- 易迪拓培训,专注于微波、射频、天线设计工程师的培养
锁相环相位噪声与环路带宽的关系分析
录入:edatop.com 点击:
0 引 言
电荷泵锁相环是闭环系统,系统各个部分都是一个噪声源,各部分噪声的大小不仅与电路本身有关,而且还与环路带宽等因素有关。因此,设计时必须分析其各频率范围内噪声源影响力的大小,权衡确定环路带宽与各噪声源的相互制约关系。以下利用锁相环的等效噪声模型,重点分析电荷泵锁相环系统的相位噪声特性,得出系统噪声特性的分布特点以及与环路带宽的关系。
1 电荷泵锁相环的基本原理
图1为电荷泵锁相环的示意图,主要由鉴相鉴频器(PFD)、电荷泵、滤波器、压控振荡器(VCO)、分频器等5部分组成,鉴相鉴频器主要用来检测输入信号x(t)与反馈信号xf(t)的频率、相位误差,并产生UP,DOWN信号控制电荷泵的开关。电荷泵由两个对称的电流源和开关组成。电荷泵的开关会对滤波器上的电容充放电,电流经过滤波器滤波后滤掉高频信号,在滤波器上产生能调整压控振荡器频率和相位的电压v(t)。当v(t)上的电压被调整为一个合适的电压值时,xi(t)的频率和相位与x(t)的一致,系统最终处于平衡状态,从而实现对输入信号的跟踪。
电荷泵锁相环的环路等效噪声模型可以用锁相环各子模块附加噪声源表示。图2给出了带有无源滤波器锁相环噪声源模的型。设fm为距离调制频率的偏移量,该图中主分频器、参考时钟分频器的均方噪声功率谱密度分别被表示为ψd(fm)和ψrcf(fm);鉴相鉴频器的相位噪声被表示为ψpd(fm);晶体振荡器的相位噪声被表示为ψx(fm);相位噪声源的单位是电荷泵的噪声被等价为电流源inp(fm)(单位:)
;
滤波器的噪声被等价为电压源Vnf(fm)(单位:
的自由振荡噪声被表示为
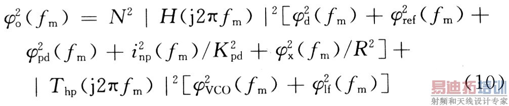
环路输出信号的均方噪声功率谱密度被表示为它是闭环情况下所有噪声源影响的总和。输出相位噪声功率谱密度可以表示为:
式中:ψolp2(fm)为具有低通传输函数的噪声源功率谱密度;ψohp2(fm)为具有高通传输函数的噪声源功率谱密度。

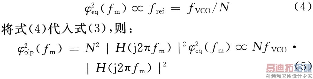
式中:G(s)和H(s)分别为环路的开环增益函数和闭环增益函数。归一化的电荷泵相位噪声inp(fm)/Kpd和晶体振荡器噪声ψx(fm)/R对 ψolp(fm)的影响也可以用式(2)来表示。当用j2πfm代替s时,ψo2(fm)中具有低通传输函数噪声源功率谱密度的噪声分量ψolp2 (fm)可以表示为:
在图2所示的噪声源等效模型中,ψVCO(fm)和Vnf(fm)具有高通传输特性,其传输函数可以表示为:
在滤波器中,由于滤波器电阻上存在着热噪声电压。该电压可以调制压控振荡器的相位,在图2中把该噪声电压等效为Vnf。由Vnf所引起的噪声功率谱密度可以表示为:
图3为模拟的锁相环相位噪声曲线,从图3中可以看出,环路的开环环路带宽在1 MHz左右。在模拟时,假定VCO的相位噪声功率谱密度与频率fm的变化为-6 dB/倍频,同时假定具有低通特性的锁相环噪声源在全频带都具有相等的功率谱密度。由于锁相环环路的作用,在大于环路带宽时,具有低通特性的环路噪声被环路抑制;而小于环路带宽时,VCO的噪声被环路抑制,整个系统的噪声为两种噪声源之和。因而在低频时,整个系统的噪声中具有低通特性的环路噪声源起主导作用;而在高频时,VCO的噪声起主导作用。通常设计环路时需要综合考虑两种噪声的影响,然后才能确定环路带宽。如果具有低通特性的环路噪声较小,为了获得较好的高频噪声,可以把环路带宽选得大些,从而更好地抑制VCO的噪声,反之亦然。
4 结 语
以上的探讨内容源自一款TD-SCDMA频率综合器研究,为了获得良好的相位噪声和较小的抖动,系统往往都被设计成可以近似为线性的系统。
在此,首先简介电荷泵锁相环的基本原理,然后引入此系统的等效噪声模型,分析了不同频率段影响环路噪声的主要因素;以上分析指出,设计环路时需要综合考虑锁相环环路噪声和VCO的噪声的影响,然后才能确定环路带宽。如果具有低通特性的环路噪声较小,为了获得较好的高频噪声,可以把环路带宽选得大些,从而更好地抑制VCO的噪声。因而以上的分析对于电荷泵锁相环的环路噪声特性与环路带宽设计具有一定的指导意义。然而,实际电路中寄生参数会影响系统的噪声特性及系统的稳定性,因而设计时应尽可能减小寄生效应。
电荷泵锁相环是闭环系统,系统各个部分都是一个噪声源,各部分噪声的大小不仅与电路本身有关,而且还与环路带宽等因素有关。因此,设计时必须分析其各频率范围内噪声源影响力的大小,权衡确定环路带宽与各噪声源的相互制约关系。以下利用锁相环的等效噪声模型,重点分析电荷泵锁相环系统的相位噪声特性,得出系统噪声特性的分布特点以及与环路带宽的关系。
1 电荷泵锁相环的基本原理
图1为电荷泵锁相环的示意图,主要由鉴相鉴频器(PFD)、电荷泵、滤波器、压控振荡器(VCO)、分频器等5部分组成,鉴相鉴频器主要用来检测输入信号x(t)与反馈信号xf(t)的频率、相位误差,并产生UP,DOWN信号控制电荷泵的开关。电荷泵由两个对称的电流源和开关组成。电荷泵的开关会对滤波器上的电容充放电,电流经过滤波器滤波后滤掉高频信号,在滤波器上产生能调整压控振荡器频率和相位的电压v(t)。当v(t)上的电压被调整为一个合适的电压值时,xi(t)的频率和相位与x(t)的一致,系统最终处于平衡状态,从而实现对输入信号的跟踪。

