路由芯片内部的平均电流放大器,PWM比较器和芯片外部的升压电感及电感电流检测电阻组成。电压环路由芯片内部的电压误差放大器,非线性增益和芯片外部的输出电压检测电阻组成。
2 系统的工作原理
图3所示的电路方框图简单地描述了采用UCC28019作为控制芯片的有源功率因数校正的工作原理。栅极驱动信号由电流放大器的输出信号和电压误差放大器的输出信号经脉冲宽度比较器调制而成。当系统处于准稳态时,有:
式中:M1为电流放大器的增益;M2为PWM波的斜坡坡度;Rsense为电感电流检测电阻;iLbst为电感平均电流;M(D)为升压变换器的电压转换比;M1、M2由电压误差放大器和芯片内部参考电压的差值决定,均可以控制输入电流的幅值,且两者的乘积满足一定关系。当系统处于准稳态时,输出电压为定值,M1、M2也为定值,故有控制环路强迫电感电流跟随输入电压波形以保持升压调节。又因为Uin为正弦波,因此,电感平均电流同样为正弦波。
3 电路主要参数设计
图4为UCC28019典型应用电路原理图。
1)开关器件的选取
开关器件的最大峰值电流IDS_PEAK(max)可通过以下公式计算:
根据输出电压的最大值及最大峰值电流,选择相应的功率场效应管。
2)输入滤波电容的选取
在允许有20%的电感电流纹波IRIPPLE和6%的高频电压纹波UIN_RIPPLE的情况下,输入滤波电容的最大值CIN由输入电流纹波IRIPPLE和输入电压纹波UIN_RIPPLE(max)决定。输入滤波电容的值可通过以下公式计算:
根据计算所得的电容值,选择相应的电容。
3)升压电感的选取
升压电感LBST在确定了电感峰值电流的最大值IL_PEAK(max)后作出选择:
升压电感的最小值根据最坏的情况(占空比为0.5)计算得出:
4)电感电流检测电阻的选取
在电感电流超过最大峰值电流25%时,ISENSE脚电压达到软过流保护阈值的最小值,RSENSE将触发软过流保护。RSENSE可通过以下公式计算:
此外,为保护芯片免受冲击电流的冲击,在ISENSE脚处串联一个阻值为220Ω的电阻。
5)输出电容的选取
输出电容COUT通过满足转换器的延迟要求来计算。在一个线性周期内,tHOLDUP=l/fLINE(min),电容的最小值可通过以下公式计算:
6)电压反馈电阻的选取
为降低功耗并使电压设置误差达到最小,使用1MΩ作为电压反馈顶部的分压电阻RFB1,通过内部5V的参考电压URR选取底部的分压电阻RFB2以满足输出电压的设计指标:
根据计算所得的输出电容最小值,选择相应的电解电容。
4 设计实例及实验结果
在分析了UCC28019工作原理及主要参数设计的基础上,设计了一种高功率因数电源,该电源输入为交流220V,输出为直流360V,功率为500W。
交流电源输入端的电压和电流波形如图5所示:
使用钳型表测得该电源的功率因数为0.991。实验测得的波形和数据表明系统正常工作后,谐波含量基本消除,输入电流波形与输入电压波形保持一致。
5 结束语
基于UCC28019设计的高功率因数电源具有功率因数高、谐波含量低的优点。同时,该芯片具有应用简单,保护功能强大,驱动能力强,调试简单等优点,是一种非常优秀的功率因数校正芯片。
发布者:博子
传统的AC/DC变换采用二极管全桥整流,输出端直接接大容量电容滤波器,造成交流电源输入电流中含有大量谐波。谐波电流对电网有严重的危害,不仅会使电网电压发生畸变,也会浪费大量的电能。随着电源绿色化概念的提出,功率因数校正得到了广泛应用。所谓功率因数校正,就是指从电路上采取措施,使交流电源输入电流实现正弦,并与输入电压保持同相。UCC28019是TI公司新近推出的一种功率因数校正芯片,该芯片采用平均电流模式对功率因数进行校正,使输入电流的跟踪误差产生的畸变小于1%,实现了接近于l的功率因数。本文介绍了UCC28019的内部结构、工作原理。在此基础上,设计了一种高功率因数电源。
l UCC28019简介
UCC28019是美国TI公司最新的有源功率因数校正(PFC)芯片。该芯片采用平均电流模式对功率因数进行校正,适用于宽范围通用交流输入,输出为100W至2kW的功率因数变换器。该芯片开关频率固定(65kHz),具有峰值电流限制、软过流保护、开环检测、输入掉电保护、输出过压/欠压保护等众多系统保护功能。
1)UCC28019引脚功能
UCC28019的引脚排列如图l所示。
![]() |
GND脚——地;
ICOMP脚——电流环路补偿,跨导电流放大器的输出端;
ISENSE脚——电感电流检测;
VINS脚——交流输入电压检测;
VCOMP脚——电压环路补偿,跨导电压误差放大器的输出端;
