- 易迪拓培训,专注于微波、射频、天线设计工程师的培养
开关电容梳状滤波器幅频特性的深入分析
作者:尹继武,龙姝明,王少华,孙彦清,卢 超
最基本的开关电容电路是由电子开关和电容组成的,主要应用是构成各种低通、高通、带通、带阻等开关电容滤波器(Switched-Capacitor Filter,SCF)。将开关电容电路与运算放大器结合,组成的开关电容有源滤波器具有很多奇特的性质,但由于引入了电子开关,对电路特性进行严密分析变得异常困难,目前已有的分析方法都只是在一定条件下从一个侧面进行近似分析,本文立足于最基本的电路理论,借助计算机系统对其进行复杂而严格的分析计算,最终得到了具有普遍意义的结论,上述文献的结果只是该普遍性结论的特例。
1 SCF电路
开关电容有源滤波器电路如图1(a),其中S1和S2是由周期为2T的方波信号控制的理想电子开关,方波控制信号p(t)波形如图1(b),其占空系数为0.5。即在2kT<t<(2K+1)T期间两开关接通A点,在(2K+1)T<t<(2K+2)T期间两开关接通B点,其中K=0,1,2,…,是时段编号。

2 时域法特性分析
时域分析法的思路是根据图1的电路结构建立电路的微分方程(以输出电压为研究对象)。转换周期为2T的电子开关的方波控制信号可表示为周期为2T的周期信号p(t)与单位阶跃信号ε(t)的乘积:
![]()
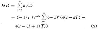
式中:k=0,1,2,…。fT=1/(2T)为开关频率,电路在k时段的时域响应(输出电压)表示为hk(t),并设:
(1)电容C在t=0_时刻电压为零(0_,kT_等带下划线符号表示相应时刻的前瞬,下同),即:
![]()
(2)因为狄拉克δ函数激励下的零状态响应h(t)的傅里叶变换即为电路的频率响应函数,即系统(频谱)函数H(Ω),故设电路输入信号(激励)为δ函数,即:
![]()
由于电子开关周期性切换,RC电路对外电路的影响表现为:下一时段的输出电压初值是上一时段末时刻输出电压值乘(-1),即:
![]()
图1(a)中理想运放反相端为虚地,第0时段(即k=0,0≤t<T)电路响应h0(t)的微分方程为

由式(8)可见,第k段的非零值时区为(kT,(k+1)T_),即各时段非零值区间互不重叠,对hk(t)关于k求和,得开关电容电路(对外)的单位冲激零状态响应h(t)为:

特别注意,求和式是一周期为2T的周期方波p(t)与单位阶跃信号ε(t)的乘积,对上式取Fourier积分变换即得到开关电容电路系统频谱函数(用j表示虚数单位,下同):

也可以根据式(1)定义的周期为2T的开关方波信号p(t),将式(9)改写为:

易证式(13)与式(10)完全一致,故其幅频特性∣H(Ω)∣仍与式(11)相同。
[p]
3 频域法特性分析
开关周期切换,形成的RC并联支路对外电路的等效电流ie(t)为: 
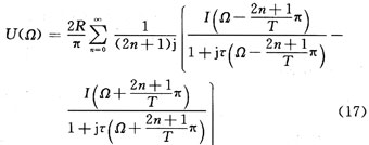
上式说明,Ie(Ω)是输入电流频谱I(Ω)周期延拓的组合,周期为Ω0=2π/T。各电流分量流过RC并联支路时的电压为相应电流分量与RC支路阻抗(R/(1+jωτ),ω=Ω±(2n+1)π/T)的乘积,于是输出电压频谱U(Ω)为:

为求系统频谱函数,取i(t)=-ui(t)/R1=-δ(t)/R1,I(Ω)=-1/R1,得到系统频谱函数:

其中R/R1=τ/τ1,结果与式(14)一致,幅频特性∣H(Ω)∣仍与式(11)相同。
4 结 语
给定图1(a)电路参数τ和τ1,选择α=τ/T分别取不同值时,根据式(11)做出的归一化幅频特性曲线如图2所示,结合对式(11)做深入分析表明: 
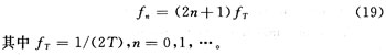
(1)α=τ/T较大时电路是梳齿幅度按奇数倒数规律衰减的梳状滤波器,通带中心频率(梳齿)为:

此时图1(a)电路允许f=fT,f=3fT,f=5fT,…等频率成份通过,且随着频率的升高,输出幅度按奇数倒数规律逐渐减小。

(2)α=τ/T较大时,f=(2n)fT(其中n=0,1,2,…)是系统的阻带中心频率,落在这些频点上的信号将获得最小传输系数,最小传输系数(即梳状滤波器幅频曲线谷底高度)为:

(3)该梳状滤波器梳齿间隔(即阻带中心频率或通带中心频率间隔)为△f=2fT。
比较图2可看出:开关转换周期2T(相对于电路时间常数τ)越小,α越大,梳齿间谷底越接近零,梳齿越尖锐(即梳齿带宽越窄)。例如,计算发现:图2(a)中,α=τ/T=10,第一梳齿通带宽度为B0.7=0.394fT。图2(b)中,α=τ/T=2,第一梳齿通带宽度为B0.7=2.33fT。
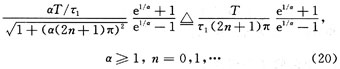
(4)随着电子开关切换周期2T增大(α减小),梳齿间谷底最小值逐渐增大。电路逐渐过渡为幅频特性曲线轻微起伏的低通滤波器,如图2(d)所示。低通滤波器传输函数极大值为:
![]()
由∣H(Ω)∣=0.707∣H(Ω)∣max可以求得低通滤波器上限截止频率,结果表明,对于低通滤波器.仍为α越大,低通滤波器上限频率(即带宽)越小。
射频工程师养成培训教程套装,助您快速成为一名优秀射频工程师...

