- 易迪拓培训,专注于微波、射频、天线设计工程师的培养
无源无损软开关功率因数校正电路的研制
录入:edatop.com 点击:
1 引言
在开关电源中引入功率因数校正PFC(Power FactorCorrection)技术,一方面使电源输入电流与输入电压波形同相,即使功率因数趋于1;另一方面使输入电流为正弦波,即使总谐波畸变值尽量小。目前工程应用中,传统有源功率因数校正电路主要有硬开关Boost校正、有源软开关校正、无源无损软开关校正以及新型无桥模式校正。其中,无源无损软开关功率因数校正电路所用元器件数量少,电路结构简单,电路工作稳定性好,开关管的电流应力小,效率较高,控制电路简单,成本较低。所以本设计采用无源无损软开关功率因数校正电路,图1为其电路原理图。
功率级电路采用无源无损软开关功率因数校正电路,工作频率设定为60 kHz。设计的主要技术指标:输入170~270 V的交流电压、50 Hz;输出400 V的直流电压,电压纹波小于10 V:输出功率1 kW;功率因数不小于0.98;效率不低于95%。
2.1 主电路升压电感的设计
在PFC电路中,磁性元件对电路性能的影响较大,而其设计涉及很多因素。下面主要介绍主电路升压电感的设计。
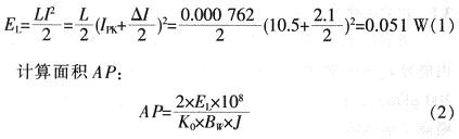
目前适合在高频条件下工作的APFC电感的磁心材料且价格适中的是铁硅铝磁粉心,其优点是:饱和磁通密度极高,在强磁场条件下,即工作在大电流时,磁心不易饱和;制作APFC电感,不用开气隙,不会对电路产生电磁干扰(EMI);由于其直流偏磁动态线性好,通过计算可精确控制在额定电流时的电感值,恰当的选择磁心尺寸和线圈匝数,可降低磁芯损耗。根据样机设计的技术指标,选用铁硅铝磁心。磁心的规格主要由功率、工作频率、输出电压电流等参数决定。要确定磁心的规格,先要计算电感量等参数。有多种方法可计算PFC电路的Boost升压电感,这里采用两种方法综合分析确定电感量的值,常用方法和按纹波比例要求计算电感,最后计算出电感量为1.5 mH。采用AP法确定磁心的规格,电感器可储能量:
代入以上数据计算得:AP=12.75 cm4,选用Arnold公司型号为MS-184060-2的两个磁环叠用。此时,AP=17 cm4>12.75 cm4。电感线径计算如下:
计算裸线面积:
电感匝数计算:
通过对电感量、铁损和铜损的校验,各电感参数均满足设计要求。
2.2 主电路其他部件的设计
选择功率开关管要考虑功率器件的开关速度和驱动电路的简洁及性价比。根据其电流、电压应力的大小选择型号。在该电路中,主功率开关管所承受的电压应力为输出电压400V,电流应力为谐振电感电流峰值11.55 A,取1倍裕量,因此选择500 V/30 A的MOSFET即可满足要求。该设计功率开关管选用SPW47N60C3。输出二极管主要从开关速度、电压应力、电流应力等参数来选取。该设计选用IXYS的DSEI60-06(600 V/60 A)。考虑到电流电压裕量,输入整流桥选D35XB60(35A/600 V)。
3 PFC控制级电路设计
以PFC专用控制器件UC3854BN为控制核心,PFC控制及电路如图2所示。
在该电路中,设定振荡器的工作频率为60 kHz。该频率由电容CT和电阻RSET(R36)决定,已有RSET=16 kΩ,CT可取300 pF/63 V(C57)与1 000 pF/63 V(C42)并联,此时工作频率略高于60 kHz。
3.2 电流误差放大器和电压误差放大器设计
为使平均电流控制型电路稳定工作,必须使PWM比较器的两个输入信号的斜率满足:电感电流在取样电阻所产生压降的斜率不能超过锯齿波的上升斜率,否则PWM比较器将不能正常工作,此要求限定了电流放大器在开关频率处增益的上限。对于电压误差放大器,其设计应确定输出电容上的纹波电压,要合理分配谐波源的比例。
3.3 驱动电路设计
根据实际驱动电路的设计值,开关管工作在60 kHz时,其所需要的驱动脉冲上升时间约为110 ns,所选MOSFET输入电容Ciss=6 800 pF。由于UC3854BN栅极连续驱动电流为0.5 A,在50%占空比时栅极驱动电流为1.5 A,因此在大功率的PFC应用中,UC3854BN自身的驱动能力不足,开关管导通时di/dt比较小,增大了开关管的导通损耗,故在开关管前增加一片功率MOSFET驱动器TC4424。考虑驱动电流较大,采用TC4424的两个通道并联,可提供3 A的驱动能力,如图3所示。
4 结论
综上所述,完成一台1 kW样机。图4为输入电压、电流波形。负载为全载时,加载、减载时输出电压变化曲线分别如图5、图6所示。
在开关电源中引入功率因数校正PFC(Power FactorCorrection)技术,一方面使电源输入电流与输入电压波形同相,即使功率因数趋于1;另一方面使输入电流为正弦波,即使总谐波畸变值尽量小。目前工程应用中,传统有源功率因数校正电路主要有硬开关Boost校正、有源软开关校正、无源无损软开关校正以及新型无桥模式校正。其中,无源无损软开关功率因数校正电路所用元器件数量少,电路结构简单,电路工作稳定性好,开关管的电流应力小,效率较高,控制电路简单,成本较低。所以本设计采用无源无损软开关功率因数校正电路,图1为其电路原理图。

