- 易迪拓培训,专注于微波、射频、天线设计工程师的培养
蓄电池内阻及其同蓄电池各类失效模式的关系
录入:edatop.com 点击:
目前,阀控式铅酸蓄电池在电力操作电源广泛使用,由于阀控式铅酸蓄电池结构的特殊性,在运行中可靠地检测蓄电池的性能,并有针对性地对蓄电池进行维护变得困难但又很迫切。从电力系统运行的高可靠性要求,各类蓄电池监测系统也在广泛使用。但不同的测试模式对蓄电池的性能状况反映也不一样,多年的研究和运用表明,内阻检测是目前最为可靠的测试方式之一,而蓄电池的不同失效模式对内阻的反映情况也不一样,了解蓄电池的内阻和各种失效模式的关系,有利于更好地对蓄电池进行检测和维护。合理地选择及使用目前直流电源系统中的蓄电池和电池监测模块,对延长蓄电池的使用寿命有很大的作用,为获得最大的安全效益和经济效益有着很重要的意义。
2 常见的蓄电池失效模式
对于阀控式铅酸电池,通常的性能变坏机制有:电池失水、正极板群的腐蚀、活性性质的脱落、深放电引起的钝化和深度放电后的恢复等等,以下是几种性能变坏的情况:
1、电池失水
铅酸蓄电池失水会导致电解液比重增高、导致电池正极栅板的腐蚀,使电池的活性物质减少,从而使电池的容量降低而失效。
阀控式铅酸蓄电池充电后期,正极释放的氧气与负极接触,发生反应,重新生成水,即
O2 + 2Pb→2PbO
PbO + H2SO4→H2O +PbSO4
使负极由于氧气的作用处于欠充电状态,因而不产生氢气。这种正极的氧气被负极铅吸收,再进一步化合成水的过程,即所谓阴极吸收。
在上述阴极吸收过程中,由于产生的水在密封情况下不能溢出,因此阀控式密封铅酸蓄电池可免除补加水维护,这也是阀控式密封铅酸蓄电池称为免维电池的由来。电池在存放期间内应无气体逸出;充电电压在2.35V/单体(25℃)以下应无气体逸出;放电期间内应无气体逸出。但当充电电压超过2.35V/单体时就有可能使气体逸出。因为此时电池体内短时间产生了大量气体来不及被负极吸收,压力超过某个值时,便开始通过单向排气阀排气,排出的气体虽然经过滤酸垫滤掉了酸雾,但必竟使电池损失了气体,也等于失水,所以阀控式密封铅酸蓄电池对充电电压的要求是非常严格的,绝对不能过充电。
2、负极板硫酸化
电池负极栅板的主要活性物质是海棉状铅,电池充电时负极栅板发生如下化学反应
PbSO4 + 2e = Pb + SO4-
正极上发生氧化反应:
PbSO4 + 2H2O = PbO2 + 4H+ + SO4- + 2e
放电过程发生的化学反应是这一反应的逆反应,当阀控式密封铅酸蓄电池的荷电不足时,在电池的正负极栅板上就有PbSO4 存在,PbSO4 长期存在会失去活性,不能再参与化学反应,这一现象称为活性物质的硫酸化,为防止硫酸化的形成,电池必须经常保持在充足电的状态,蓄电池绝对不能过放。
3、正极板腐蚀
由于电池失水,造成电解液比重增高,过强的电解液酸性加剧正极板腐蚀,防止极板腐蚀必须注意防止电池失水现象发生。
4、热失控
热失控是指蓄电池在恒压充电时,充电电流和电池温度发生一种累积性的增强作用,并逐步损坏蓄电池。造成热失控的根本原因是浮充电压过高。
一般情况下,浮充电压定为2.23 ~ 2.25V/单体(25℃)比较合适。如果不按此浮充范围工作,而是采用2.35V/单体(25℃),则连续充电4个月就可能出现热失控;或者采 2.30V/单体(25℃),连续充电6 ~ 8个月就可能出现热失控;要是采用2.28V/单体(25℃),则连续12 ~ 18个月就会出现严重的容量下降,进而导致热失控。热失控的直接后果是蓄电池的外壳鼓包、漏气,电池容量下降,最后失效。3 阀控铅酸蓄电池内阻模型研究
阻抗分析是电化学研究中的常用方法,是电池性能研究和产品设计的必要手段[10]。
图2-1是典型的铅酸电池阻抗图,可见其包括以下几部分:
1) 100Hz后体现的电感部分;
2) 高频电阻RHF,即超过100Hz后的实部;
3) 在0.1Hz和100Hz之间的第一个小容性环(半径R1);
4) 低于0.1Hz后的第二个大容性环(半径R2)。
![]() |
| 图2-1 蓄电池阻抗谱图 |
关于蓄电池阻抗谱图,一般的解释为:
a) 超过100Hz部分呈现的感性是电池内部几何结构和连接部件的影响;
b) 欧姆电阻RHF包含连接件电阻、隔膜电阻、电解液电阻和电极与硫酸铅晶体结合面电阻;
c) 小容性环与电极的孔率有关;
d) 大容性环依赖于电极反应,其速率受Pb2+离子传质速度限制。
在很多的研究方法中[52],使用图2-2的等效电路来表示电池。
![]() |
| 图2-2 蓄电池阻抗等效电路 |
图2-2中Lp、Ln为正负极电感;
Rt.p和Rt.n 是电极离子迁移电阻;
Cdl.p、Cdl.n是极板双电层电容;
Zw.p、Zw.n为Warburg阻抗,是由离子在电解液和多孔电极中扩散速度决定的;
