- 易迪拓培训,专注于微波、射频、天线设计工程师的培养
基于单片机的脑波治疗仪的软件设计研究
录入:edatop.com 点击:
O 引言
依据现代脑电生理神经心理学的研究,脑波活动依据特定波长主要分为四组模式:β、α、θ、δ,脑波活动的某一模式与特定的精神状态相关联。脑波治疗仪是新型的医疗仪器,它依据脑波同步及脑波频率引导原理,采用生物信息模拟技术,用电脑模拟各种频率的脑电波,并调制成脑波音乐信号反馈给使用者,影响调节人体的脑电活动水平及兴奋水平,使大脑经常处于特定的脑波状态。目前常用的脑波软件产生方法有调用函数算法生成和模拟DSS采样输出的方法,本文采用基于普通单片机的模拟DSS采样输出的方法对系统进行设计。
1 系统硬件介绍
如图1所示,系统由单片机,程序存储器,数模转换器,放大滤波电路,立体声耳机,节目指示灯,节目时间显示器、按键等构成。系统可分为按键电路,脑波音乐产生电路,节目时间、节目指示灯显示电路这三个模块。
2 系统软件介绍
软件主要由以下几部分组成:键盘检测、控制部分,脑波音乐节目产生部分,节目时间、节目指示灯显示部分。
2.1 系统软件流程
图2是系统总流程图。设备上电后,单片机进行系统初始化,包括对I/O端口及各种功能寄存器、外部设备进行初始化,然后等待功能中断子程序。这里键盘子程序调用了外部中断,调用了定时器/计数器中断。当检测到有键盘中断后先去抖动,然后读取键值并转到相应功能子程序。脑波音乐产生子程序在开始键按下后被触发,它将调用各定时器完成脑波声光的产生。在节目开始的同时,节目时间显示子程序将对时间进行显示。以下就设计中的一些重点进行分析。
图1的模块2为脑波音乐节目产生部分的硬件电路。脑波声光节目产生软件部分主要由两个部分组成:单声道脑波音乐的生成,双声道音乐的生成。
[p]
2.2.1 单声道脑波音乐的生成
因为治疗波的频率多处在人耳听觉范围之外,所以用带有治疗波频率的调幅信号来给大脑传递治疗信号,即用治疗频率的正弦波来对一定频率的载波进行幅度调制来产生音乐,所以脑波音乐设计的重点就是调幅波的产生。设计中没有调用正弦函数直接产生正弦波数据,而是先对正弦波进行采样得到正弦波数据,然后将数据固化在ROM中。因为系统采用8位单片机,一个字节存储最大数为255,所以对采样值的范围选为0~255。
下面对调幅波的产生、调节进行分别介绍:
(1)调幅波的产生
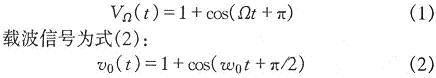
因为单片机无法输出负数,所以本设计的中调制信号为式(1):
载波频率即脑波音乐的音调,将音调调整到人耳敏感的范围,会使治疗效果更加明显。人们可以听到的声振动频率范围为20Hz~20kHz,设计要求频率调节范围为90Hz~800Hz。载波频率计算如式(5):
fw0=1/nT (5)
载波的频率由载波的采样点点数n和取点时间间隔T决定。通过改变采样点点数来调节需要大量的采样点,同时由于取点数量的改变必然带来较大的相位截断误差。本设计通过改变T来调节频率,这样保证了采样点不漏取,同时采样点点数不用取太多。调频过程中,首先计算所需频率对应的时间T,然后将其赋给取点时间间隔参数,这样载波就被跳到所需频率。
(3)调幅波的调制信号频率调节
在设计中,调幅波的调制信号即脑波音乐的包络,它确定了脑波音乐的特征(尤其是治疗的内容)。调制波的频率调节是在一定的脑波频率范围内(1Hz~30Hz)变化,其频率随时间变化的时间、频率参数已经固化在ROM中,不能任意调节。调制信号频率调节与载波频率调节的原理相同,可以参考公式5。本设计中调制信号随时间的频率变化参数已经换算成时间参数,程序运行时采用查表方式调用该时间参数来改变调制信号的频率。
(4)脑波音乐强度的调节
将脑波音乐信号vAM作为DA2的参考电压Vref,单片机的强度参数PW做为DA2的输入信号。DAl和DA2采用DAC0832,因为在设计中DAC都采用单极性反向电压输出方式,所以DA2的输出如式(6):
2.2.2 双声道音乐的生成
如图4,模拟开关的输入口A2、B1接低电平,Al、B2同时接入脑波音乐信号,单片机通过对控制口l、2来控制两路开关的通断。当使左右两路的开关都始终打开就会产生左右两路同步输出;当单片机以与调制信号相同的频率控制模拟开关交替开、关就会产生左右两路信号交替输出。这两路输出信号经过放大滤波电路输出至耳机,这种交替/同步的立体声作用到人脑将引导大脑起到双脑同步的有效治疗效果。图5就是采集到的左右交替输出的信号。
节目时间显示部分是由单片机调用内部定时器进行分钟计时,输出时间信号到LED数码管进行显示。节目时间在开机时显示0,在运行过程中,当节目时间到了预定时间将调用报警子程序发出报警声,并将节目结束标志置位。节目指示灯显示是在节目选择子程序中由单片机控制节目指示发光二极管灯的亮灭,指示当前输出哪个节目。
3 结果分析
通过实验观察及示波器测量,设备能输出有效频率的脑波音乐,满足预计的参数设置,波形无明显失真。图5是采集到的的波形。
但是实际输出波形还是有一些误差,其主要来自:①由于内部波形存储器中存储的正弦幅度值是用二进制表示的,对于越过存储器字长的正弦幅度值必须进行量化处理,这样就引入了量化误差。幅度量化主要有两种方式,即舍入量化和截尾量化,这里采用截尾量化方式。②DAC非理想转换特性所引起的杂散水平,DAC的非理想特性包括:DAC的有限分辨位数;差分、积分的非线性;D/A转换过程中的瞬间毛刺;时钟泄露;数字噪声馈通;转换速率受限等。③调制信号频率调节过程中正弦波的各采样点会有漏取点的情况发生,这样就不可避免地产生相位截断误差。
针对以上问题,提出一些改进的方法:①应用更高位数的单片机和高性能的数模转换器。②增大ROM容量及采样点数,提高幅度分辨率。
依据现代脑电生理神经心理学的研究,脑波活动依据特定波长主要分为四组模式:β、α、θ、δ,脑波活动的某一模式与特定的精神状态相关联。脑波治疗仪是新型的医疗仪器,它依据脑波同步及脑波频率引导原理,采用生物信息模拟技术,用电脑模拟各种频率的脑电波,并调制成脑波音乐信号反馈给使用者,影响调节人体的脑电活动水平及兴奋水平,使大脑经常处于特定的脑波状态。目前常用的脑波软件产生方法有调用函数算法生成和模拟DSS采样输出的方法,本文采用基于普通单片机的模拟DSS采样输出的方法对系统进行设计。
1 系统硬件介绍
如图1所示,系统由单片机,程序存储器,数模转换器,放大滤波电路,立体声耳机,节目指示灯,节目时间显示器、按键等构成。系统可分为按键电路,脑波音乐产生电路,节目时间、节目指示灯显示电路这三个模块。

