- 易迪拓培训,专注于微波、射频、天线设计工程师的培养
基于功耗限制的CMOS低曝声放大器最优化设计
在无线射频接收机中,射频信号要经过诸如滤波器、低噪声放大器及中频放大器等单元模块进行传输。由于每个单元都有固有噪声,从而造成输出信噪比变差。采用多级级联的系统,前面几级的噪声系数对系统影响最大。为了降低整个系统的噪声系数,必须降低第一、二级的噪声系数并适当提高它们的功率增益,以降低后面各级的噪声对系统的影响[1]。低噪声放大器LNA(L0W-Noise Amplifier)作为无线射频接收机最前端的关键部件,要求:(1)噪声最小,同时又要求具有一定的增益。(2)要求它有足够大的线性范围。(3)要求它与输入和输出端口有良好的匹配,以达到最大功率传输或者最小噪声系数,而这两者又很难同时达到,需要选择一个折衷方案。(4)要求它应具有一定的选频功能,以抑制带外和镜像频率的干扰。基于低噪声放大器的上述四方面要求,本文从功耗限制下的噪声最优化、阻抗匹配及小信号增益方面出发,详细讨论低噪声放大器的设计方法,并采用0.25μmCMOS工艺设计一种工作在2.4GHz频率下、可应用于蓝牙系统收发器的全集成的低噪声放大器。
1 电路分析与设计
采用电感源极负反馈、单端输入的基本电路形式[2-3]实现的低噪声放大器(LNA)如图1所示。图中,M1、M2和LS组成电感负反馈共源共栅casocode放大电路,以获得高隔离度、低噪声系数和良好的输入阻抗匹配。在输入回路中,Lg1、Lg2与M1的Cgs1及Ls。谐振在2.4GHz,并与输入端50=Ω阻抗相匹配,Cb1为输入端的隔直电容。在输出回路中,Lt与M2漏极的等效电容谐振在2.4GHz。M3、Rref和Rbias组成偏置电路,调节Rref的大小可控制电路直流工作点和静态功耗。M1栅极的偏置电压主要由Rref和M3决定,而Rbias可以进行微调。

1.1 功耗限制下的噪声最优化
主放大管M1对电路的噪声贡献最大,主要表现为沟道热噪声和栅感应噪声。根据噪声理论[4-5],沟道宽度W和静态电流越大,噪声越小,但实际的设计必须考虑功耗的限制,不可能用增大功耗的办法来减小噪声。本设计的功耗要求小于15mW。下面以此为约束条件推导出如何选择M1的尺寸以获得最优噪声。
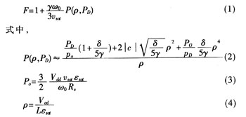
系统噪声系数的近似表达式为:

式中,γ、δ分别为MOS管沟道热噪声系数和感应栅噪声系数,c为这两种噪声之间的相关系数(它们的取值由工艺决定),ω0是谐振频率,υsat、εsat分别表示电子的饱和速度及速度饱和时的电场强度,Rs为50Ω信号源阻抗,PD为电路功耗,Po为输出功率,Vdd为电源电压,Vod为输出电压的大小。
由Charter公司0.25μmCMOS RF。工艺可以确定M1可取的最小沟道长度L≌0.241μm,电子饱和速度υsat=76090m/s,电子的有效迁移率μeff=0.03932m2/(υs),速度饱和电场强度为
![]()
噪声系数F与M1尺寸选取有着以下密切关系:

式中,QL为输人谐振同路的品质因子,Cgs为MOS管栅源之间的电容,Cpx为MOS管栅氧化层电容密度。由公式(3)、(4)、(5)、(6)、(7)可得:
对于每一个功耗值,都对应一个最佳的Ql,opt值,使该功耗下的噪声系数,最小。应用Matlab数学软件分析得到在15mW的功耗限制下取得最小噪声时的QL,opt为9.2。代人下式可汁算出M1的沟道宽度为:
本设计中M2的沟道宽度和长度同M1一致,也取为Wm2≌160μm,L≌0.24μm。
1.2 阻抗匹配[6]
低噪声放大器的输入阻抗可写为:

MOS管的沟道宽度和长度确定后,可以对放人器进行直流静态工作点分析,确定M1管的直流参数:gml=4.93×10-2A/V,cgsl=2.30×10-13F,Cgdl=O.71×10-13F。根据(11)和(12)式可计算出:Lt≈0.275nH,Lg1+Lg2≈18.86nH。在后面的电路仿真中,对器件参数做了微调,最终取Ls=0.43nH,Lg1=Lg2=8.89nH,这与理论计算非常接近。Lt与M2漏极的等效电容谐振在2.4GHz下,M2漏极的等效电容可由直流静态工作点仿真分析得到:Cdd2=0.76x10-13F,从而可算出Lt≈6nH。为了与50Ω的输出负载电阻匹配,由输出阻抗的Smith圆图可确定cb2=o.7pF,CL=O.6pF。
1.3 电压增益
LNA的电压增益主要由输入级的总跨导和输出端的负载决定[7-8]。图2所示的是LNA基本电路的小信号等效电路(这里忽略了,沟道调制效应的影响)。其中兄RS为信号源内阻,Rl=ωTLs是LNA输入阻抗的实部,R2≈Q′Lω0Lt是输出阻抗的实部,Q′L为电感Lt的品质因子,ωT是M1的截止频率。当输入、输出回路谐振在工作频率ωo时,由图2可得到输入回路的总跨导为:
![]()
M1的小信号电流glmlVin一部分流过M2,另一部分流过M1漏极的等效电容Cl(C1=Cdb1+Csb2)。流过M2的电流为:


当输出端电感Lt与M2的漏极总电容C2谐振在工作频率时,则电压增益为:

因此,增大晶体管的跨导和电感的Q′L值能有效地提高增益。另外,源极负反馈电感Ls的取值对增益也有影响。一般可以采用增大静态电流和晶体管尺寸的方法增大跨导,但应考虑电路功耗的限制。本文设计的LNA采用的电感均为CMOS工艺的片内螺旋电感,Q′L值都不高,所以应选用Q′L值高的螺旋电感以提高增益。
2 模拟结果
电路中所有元件取自Chater公司0.25μmCMOS RF工艺库,并全部集成在芯片内部。使用Cadence的Spec-tre进行了模拟分析。LNA的S参数如图3所示,由图可知,模拟显示该放大器的功耗为16mW,正向增益S21在2.4GHz频率时最大值为15dB,反射系数S11小于-23dB,S22小于-20dB。由此说明低噪声放大器实现了与输入、输出端口的良好匹配,并能取得较大的增益。噪声系数的频率响应如图4所示,NF在2.4GHz处取得最小值2.7dB。对线性度进行了模拟,LNA的1dB压缩点如图5所示,1dB压缩点为-10.5dBm。表1列出了低噪声放大器的模拟结果。

本文详细介绍了功耗限制条件下噪声最优化的低噪声放大器的设计方法,并采用0.251μmCMOS RF工艺设计了一种2.4GHz低噪声放大器。模拟结果表明,采用2.5V电源时,功耗为16mW,在2.4GHz工作频率下,正向增益S21可达15dB,反射参数S11小于-23dB,S22小于-20dB,噪声系数NF为2.7dB。
作者:徐跃
射频工程师养成培训教程套装,助您快速成为一名优秀射频工程师...
天线设计工程师培训课程套装,资深专家授课,让天线设计不再难...
上一篇:一种新型ZCS-PWM
Buck变换器研究
下一篇:利用具有LDO特性的DC/DC转换器满足下一代移动应用设计需求(上)