功率级电路采用无源无损软开关功率因数校正电路,工作频率设定为60 kHz。设计的主要技术指标:输入170~270 V的交流电压、50 Hz;输出400 V的直流电压,电压纹波小于10 V:输出功率1 kW;功率因数不小于0.98;效率不低于95%。
2.1 主电路升压电感的设计
在PFC电路中,磁性元件对电路性能的影响较大,而其设计涉及很多因素。下面主要介绍主电路升压电感的设计。
目前适合在高频条件下工作的APFC电感的磁心材料且价格适中的是铁硅铝磁粉心,其优点是:饱和磁通密度极高,在强磁场条件下,即工作在大电流时,磁心不易饱和;制作APFC电感,不用开气隙,不会对电路产生电磁干扰(EMI);由于其直流偏磁动态线性好,通过计算可精确控制在额定电流时的电感值,恰当的选择磁心尺寸和线圈匝数,可降低磁芯损耗。根据样机设计的技术指标,选用铁硅铝磁心。磁心的规格主要由功率、工作频率、输出电压电流等参数决定。要确定磁心的规格,先要计算电感量等参数。有多种方法可计算PFC电路的Boost升压电感,这里采用两种方法综合分析确定电感量的值,常用方法和按纹波比例要求计算电感,最后计算出电感量为1.5 mH。采用AP法确定磁心的规格,电感器可储能量:

代入以上数据计算得:AP=12.75 cm4,选用Arnold公司型号为MS-184060-2的两个磁环叠用。此时,AP=17 cm4>12.75 cm4。电感线径计算如下:
计算裸线面积:

电感匝数计算:
![]()
通过对电感量、铁损和铜损的校验,各电感参数均满足设计要求。
2.2 主电路其他部件的设计
选择功率开关管要考虑功率器件的开关速度和驱动电路的简洁及性价比。根据其电流、电压应力的大小选择型号。在该电路中,主功率开关管所承受的电压应力为输出电压400V,电流应力为谐振电感电流峰值11.55 A,取1倍裕量,因此选择500 V/30 A的MOSFET即可满足要求。该设计功率开关管选用SPW47N60C3。输出二极管主要从开关速度、电压应力、电流应力等参数来选取。该设计选用IXYS的DSEI60-06(600 V/60 A)。考虑到电流电压裕量,输入整流桥选D35XB60(35A/600 V)。
3 PFC控制级电路设计
以PFC专用控制器件UC3854BN为控制核心,PFC控制及电路如图2所示。

在该电路中,设定振荡器的工作频率为60 kHz。该频率由电容CT和电阻RSET(R36)决定,已有RSET=16 kΩ,CT可取300 pF/63 V(C57)与1 000 pF/63 V(C42)并联,此时工作频率略高于60 kHz。
3.2 电流误差放大器和电压误差放大器设计
为使平均电流控制型电路稳定工作,必须使PWM比较器的两个输入信号的斜率满足:电感电流在取样电阻所产生压降的斜率不能超过锯齿波的上升斜率,否则PWM比较器将不能正常工作,此要求限定了电流放大器在开关频率处增益的上限。对于电压误差放大器,其设计应确定输出电容上的纹波电压,要合理分配谐波源的比例。
3.3 驱动电路设计
根据实际驱动电路的设计值,开关管工作在60 kHz时,其所需要的驱动脉冲上升时间约为110 ns,所选MOSFET输入电容Ciss=6 800 pF。由于UC3854BN栅极连续驱动电流为0.5 A,在50%占空比时栅极驱动电流为1.5 A,因此在大功率的PFC应用中,UC3854BN自身的驱动能力不足,开关管导通时di/dt比较小,增大了开关管的导通损耗,故在开关管前增加一片功率MOSFET驱动器TC4424。考虑驱动电流较大,采用TC4424的两个通道并联,可提供3 A的驱动能力,如图3所示。

4 结论
综上所述,完成一台1 kW样机。图4为输入电压、电流波形。负载为全载时,加载、减载时输出电压变化曲线分别如图5、图6所示。



射频工程师养成培训教程套装,助您快速成为一名优秀射频工程师...
射频和天线工程师培训课程详情>>