2 系统软件介绍
软件主要由以下几部分组成:键盘检测、控制部分,脑波音乐节目产生部分,节目时间、节目指示灯显示部分。
2.1 系统软件流程
图2是系统总流程图。设备上电后,单片机进行系统初始化,包括对I/O端口及各种功能寄存器、外部设备进行初始化,然后等待功能中断子程序。这里键盘子程序调用了外部中断,调用了定时器/计数器中断。当检测到有键盘中断后先去抖动,然后读取键值并转到相应功能子程序。脑波音乐产生子程序在开始键按下后被触发,它将调用各定时器完成脑波声光的产生。在节目开始的同时,节目时间显示子程序将对时间进行显示。以下就设计中的一些重点进行分析。

图1的模块2为脑波音乐节目产生部分的硬件电路。脑波声光节目产生软件部分主要由两个部分组成:单声道脑波音乐的生成,双声道音乐的生成。
[p]
2.2.1 单声道脑波音乐的生成
因为治疗波的频率多处在人耳听觉范围之外,所以用带有治疗波频率的调幅信号来给大脑传递治疗信号,即用治疗频率的正弦波来对一定频率的载波进行幅度调制来产生音乐,所以脑波音乐设计的重点就是调幅波的产生。设计中没有调用正弦函数直接产生正弦波数据,而是先对正弦波进行采样得到正弦波数据,然后将数据固化在ROM中。因为系统采用8位单片机,一个字节存储最大数为255,所以对采样值的范围选为0~255。
下面对调幅波的产生、调节进行分别介绍:
(1)调幅波的产生
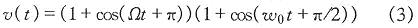
因为单片机无法输出负数,所以本设计的中调制信号为式(1):

