- 易迪拓培训,专注于微波、射频、天线设计工程师的培养
PDP控制电源的设计分析
随着人们对大屏幕彩电的需求不断增加,等离子显示器(PDP)由于其体积小、视角宽、主动发光、亮度高、环境适应性好等独特的优点,在竞争中占有相当的优势,随着价格的降低,它必将进入家庭,有着巨大的市场需求。等离子显示器主要由显示屏、屏蔽玻璃、电源、数字电路、驱动电路、外壳等部件组成,其中电源担负着屏内所有电路和显示屏的供电,其技术含量高,功能复杂,为满足等离子显示器的安全要求,需要进行精心设计和严格测试。
电源输出特性
为了适应全球输入电压范围,交流输入电压为85~276V,经过EMI滤波、整流后采用有源PFC作电压预调整,共有8路输出电压:地址驱动电源Va,屏驱动电源Vs,逻辑控制电源Vcc,辅助电源(3路),风扇电源,待机电源Vsb,其主要输出特性如下:
屏驱动电源(Vs)输出:165~185Vdc(可控),自动设置,Vs=165+10×Vrs,Vrs为参考电压,在0~2V之间,由PDP提供,平均电流Is为1.5A,瞬时最大电流Isp为12.0A;
地址驱动电源(Va)输出:55~65Vdc(可控),自动设置,Va=55+5×Vra,Vra为参考电压,在0~2V之间,由PDP提供,平均电流Ia为1.8A,瞬时最大电流Iap为3.0A;
逻辑电路电源(Vcc)输出:5Vdc(可控),瞬时最大电流Icp为5.0A;辅助电源输出:+5V,3.5A;+12V,1A;-5V,0.5A;12V风扇电源(Vfan):电流为0.5~1.0A;5V待机电源(Vsb):电流为0.5~1.0A。
地址驱动电源Va和屏驱动电源Vs分别受PDP控制,而且有时序要求,所以采用两个独立DC/DC变换器;对于待机电源Vsb,在PDP不工作即其他所有输出均关断时仍然工作,所以Vsb采用一个独立的DC/DC变换器;Vcc与Vs和Va是共地的,为避免地线上的干扰,辅助电源组采用单独一组DC/DC变换器,输出内部共地,同时为了避免差频干扰,对大功率的Va和Vs变换器采用频率同步的工作方式(同步于PFC电路)。各变换器的逻辑关系及工作时序如下:
a.交流上电后,待机电源Vsb开始工作;
b.遥控开机后,先吸合继电器,PFC输出直流电压,辅助电源、PDP逻辑控制电源Vcc工作;
c.屏控电路初始化后,发出可启动高压驱动开启电平Vrr到PDP电源,Va和Vs启动工作;
d.遥控关机时,屏控电路先关闭Vs和Va,后关Vcc和辅助电源;
e.遥控关机后,待机电源仍然工作,以便下一次的启动。
其开关机时序如图1(a)、(b)所示。

(a) 开机时序 
(b) 关机时序
图1 开关机时序图
图1中的t1为PDP电源内部高低压之间的启动延时,大约为110ms,Vrr是高压封锁信号,在Vrr为高电平之后即有高压输出,图中的t3表示Vs(165V)的软启动时间,大约为300~800ms,而Va(65V)无软启动。t4和t5仅代表关机时的先后顺序,其本身数值的大小和负载的情况密切相关,在满载情况下t4大约为450ms,t5大约为260ms。Vs和Va变换器是一起开机、一起关机,当前两路中有1路保护(过流、过压、过热)时,则将该两路变换器全部关断,但不关Vcc变换器。当Vcc变换器发生故障时,将Vs和Va变换器与Vcc变换器同时关断,整个电源的结构框图如图2所示。

图2 结构框图
电路设计
为了满足PDP电源的上述特性要求,每种电源都需要不同的电路结构,下面详细论述各个电路的设计。
EMI电路、有源功率因数校正电路和待机电源
为了满足全球化需要,PDP电源必须满足各个组织的EMI测试要求,根据阻抗匹配采用了如图3所示拓扑结构的EMI滤波器,经过参数优化和PCB优化,其传导辐射通过了CLASS B标准,有源功率因数校正电路采用了UC3854作为主控芯片,功率因数达到99%,待机电源采用PI公司的专用待机电源芯片构成单端反激变换器。

图3 交流输入滤波电路拓扑
辅助电源
辅助电源采用UC3844组成单端反激变换器,电压分别为一组5V/3.5A、-5V/0.5A,一路12V/0.5A,一路12V/1.0A,5V主控。
地址驱动电源Va和屏驱动电源Vs
此两路电源功率都比较大而且受控,因此采用两路相同结构的独立双管双正激变换器。我们以地址驱动电源Va为例进行设计,该路功率为120W,输出55~65Vdc(可控),自动设置,Va=55+5×Vra,Vra为参考电压,在0~2V之间,由PDP提供。当Vra为2V时,对应Va的输出为65V。其控制电路采用SG3525芯片,把Vra电压经过分压和滤波处理后加到SG3525的1脚上对输出电压控制。主拓扑采用双管双正激变换器,特点是器件应力小,不存在剩磁问题,电路简单,避免直通问题,图4为双管双正激变换器的原理电路。