电荷泵锁相环的环路等效噪声模型可以用锁相环各子模块附加噪声源表示。图2给出了带有无源滤波器锁相环噪声源模的型。设fm为距离调制频率的偏移量,该图中主分频器、参考时钟分频器的均方噪声功率谱密度分别被表示为ψd(fm)和ψrcf(fm);鉴相鉴频器的相位噪声被表示为ψpd(fm);晶体振荡器的相位噪声被表示为ψx(fm);相位噪声源的单位是电荷泵的噪声被等价为电流源inp(fm)(单位:)
滤波器的噪声被等价为电压源Vnf(fm)(单位:
的自由振荡噪声被表示为
环路输出信号的均方噪声功率谱密度被表示为它是闭环情况下所有噪声源影响的总和。输出相位噪声功率谱密度可以表示为:
式中:ψolp2(fm)为具有低通传输函数的噪声源功率谱密度;ψohp2(fm)为具有高通传输函数的噪声源功率谱密度。

式中:G(s)和H(s)分别为环路的开环增益函数和闭环增益函数。归一化的电荷泵相位噪声inp(fm)/Kpd和晶体振荡器噪声ψx(fm)/R对 ψolp(fm)的影响也可以用式(2)来表示。当用j2πfm代替s时,ψo2(fm)中具有低通传输函数噪声源功率谱密度的噪声分量ψolp2 (fm)可以表示为:

![]()
在图2所示的噪声源等效模型中,ψVCO(fm)和Vnf(fm)具有高通传输特性,其传输函数可以表示为:
![]()
![]()
在滤波器中,由于滤波器电阻上存在着热噪声电压。该电压可以调制压控振荡器的相位,在图2中把该噪声电压等效为Vnf。由Vnf所引起的噪声功率谱密度可以表示为:
![]()


图3为模拟的锁相环相位噪声曲线,从图3中可以看出,环路的开环环路带宽在1 MHz左右。在模拟时,假定VCO的相位噪声功率谱密度与频率fm的变化为-6 dB/倍频,同时假定具有低通特性的锁相环噪声源在全频带都具有相等的功率谱密度。由于锁相环环路的作用,在大于环路带宽时,具有低通特性的环路噪声被环路抑制;而小于环路带宽时,VCO的噪声被环路抑制,整个系统的噪声为两种噪声源之和。因而在低频时,整个系统的噪声中具有低通特性的环路噪声源起主导作用;而在高频时,VCO的噪声起主导作用。通常设计环路时需要综合考虑两种噪声的影响,然后才能确定环路带宽。如果具有低通特性的环路噪声较小,为了获得较好的高频噪声,可以把环路带宽选得大些,从而更好地抑制VCO的噪声,反之亦然。
4 结 语
以上的探讨内容源自一款TD-SCDMA频率综合器研究,为了获得良好的相位噪声和较小的抖动,系统往往都被设计成可以近似为线性的系统。
在此,首先简介电荷泵锁相环的基本原理,然后引入此系统的等效噪声模型,分析了不同频率段影响环路噪声的主要因素;以上分析指出,设计环路时需要综合考虑锁相环环路噪声和VCO的噪声的影响,然后才能确定环路带宽。如果具有低通特性的环路噪声较小,为了获得较好的高频噪声,可以把环路带宽选得大些,从而更好地抑制VCO的噪声。因而以上的分析对于电荷泵锁相环的环路噪声特性与环路带宽设计具有一定的指导意义。然而,实际电路中寄生参数会影响系统的噪声特性及系统的稳定性,因而设计时应尽可能减小寄生效应。
射频工程师养成培训教程套装,助您快速成为一名优秀射频工程师...
天线设计工程师培训课程套装,资深专家授课,让天线设计不再难...
上一篇:基于台达变频器的EPS解决方案
下一篇:三种快速动态响应的VRM拓扑分析比较
射频和天线工程师培训课程详情>>