![]()
![]()

载波频率即脑波音乐的音调,将音调调整到人耳敏感的范围,会使治疗效果更加明显。人们可以听到的声振动频率范围为20Hz~20kHz,设计要求频率调节范围为90Hz~800Hz。载波频率计算如式(5):
fw0=1/nT (5)
载波的频率由载波的采样点点数n和取点时间间隔T决定。通过改变采样点点数来调节需要大量的采样点,同时由于取点数量的改变必然带来较大的相位截断误差。本设计通过改变T来调节频率,这样保证了采样点不漏取,同时采样点点数不用取太多。调频过程中,首先计算所需频率对应的时间T,然后将其赋给取点时间间隔参数,这样载波就被跳到所需频率。
(3)调幅波的调制信号频率调节
在设计中,调幅波的调制信号即脑波音乐的包络,它确定了脑波音乐的特征(尤其是治疗的内容)。调制波的频率调节是在一定的脑波频率范围内(1Hz~30Hz)变化,其频率随时间变化的时间、频率参数已经固化在ROM中,不能任意调节。调制信号频率调节与载波频率调节的原理相同,可以参考公式5。本设计中调制信号随时间的频率变化参数已经换算成时间参数,程序运行时采用查表方式调用该时间参数来改变调制信号的频率。
(4)脑波音乐强度的调节
将脑波音乐信号vAM作为DA2的参考电压Vref,单片机的强度参数PW做为DA2的输入信号。DAl和DA2采用DAC0832,因为在设计中DAC都采用单极性反向电压输出方式,所以DA2的输出如式(6):

[p]
2.2.2 双声道音乐的生成
如图4,模拟开关的输入口A2、B1接低电平,Al、B2同时接入脑波音乐信号,单片机通过对控制口l、2来控制两路开关的通断。当使左右两路的开关都始终打开就会产生左右两路同步输出;当单片机以与调制信号相同的频率控制模拟开关交替开、关就会产生左右两路信号交替输出。这两路输出信号经过放大滤波电路输出至耳机,这种交替/同步的立体声作用到人脑将引导大脑起到双脑同步的有效治疗效果。图5就是采集到的左右交替输出的信号。


节目时间显示部分是由单片机调用内部定时器进行分钟计时,输出时间信号到LED数码管进行显示。节目时间在开机时显示0,在运行过程中,当节目时间到了预定时间将调用报警子程序发出报警声,并将节目结束标志置位。节目指示灯显示是在节目选择子程序中由单片机控制节目指示发光二极管灯的亮灭,指示当前输出哪个节目。
3 结果分析
通过实验观察及示波器测量,设备能输出有效频率的脑波音乐,满足预计的参数设置,波形无明显失真。图5是采集到的的波形。
但是实际输出波形还是有一些误差,其主要来自:①由于内部波形存储器中存储的正弦幅度值是用二进制表示的,对于越过存储器字长的正弦幅度值必须进行量化处理,这样就引入了量化误差。幅度量化主要有两种方式,即舍入量化和截尾量化,这里采用截尾量化方式。②DAC非理想转换特性所引起的杂散水平,DAC的非理想特性包括:DAC的有限分辨位数;差分、积分的非线性;D/A转换过程中的瞬间毛刺;时钟泄露;数字噪声馈通;转换速率受限等。③调制信号频率调节过程中正弦波的各采样点会有漏取点的情况发生,这样就不可避免地产生相位截断误差。
针对以上问题,提出一些改进的方法:①应用更高位数的单片机和高性能的数模转换器。②增大ROM容量及采样点数,提高幅度分辨率。
射频工程师养成培训教程套装,助您快速成为一名优秀射频工程师...
天线设计工程师培训课程套装,资深专家授课,让天线设计不再难...
上一篇:触摸屏设计日益简化
下一篇:精密幅度稳定的低失真正弦波振荡器
射频和天线工程师培训课程详情>>