RHF是前面提到的欧姆电阻。
文献[104]研究中将Warburg阻抗表示为一个电阻和电容串联组成的阻抗ZW。
式中 λ——Warburg系数,表示反应物和生成物的扩散传质特性;
ω——角频率
电池的阻抗包括欧姆电阻和正负极阻抗:
Zcell = Zp + Zn + RHF (2-5)
电池阻抗是一个复阻抗,在其它条件不变的情况下,与测试频率有关。
在实际使用中多采用内阻或电导,内阻是复阻抗的模,而电导是内阻的倒数值,二者只是表示方法的差别。
通常情况的内阻是指某一固定频率下的内阻值,对于一般的VRLA蓄电池,从电池的阻抗谱图(2-1)中可以看出,对于高于100Hz的频率,阻抗值RHF是平行于Y轴的近似直线,RHF也称为欧姆内阻。
4 内阻在线测量方法
备用场合使用的VRLA电池一般容量很大,在几十到数千安时,电池的内阻值很小,随电池容量的增大,内阻减小,例如3000Ah的电池,其内阻值一般在 30-50微欧。由于阻值低,电池正负极输出直流电压,要准确测量内阻是有一定难度的,尤其是在线测量时电池端存在充电纹波和负
载变动时的动态变化。
4.1 直流方法
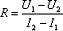
直流方法是在电池组两端接入放电负载,测量电压的变化(U1-U2)和电流值(I)计算电池的内阻(R)。
蓄电池从浮充状态切换到放电状态,典型的电压跌落过程如图2-4所示。即停止充电后,电池回落到某平衡电位,接入放电负载后,电压发生阶跃变化。这样,内阻的计算不能使用浮充电压和放电工作电压的差值来计算,使用开路平衡电位与放电工作电压的差值时也不够稳定。因此,在放电过程改变电流可以克服平衡电位不稳定的因素。采用式(2-6),根据在不同电流(I1、I2)下的电压变化(U1-U2)来计算内阻值。
![]() |
| 图2-4 蓄电池放电电压曲线 |
由于内阻值很小,在一定电流下的电压变化幅值相对较小,给准确测量带来困难,由于放电过程电压的变化,需要选择稳定区域计算电压变化幅值。实际测量中,直流方法所得数据的重复性较差、准确度很难达到10%以上。
4.2 交流方法
交流方法相对直流法要简单。
当使用受控电流时,ΔI = Imax Sin(2πft),产生的电压响应为:
ΔV = Vmax Sin(2πft + φ) (2-1)
若使用受控电压激励,ΔV = Vmax Sin(2πft),产生的电流响应为:
ΔI = Vmax Sin(2πft - φ) (2-2)
两种情况的阻抗均为:
即阻抗是与频率有关的复阻抗,其模 |Z|= Vmax/Imax, 相角为φ。
从理论上讲,向电池馈入一个交流电流信号,测量由此信号产生的电压变化即可测得电池的内阻。
R = Vav / Iav (2-6)
式中 Vav----为检测到交流信号的平均值;
Iav ---- 为馈入交流信号的平均值
在实际使用中,由于馈入信号的幅值有限,电池的内阻在微欧或毫欧级,因此,产生的电压变化幅值也在微欧级,信号容易受到干扰。尤其是在线测量时,受到的影响更大,采用基于数字滤波器的内阻测量技术和同步检波方法可以部分克服外界干扰,获得比较稳定的内阻数据。
同步检波方法电路结构简单,如图2-5所示,由时钟触发同步激励信号和检波电路的相位。
![]() |
| 图2-5 同步检波方法测量蓄电池内阻 |
4.3 不同测量方法对内阻值的影响
不同的测量一起使用不同的内阻测量方法,尤其是不同的测试频率,所获得的电池内阻数据有较大的差异。以下是对开口铅酸电池和阀控密封铅酸电池(VRLA)用不同的仪器进行测试的数据对比。
对12V100Ah开口蓄电池,分别采用HIOKI3550内阻测试仪(工作频率1000Hz,测量电流为几十mA)和BM6500(工作频率 10Hz,测量电流1A)测量17只电池的内阻,其结果如图2-8所示,图中"☆"为BM6500测得的数值,"+"是HIOKI3550所测得数值。可见BM6500所测数据均比HIOKI3550的数值高。但从图2-8还发现,两种方法测量的数据差值并不是一个恒值或者固定比例。
![]() 图 不同测试方法的开口铅酸蓄电池内阻 由于测量方法的不同,蓄电池内阻数值有较大的差异。因此,在研究内阻变化时需要在同一方法下进行测量。 4.4 不同充电状态对内阻值的影响 蓄电池处于不同的状态,其内阻值也有很大的差异。图2-10中数值较高的数据是在浮充状态下测得的,停止浮充、转入放电后电池内阻变小。变化幅度均匀,平均为6.5%,可以解释为浮充状态下极化内阻的影响。电池进入放电状态后,内阻由浮充状态的值下降到某稳定值,此数值在电池放电的平台期稳定上升,放电容量达到80%后,内阻急剧上升。转入充电后,内阻很快恢复到正常数值。
