- 易迪拓培训,专注于微波、射频、天线设计工程师的培养
基于瞬时无功功率理论的改进型有源电力滤波器的数字化研究
录入:edatop.com 点击:
0 引言
随着现代工业生产和日常生活中的非线性负载以及电力电子装置的广泛应用(如变频电器、大型整流装置等),随之而来的谐波问题也日益严重。这些非线性负载不仅引起电网波形畸变,影响供电质量,同时也对各种电气设备以及通信系统均产生不利的影响。因此,抑制电力系统谐波的技术已经成为国内外电力电子和电工领域研究热点之一。
当前抑制电网谐波的手段有无源滤波和有源滤波两种。与无源电力滤波器相比,有源电力滤波器(APF)具有明显的优越性。它具有对变化的各次谐波和无功电流同时进行跟踪补偿,补偿特性受电网阻抗和频率变化的影响较小等特点,因而受到了更多的关注。
l APF工作原理和结构模型
有源电力滤波器工作时,向电网注入与原有谐波和无功电流大小相等但方向相反的补偿电流,使电网的总谐波和无功电流为零,从而达到净化电网的目的。APF按补偿对像的连接方式分为并联型和串联型。按补偿方式的不同,分为电压型和电流型。本文研究的是一种并联型电压型有源电力滤波器及控制策略,其控制框图如图1所示。
2 APF谐波电流检测和电压补偿技术
1)谐波电流检测的改进算法
谐波电流检测方法主要有:模拟带通滤波器检测法、快速傅立叶变换FFT检测法、基于瞬时无功功率理论的检测法等。基于瞬时无功功率理论的检测方法是当前最常用的。瞬时无功功率理论的检测算法有p—q法和ip一iq法。本文将在分析这些方法的基础上,提出一种改进算法。
电网运行时,三相电压由于外界因素通常会不对称且有畸变,因此用p—q法检测谐波电流有误差存在。ip一iq法则对硬件要求较高,要求锁相环产生的正弦和余弦信号准确无误,锁相环的锁相结果受到负序分量的影响而与正序分量之间存在相差而使检测结果存在着系统误差,不对称越严重、误差越大。分析p—q法与ip一iq法后不难发现,p—q法是通过同时对电压和电流进行变换,低通滤波后反变换得到的谐波和无功电流分量;而ip一iq法则是通过提取电压基波分量的频率和相位信息对电流进行运算变换和低通滤波得到谐波和无功电流分量的。由于电网中电压和电流频率为50Hz且波动非常小,在变换中如果将频率固定并将电压和电流的相位差提取出来,将仍然能够得到相同的效果。
根据文献推导可知,在经过3—2变换运算后得到在α-β坐标系下的电流电压信息:
[p] 2)电压补偿控制的设计
APF的核心之一是补偿控制电路,它通过产生驱动脉冲控制开关器件IGBT,实现对谐波与无功电流的补偿。目前主要采用的控制方法有:滞环电流控制方法、电流跟踪控制方法、空间电压矢量PWM控制、无差拍控制及预测控制等,本文将采用空间电压矢量PWM技术的APF补偿方法。详细设计可参考文献。
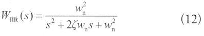
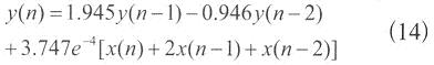
3 数字低通滤波器的设计
从上文可知,低通滤波环节在谐波检测中是非常重要的一环,滤波器的效果直接影响到谐波检测的精度。根据文献,在谐波电流的检测电路中,一般采用二阶或三阶Butterworth低通滤波器,此时LPF的滤波效果和滤波时动态响应时间能够实现最优配置。在传统的瞬时无功功率中,低通滤波器采用硬件电路模拟,但模拟滤波器的硬件结构设计复杂,调试困难,同时在以数字处理为核心的控制系统中设计不方便,故本文设计了一个无限冲击响应(IIR)型二阶低通数字滤波器,达到有源电力滤波器的数字控制需求。其传递函数表达式为
根据数字信号处理IIR双线性变换法则,通过采用(13)式将LPF传递函数从S域转换到实域
由此可以推导出低通滤波器的实域表达式
在上述理论分析研究的基础上,本文采用Psim电力系统仿真软件对谐波治理装置进行仿真实验。在仿真结构中自行设计了瞬时无功功率计算模块和数字低通滤波模块。
图4是谐波治理装置的硬件仿真结构图,其仿真参数设置如下:系统电源电压
非线性负载采用三相全控整流桥(产生5次、7次谐波),电感L=1mH,电阻R=5Ω,交流侧电感L=1mH,直流侧电容C=3300μF,电容电压初始值Udc=400V。另在APF补偿侧设计了一个LC滤波器,电容C=1μF,电阻R=0.1Ω。图5是经过变换计算后得到有功电流和无功电流,经过本文设计的数字低通滤波器得到图6中有功和无功电流直流分量的波形,从波形看数字低通滤波器滤除高次含量的谐波作用明显。图7是有源滤波器的仿真结果,从图中可以看出,瞬时无功功率的改进型算法可以准确的计算出系统中含有的谐波电流ic,补偿输出电流i*c和谐波检测电流的波形基本一致,说明有源滤状器补偿的准确性,补偿电路的直流侧电压环节在系统稳定工作状态时处于平衡状态,从电网电流波形isa看出,补偿后波形接近正弦波,补偿效果理想。
随着现代工业生产和日常生活中的非线性负载以及电力电子装置的广泛应用(如变频电器、大型整流装置等),随之而来的谐波问题也日益严重。这些非线性负载不仅引起电网波形畸变,影响供电质量,同时也对各种电气设备以及通信系统均产生不利的影响。因此,抑制电力系统谐波的技术已经成为国内外电力电子和电工领域研究热点之一。
当前抑制电网谐波的手段有无源滤波和有源滤波两种。与无源电力滤波器相比,有源电力滤波器(APF)具有明显的优越性。它具有对变化的各次谐波和无功电流同时进行跟踪补偿,补偿特性受电网阻抗和频率变化的影响较小等特点,因而受到了更多的关注。
l APF工作原理和结构模型
有源电力滤波器工作时,向电网注入与原有谐波和无功电流大小相等但方向相反的补偿电流,使电网的总谐波和无功电流为零,从而达到净化电网的目的。APF按补偿对像的连接方式分为并联型和串联型。按补偿方式的不同,分为电压型和电流型。本文研究的是一种并联型电压型有源电力滤波器及控制策略,其控制框图如图1所示。

