- 易迪拓培训,专注于微波、射频、天线设计工程师的培养
稳定低噪声放大器中晶体管工作点的设计方法(上)
录入:edatop.com 点击:
多数情况下有用信号都是非常微弱的,在这些应用中噪声系数成了表征晶体管性能优劣的主要参数。本文讨论了一种添加并联电阻来稳定低噪声放大电路中晶体管工作点的设计方法。
几乎所有通信系统的接收电路的输入级都要用到低噪声放大器(LNA),作用是放大有用信号的同时避免恶化信噪比。多数情况下有用信号都是非常微弱的,在这些应用中噪声系数成了表征晶体管性能优劣的主要参数。噪声系数反映了晶体管引入噪声的最小值,它不是一个绝对的数值,它与偏移量尤其是输入匹配条件有关。
正如许多微波教科书中所描述的那样,为特定的晶体管设计匹配网络非常容易,工程师仅需了解该晶体管相关偏移点的S和噪声参数即可。然而如果考虑稳定性就会出现问题。教科书中关于噪声匹配的标准设计步骤是设置输入噪声与输出增益匹配,没有太多顾及晶体管工作点的稳定。稳定性的检验通常是在设计完成后才进行。
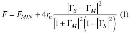
下面复述一下噪声匹配设计的"传统"方法。对于一个给定的晶体管,感兴趣的偏移点上的一组S和噪声参数Snm和N已经给出。工作频率上的噪声匹配指数ΓM(M表示最小噪声)可以由噪声参数N得出,最大增益下的负载匹配指数ΓL(L 代表负载)也能计算得到。这个过程里稳定性的问题被忽略了,只能在得出ΓL 之后加以验证。在通常的ΓS(S代表源,即晶体管的输入端) 参数下,噪声系数F通过下式计算:
![]() |
1、由1式可以看出,从应用的角度来说,F仅由输入阻抗TS 决定。FMIN, rn, 和ΓM 为晶体管所选的偏移点决定。为了得到最小的噪声系数FMIN, ΓS应与ΓM相等。
2、F与负载阻抗ΓL无关。
晶体管的稳定性可以由K因子表征,由下式计算:
![]() |
幸运的是,设计LNA时有可能做到"稳定"晶体管的工作点,总的原则是降低整个LNA的增益,这将有助于提高K因子从而稳定LNA。从电路设计的角度来看,这样做存在着以下的可能性:
1、输出失配。该方案将降低增益,提高稳定性。但这会带来下一级LNA的匹配问题,S22也有可能恶化。观察2式的分子部分容易看出,这种方法并不一定真正能增大K因子。
2、引入一定量的电阻反馈。通常的发射/源电路中,反馈一般用在基极/栅级和集电极/漏级之间。多数场合里可以利用一个电容来隔离相邻级间不同的直流电平。由于该方案同时也改变了输入参数,因此噪声参数变化较大,需要进行一定的调整。
3、输出级(集电极/漏级) 通过电阻与地相连,这会带来很多好处。比如增益会有所减小,如果阻性负载在一个合适的范围之内则能提高S22。这两种效果都会导致K因子增大。另外,该方案易于与输出偏置电路协同工作。
这项技术的第一个实例是NEC/CEL(www.cel.com) 的模型晶体管器件NE661M04的s2p文件,格式为Touchstone,其中包含噪声参数。基于该实例的器件是一款硅材料双极型晶体管,在设计LNA时能够实现无条件的稳定。
设计LNA时必须首先定义目标规格。由于该实例要体现设计阶段考虑稳定性,因而仅考虑小信号线性目标的情况:
频率:2 GHz(窄带设计)
增益(S21):16 dB
噪声系数:<1.7 dB
稳定性:无条件稳定(任意频率K>1)
通过与中心设计频率比较,在第一步中通过初步检查就能发现频率高时K因子小于1。这时如果按照传统设计步骤,仅仅设置输入端噪声匹配和输出端增益匹配,晶体管将不能稳定工作。图1和图2分别示出了ADS线性测试台和数据显示。
![]() |
![]() |
这样的特性可能导致LNA工作出现问题。如果该LNA用作第一级信号放大器,直接与天线相连,其输入阻抗就可能与天线引入的负载有关。用手触摸小型移动电话,LNB喇叭上的积雪等改变天线调谐状态、降低天线性能的举动可能影响LNA的源阻抗。当然,阻抗特性可以通过稳定性回路法验证,可是倘若LNA不是在所有频率下都能保持无条件稳定,这些环境交感将不止降低噪声指标,还有可能造成晶体管振荡,改变偏移点(多数情况下能耗增加),甚至损坏器件。于是确认LNA能否稳定工作就与整个产品的质量控制有关了。
射频工程师养成培训教程套装,助您快速成为一名优秀射频工程师...
天线设计工程师培训课程套装,资深专家授课,让天线设计不再难...
上一篇:PCB电源供电系统的分析与设计
下一篇:无需调谐的“砖墙式”低通音频滤波器
射频和天线工程师培训课程详情>>