图4 双管双正激变换器的原理电路
[p]
在图4中,PFCout为功率因数校正的输出,为400V。每路正激变换器由两只MOSFET构成,这种双管正激可降低开关管耐压要求。与单正激变换器相比,双正激变换器在使输出功率增大的同时还带来如下好处:①输出滤波电感工作频率为两倍开关频率,这使得其大小相对减小;②变压器原副边变比为单正激的两倍,可选用低耐压的输出整流二极管。实际使用的开关频率为80kHz,开关管驱动采用脉冲变压器耦合隔离方式,这样可减小主电路对控制电路的干扰。每只MOSFET附近的RCD电路为吸收缓冲电路,可以有效吸收开关过冲,其参数值由开关频率和实际电路决定。当Po(单路)=65W时,其磁性元件设计如下:设整流管最大压降Vsr≤0.7V,电感绕组的最大电阻压降VL≤0.1V,其他线路最大压降Vr≤0.1V,原边MOFET及线路压降Vsw≤0.3V,变压器效率η≥98%。其他参数为:
Vs:变压器副边电压
Vp:变压器原边电压
输入电压:Vin=390~400V
输出电流:Io=1A
输出电压范围:Vo=50~70V
输出功率:Pomax=70W
最大占空比:Dmax=0.45
开关频率:f=80kHz
导线的电流密度:J=4A/mm2
铁芯磁通密度变化量:ΔB=0.2T
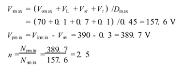
(1)计算匝数比

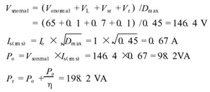
(2)计算总视在功率

(3)计算铁芯窗口面积乘积

Kw:变压器窗口系数,窗口系数先粗略取0.4,本设计中原副边绕组均采用铜线; Kf对于双管正激电路可由以下公式算出:
![]()
(4)选择磁芯
根据Ap查磁芯手册,确定磁芯结构为EE42/21/15,磁芯材料为西门子N67材料,有效截面:Ae=234mm2,窗口面积:AW=250mm2,Ae×AW=5.85cm2>Ap。
(5)计算原边、副边绕组匝数

原边开关管为MTP4N80,额定电流4A,耐压800V。输出整流二极管D1~D4采用4只快恢复二极管DSEI1206A,其中2只并联使用作为续流二极管。DSEI1206A的反向软恢复特征使得输出尖峰电压减小外,反向恢复电流折算到原边也小,使得原边MOS2FET开通损耗减小。在输出电压65V,输出电流1A时,变压器温升小于30℃,效率为93%。
测试结果
PDP电源设计完成后需要进行高低温冲击试验、负载特性、功率因数、EMC等测试,其满载功率因数测试为>98%,以下为其他各个测试项。
基本性能指标
PDP电源基本性能指标表如表1所示。

环境测试
A.低温测试:-5℃时,电源能启动且可以正常工作,测试负载调整率、电压调整率、稳压精度、输出过流保护点、输出过压保护点、设置精度、峰峰杂音等项目。
B.高温测试:50℃时,电源能启动且可以正常工作,测试负载调整率、电压调整率、稳压精度、输出过流保护点、输出过压保护点、设置精度、峰峰杂音等项目。
EMC测试
A.电压暂降、跌落与短期电压变化测试用三相ACSOURCE模拟电网,电压暂降、跌落与短期电压变化时电源能正常工作。
B.电网特殊波形测试:
1)用三相ACSOURCR模拟电网谐波输入,样机能正常工作;
2)用单相ACSOURCR模拟电网尖峰、毛刺输入,样机能正常工作;尖峰电压大于400V时,关机保护。
C.噪声抗扰性测试
在电源输入端口耦合3kV共模噪声电压,样机能正常工作。
D.符合ANSIIEEEC62.41-1991、B3等级,1.2/50μs和8/20μs混合波,6kV/3kA。
元器件温升测试
在满载情况下所有元件温升低于40℃。
结论
PDP等离子显示屏是近几年在国际上出现的新产品,其电源设计比较复杂,要求输出路数多、体积小、电压调节范围宽、电压高、纹波小、噪声低、EMI低,开关机有严格的时序限制。这里设计的PDP电源已经成功应用在某知名品牌的42英寸等离子显示上,经过上万台等离子显示屏两年的使用验证,返修率小于0.05%,证明其设计的可靠性非常高。
射频工程师养成培训教程套装,助您快速成为一名优秀射频工程师...