2 APF谐波电流检测和电压补偿技术
1)谐波电流检测的改进算法
谐波电流检测方法主要有:模拟带通滤波器检测法、快速傅立叶变换FFT检测法、基于瞬时无功功率理论的检测法等。基于瞬时无功功率理论的检测方法是当前最常用的。瞬时无功功率理论的检测算法有p—q法和ip一iq法。本文将在分析这些方法的基础上,提出一种改进算法。
电网运行时,三相电压由于外界因素通常会不对称且有畸变,因此用p—q法检测谐波电流有误差存在。ip一iq法则对硬件要求较高,要求锁相环产生的正弦和余弦信号准确无误,锁相环的锁相结果受到负序分量的影响而与正序分量之间存在相差而使检测结果存在着系统误差,不对称越严重、误差越大。分析p—q法与ip一iq法后不难发现,p—q法是通过同时对电压和电流进行变换,低通滤波后反变换得到的谐波和无功电流分量;而ip一iq法则是通过提取电压基波分量的频率和相位信息对电流进行运算变换和低通滤波得到谐波和无功电流分量的。由于电网中电压和电流频率为50Hz且波动非常小,在变换中如果将频率固定并将电压和电流的相位差提取出来,将仍然能够得到相同的效果。
根据文献推导可知,在经过3—2变换运算后得到在α-β坐标系下的电流电压信息:



[p] 2)电压补偿控制的设计
APF的核心之一是补偿控制电路,它通过产生驱动脉冲控制开关器件IGBT,实现对谐波与无功电流的补偿。目前主要采用的控制方法有:滞环电流控制方法、电流跟踪控制方法、空间电压矢量PWM控制、无差拍控制及预测控制等,本文将采用空间电压矢量PWM技术的APF补偿方法。详细设计可参考文献。
3 数字低通滤波器的设计
从上文可知,低通滤波环节在谐波检测中是非常重要的一环,滤波器的效果直接影响到谐波检测的精度。根据文献,在谐波电流的检测电路中,一般采用二阶或三阶Butterworth低通滤波器,此时LPF的滤波效果和滤波时动态响应时间能够实现最优配置。在传统的瞬时无功功率中,低通滤波器采用硬件电路模拟,但模拟滤波器的硬件结构设计复杂,调试困难,同时在以数字处理为核心的控制系统中设计不方便,故本文设计了一个无限冲击响应(IIR)型二阶低通数字滤波器,达到有源电力滤波器的数字控制需求。其传递函数表达式为

根据数字信号处理IIR双线性变换法则,通过采用(13)式将LPF传递函数从S域转换到实域

由此可以推导出低通滤波器的实域表达式 

在上述理论分析研究的基础上,本文采用Psim电力系统仿真软件对谐波治理装置进行仿真实验。在仿真结构中自行设计了瞬时无功功率计算模块和数字低通滤波模块。
图4是谐波治理装置的硬件仿真结构图,其仿真参数设置如下:系统电源电压




5 结束语
本文叙述了有源电力滤波器的工作原理,提出了谐波电流检测的新方法,并将该方法进行数字化设计论证。根据该方法搭建APF模型,针对三相三线制电力系统进行了仿真研究。仿真结果表明,电流检测环节能准确及时地检测出非线性负载引起的畸变电流;同时三维空间矢量法可以通过精确计算,有效地对谐波电流和无功功率进行补偿,该方法可以为将来的工程实际应用提供参考设计。
射频工程师养成培训教程套装,助您快速成为一名优秀射频工程师...
天线设计工程师培训课程套装,资深专家授课,让天线设计不再难...
上一篇:DVD
机屏显、操作电路故障检修技巧与实例
下一篇:一种基于单片机的心肺复苏系统
射频和天线工程师培训课程详情>>