VSENSE脚——输出电压检测;
VCC脚——电源输入端;
GATE脚——栅极驱动输出端;
2)UCC28019的内部结构
UCC28019内部结构图如图2所示:
![]() |
(1)软启动(SS)
(2)VCC脚欠压锁定(UVLO)
(3)输入掉电保护(IBOP)
(4)输出过压保护(OVP)/输出欠压保护(UVD)
(5)开环保护/待机模式(OLP/Standby)
(6)过流保护
4)栅极驱动
栅极驱动输出按电流最优化结构设计,可以以较高的开关速度直接驱动大容量MOSFET的栅极。芯片内部的嵌位将MOSFET栅极上的电压嵌位在12.5V,外部的栅极驱动电阻RGATE限制了栅极驱动电路的寄生电感及寄生电容的上升时间,并且抑制了振铃,从而减少了电磁干扰(EMI)。
5)电流环路和电压环路
电流环路由芯片内部的平均电流放大器,PWM比较器和芯片外部的升压电感及电感电流检测电阻组成。电压环路由芯片内部的电压误差放大器,非线性增益和芯片外部的输出电压检测电阻组成。
2 系统的工作原理
图3所示的电路方框图简单地描述了采用UCC28019作为控制芯片的有源功率因数校正的工作原理。栅极驱动信号由电流放大器的输出信号和电压误差放大器的输出信号经脉冲宽度比较器调制而成。当系统处于准稳态时,有:
![]() |
式中:M1为电流放大器的增益;M2为PWM波的斜坡坡度;Rsense为电感电流检测电阻;iLbst为电感平均电流;M(D)为升压变换器的电压转换比;M1、M2由电压误差放大器和芯片内部参考电压的差值决定,均可以控制输入电流的幅值,且两者的乘积满足一定关系。当系统处于准稳态时,输出电压为定值,M1、M2也为定值,故有控制环路强迫电感电流跟随输入电压波形以保持升压调节。又因为Uin为正弦波,因此,电感平均电流同样为正弦波。
![]() |
3 电路主要参数设计
图4为UCC28019典型应用电路原理图。
![]() |
1)开关器件的选取
开关器件的最大峰值电流IDS_PEAK(max)可通过以下公式计算:
![]() |
根据输出电压的最大值及最大峰值电流,选择相应的功率场效应管。
2)输入滤波电容的选取
在允许有20%的电感电流纹波IRIPPLE和6%的高频电压纹波UIN_RIPPLE的情况下,输入滤波电容的最大值CIN由输入电流纹波IRIPPLE和输入电压纹波UIN_RIPPLE(max)决定。输入滤波电容的值可通过以下公式计算:
![]() |
根据计算所得的电容值,选择相应的电容。
3)升压电感的选取
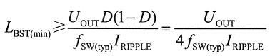
升压电感LBST在确定了电感峰值电流的最大值IL_PEAK(max)后作出选择:
![]() |
升压电感的最小值根据最坏的情况(占空比为0.5)计算得出:
![]() |
4)电感电流检测电阻的选取
在电感电流超过最大峰值电流25%时,ISENSE脚电压达到软过流保护阈值的最小值,RSENSE将触发软过流保护。RSENSE可通过以下公式计算:
![]() |
此外,为保护芯片免受冲击电流的冲击,在ISENSE脚处串联一个阻值为220Ω的电阻。
5)输出电容的选取
输出电容COUT通过满足转换器的延迟要求来计算。在一个线性周期内,tHOLDUP=l/fLINE(min),电容的最小值可通过以下公式计算:
![]() |
6)电压反馈电阻的选取
为降低功耗并使电压设置误差达到最小,使用1MΩ作为电压反馈顶部的分压电阻RFB1,通过内部5V的参考电压URR选取底部的分压电阻RFB2以满足输出电压的设计指标:
![]() |
根据计算所得的输出电容最小值,选择相应的电解电容。
4 设计实例及实验结果
在分析了UCC28019工作原理及主要参数设计的基础上,设计了一种高功率因数电源,该电源输入为交流220V,输出为直流360V,功率为500W。
交流电源输入端的电压和电流波形如图5所示:
![]() |
使用钳型表测得该电源的功率因数为0.991。实验测得的波形和数据表明系统正常工作后,谐波含量基本消除,输入电流波形与输入电压波形保持一致。
5 结束语
基于UCC28019设计的高功率因数电源具有功率因数高、谐波含量低的优点。同时,该芯片具有应用简单,保护功能强大,驱动能力强,调试简单等优点,是一种非常优秀的功率因数校正芯片。
发布者:博子
射频工程师养成培训教程套装,助您快速成为一名优秀射频工程师...
天线设计工程师培训课程套装,资深专家授课,让天线设计不再难...
上一篇:传感器的信号路径
下一篇:如何减少变压器对放大器的干扰
射频和天线工程师培训课程详情>>