4.5 不同的失效模式对内阻的影响 蓄电池的不同失效模式反映在内阻变化的幅值并不一样。日本JSB电池公司就失水模式和腐蚀模式的区别进行了研究。其研究采用直流放电方法,测量电压的跌落来计算电池的欧姆内阻。 图2-12 是不同劣化模式下的电池放电曲线。与一般的腐蚀模式对比可以发现:同样的欧姆内阻变化幅度,失水模式能提供的输出容量比腐蚀模式的要低。 另外的电池劣化模式也从不同的角度影响电池的内阻,除腐蚀和失水外,活性物质的不同结晶状态也影响输出容量和内阻。 充电状态SOH影响内阻值,对处于正常浮充电压一定时间后的电池,可以认为是在完全充电状态。 温度对电池内阻影响甚微,低温有些影响。在运行条件较好的场合,可以不考虑温度的影响。 4.6 现场测量与数据分析 对1组12V电池进行了测试,规格为100Ah/12V,18只串联,现场使用约1年,处于浮充状态。 接入BM6500系统,在线测量电池电压和内阻数据。
第二次内阻测试的平均值为6.29,去除坏值(No9、No10)后的平均值为6.08,No9电池内阻偏离平均值31.9%,No10电池内阻偏离平均值28.5%。 对No9、No10单独恒流放电,测试实际容量。放电电流10A,记录放电电压和环境温度。 根据0.1C放电的容量公式计算, No9电池的实际容量:(6*60+38)/600/0.98=67.7% No10电池的实际容量:(7*60+17)/600/0.98=74.3% 5 结语 下图是一般研究普遍认同的电池老化与内阻变化的关系,即内阻变化一般经历3个阶段: 1) 投运初期,电池进入稳定运行期间,电池内阻有所下降; 2) 在电池正常运行的很长一段时间,内阻保持相对稳定; 3) 在电池寿命终结前的一段时间,内阻呈快速上升趋势。
IEEE Std 1188-1996中对内阻测量和数据分析作了说明,指出内阻受包括物理连接、电解液离子导电性和电极表面的活性物质的活性3方面因素的影响,内阻值与所采用的仪器和测量方法有关,内阻的变化可以当作电池性能或者说容量变化的指示。明显的内阻变化表明蓄电池有大的性能改变,超过30%的变化即可认为明显,但这个变化幅度可能跟不同厂家的电池有关。 内阻与SOH的关系分析的结论: (1) SOC和SOH无疑影响电池内阻。 (2) 环境温度亦影响电池内阻,尤其是低频下的电化学动力学过程受到扩散控制。 (3) 大容量电池的欧姆内阻很小,其变化幅度就更小,需要相当精度的测试手段。 (4) 不能直接用内阻数据来计算SOH,而且建立标准亦很困难。部分电池的内阻变化明显,但此时的电池容量仍可能保持在良好水平。 (5) 劣化严重的电池其内阻变化数值将超过某范围。 参考文献 1. F.J.Syuter,T.M.Cortes,"CONSIDERATIONS FOR A RELIABLE TELECOMMUNICATION POWER SYSTEM AT REMOTE FACILITIES UTILIZING VALVE TEGULATED LEAD-ACID BATTERY MANAGEMENT SYSTEM TECHNOLOGIES", Proc. INTELEC‘94 2. Dr. Robert S. Robinson ,"On-Line Battery Testing: a Reliable Method for Determining Battery Health ", Proc. INTELEC‘96 3. Wieland Rusch, Stefan Gobel , Reinhard Lutkeholter,"FLOAT CHARGING OF VALVE REGULATED LEAD ACID BATTERIESGEL TELECOM BATTERIES WITH INTEGRATED MINTTORING", Proc. INTELEC‘95 4. J.Poulin ,R.Heron,D.Mailloux,"An Expert Management System for VRLA batter in Remote Telecommunications Centers" Proc. INTELEC‘94 5. Joseph M.McAndrews, Richard H.Jones,"A VALVE REGULATED LEAD ACID BATTERY MANAGEMENT SYSTEM(VMS)"Proc. INTELEC‘96 6. 张纪元. 阀控密封铅蓄电池的使用和维护. 电源技术,1997;12:278 射频工程师养成培训教程套装,助您快速成为一名优秀射频工程师... 天线设计工程师培训课程套装,资深专家授课,让天线设计不再难...
上一篇:简单易制的TDA2822M功放 射频和天线工程师培训课程详情>>
|









