- 易迪拓培训,专注于微波、射频、天线设计工程师的培养
一种增大放大器增益的方法
录入:edatop.com 点击:
了解有源器件、晶体管的电学要求可以提高放大器的性能。上个月月刊的第二部分指出增加适当的稳定化处理电路可以使二极管在任何条件下都稳定,并且对于源极和负载电阻频率的任何变化都不会产生震荡。第三部分将要指出如何应用单向增益设计方法通过调整晶体管的输入和输出来获得更大的增益。
S参数是一个重要参数,该参数可以用来搜集晶体管数据,然后用这些数据预测性能,设计一个放大器电路。第一部分指出,与Z、Y、ABCD参数不同,S参数的取值不仅依靠晶体管的性能还依靠源极电路和负载电路。因为S参数测量的是发射波和反射波,这种测量主要依靠晶体管、源极和负载电路。(图1)

即使在装置端口没有真实的波导线,我们也可以应用反射系数和移动波的概念。假设输入反射系数ΓIN等于S11,ΓOUT等于S22.由于反馈的存在,这些参数可以作如下修正:对于两端网络,普通传感器的增益可用S21和S12表示,无论是不是晶体管都有如下表达式:


如果S12 = 0,则ΓIN = S11,ΓOUT = S22。此外,如果S12 = 0,则传感器增益变为:

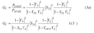
可以被分解为三个独立的增益系数:



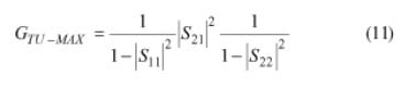
在单向假设的基础下,S12 = 0,则从晶体管获得的最大增益为:

这样可以得到全部增益(dB)(图3):

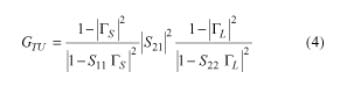
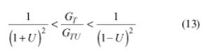
这里可以认为GS和GL增益(或损失率)是通过匹配(或故意的失配)输入、输出电路获得的。如果实际晶体管中S12 ≠ 0,则前面计算增益的方程8和9就存在误差。在这种情况下,增益GT的真实值就和计算的单向增益GTU有关了:

由于U值取决于S参数和单向品质因数,则U值随频率的变化而变化。对于晶体管2N6679A,应用表10.1-1中所示的在1 GHz处的S参数值,U计算如下:
可见,在1 GHz处晶体管2N6679A可以应用单向增益的近似值,误差不大于1.4 dB.为了获得最大增益应用单向增益设计,50Ω的源极电阻转变为ZS = ZIN*,50Ω的负载电阻转变为ZL = ZOUT*.由S参数可得:

通过增加稳定化处理单元,S参数可以得到修正。修正后的S参数必须可以用于稳定的2N6679A晶体管电路中。这种修改是很难实现的,但应用网络模拟软件却是容易实现的。修正的S参数如表1所示。


对于放大器匹配问题有很多处理方法。例如,可以应用Q匹配方法。为了把一个电阻RH转变为一个更低的阻值RL,可以在该电阻上并联一个值为RH/Q的电阻。串联等效电路的等效电阻为RL = RH/(1 + Q2)。然后,用一个符号电阻与该串联等效电阻谐振,则在1 GHz处输入电阻变为:

把50 Ω的电阻转变为更低的电阻(图4),先在该50 Ω的电阻上并联一个旁路电抗。因为最终的转化值ZS有感性部分,则该旁路电抗应选择一个电容器。当Q为1.948时,则L1的电抗为+25.667 Ω。L1可以这样得到:

正确的等效电路要求有10.43Ω的实部,由于电路的Q值不变,则虚部为+j20.32Ω。但是,电路中有一个+7.238Ω的电抗,所以这部分电抗可以用一个串联电容器C2消除。电抗C2的大小是20.32 7.24 = 13.08 Ω。电容器C2值如下:

最后的电路和性能如图5所示。

由于输出的调整,增益S21在1 GHz处的值为18.4 dB,对比稳定化(未调整)的单一晶体管(见第二部分)15.9 dB的增益,有2.5 dB的增益改进。这样稳定后的晶体管就调整了2.5 dB的失谐误差,S11的值为0.661(表1)。注意,S21是图5所示的全部两端网络的增益。
同样如表1所示,|S22| = 0.414.这就意味着由于输出失谐损失了17%的功率。为了恢复这些损失,增益应该再增加0.8 dB.调整输出端口,由表2,在1 GHz处的输出阻抗为(88.493 j46.646) Ω。50Ω的负载电阻就被转变为更为复杂的值或为:


使用Q匹配方法作用于回路,首先将50Ω这个较低电阻变换成较高的88.493Ω。这个过程起始于串联电感回路,因此L2的选择是任意的。电阻变比是88.493/50并且所需要的Q为0.877,因此L2的值为6.99 nH.并联等效电路由88.493-Ω电阻所组成,并且这个电阻被一个值为88.493/0.877 = 100.86Ω的并联感应电阻所分路。再加上一个1.576pF的电容C2,这个并联谐振频率为1GHz.一个附加的+j46.646Ω的无功阻抗用来将50-Ω的负载转换到等式22中的ZL,这龉 掏ü?。43nH的电感。L3而完成。具有单侧调谐输入输出的稳定的2N6977A放大器电路如图5所示,并附带其特性图。
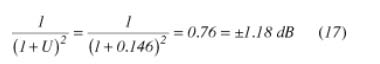
当输入输出相匹配且频率为1GHz时增益为20dB.这在所期望的最大增益19.2dB的1dB的范围内。检索灵敏度系数分析显示增益估计的误差在1.18dB和1.37dB之间。20dB的增益是一个增加超过1.6 dB输入匹配的例子。这比所期望提高0.8dB增加的更多。同时,从图5中的S11和S22的曲线可以看出输入输出匹配并不理想。当晶体管内部反馈S12,忽略时,这些不准确性出现在单侧增益方法中是可以预见的。
为了最优化性能,可能需要寻找电源和负载阻抗对,它们能在任何给定的频率下与晶体管相匹配。这种方法(同步共轭匹配)将在下个月的后续文章的第四部分提到。
作者:Joseph F. White
S参数是一个重要参数,该参数可以用来搜集晶体管数据,然后用这些数据预测性能,设计一个放大器电路。第一部分指出,与Z、Y、ABCD参数不同,S参数的取值不仅依靠晶体管的性能还依靠源极电路和负载电路。因为S参数测量的是发射波和反射波,这种测量主要依靠晶体管、源极和负载电路。(图1)

即使在装置端口没有真实的波导线,我们也可以应用反射系数和移动波的概念。假设输入反射系数ΓIN等于S11,ΓOUT等于S22.由于反馈的存在,这些参数可以作如下修正:对于两端网络,普通传感器的增益可用S21和S12表示,无论是不是晶体管都有如下表达式:


如果S12 = 0,则ΓIN = S11,ΓOUT = S22。此外,如果S12 = 0,则传感器增益变为:

可以被分解为三个独立的增益系数:


| 方程3中的单向增益(图2)公式要求知道ΓS和ΓL值。最大化GS时,ΓS值选择如下: | ![]() |
| 然后 | ![]() |
| 类似,最大化GL时,ΓL的值选择如下: | ![]() |
| 然后 | ![]() |
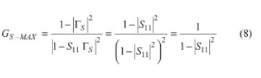
在单向假设的基础下,S12 = 0,则从晶体管获得的最大增益为:

这样可以得到全部增益(dB)(图3):

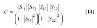
这里可以认为GS和GL增益(或损失率)是通过匹配(或故意的失配)输入、输出电路获得的。如果实际晶体管中S12 ≠ 0,则前面计算增益的方程8和9就存在误差。在这种情况下,增益GT的真实值就和计算的单向增益GTU有关了:

| 然后 | ![]() |
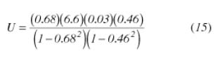
由于U值取决于S参数和单向品质因数,则U值随频率的变化而变化。对于晶体管2N6679A,应用表10.1-1中所示的在1 GHz处的S参数值,U计算如下:
![]() |
![]() |
![]() |
可见,在1 GHz处晶体管2N6679A可以应用单向增益的近似值,误差不大于1.4 dB.为了获得最大增益应用单向增益设计,50Ω的源极电阻转变为ZS = ZIN*,50Ω的负载电阻转变为ZL = ZOUT*.由S参数可得:

| 规格化 |


对于放大器匹配问题有很多处理方法。例如,可以应用Q匹配方法。为了把一个电阻RH转变为一个更低的阻值RL,可以在该电阻上并联一个值为RH/Q的电阻。串联等效电路的等效电阻为RL = RH/(1 + Q2)。然后,用一个符号电阻与该串联等效电阻谐振,则在1 GHz处输入电阻变为:
| 有必要把50Ω的源极电阻转变为ZIN*,这样 |
| 先把50Ω的源极电阻转变为10.43 Ω: | ![]() |
把50 Ω的电阻转变为更低的电阻(图4),先在该50 Ω的电阻上并联一个旁路电抗。因为最终的转化值ZS有感性部分,则该旁路电抗应选择一个电容器。当Q为1.948时,则L1的电抗为+25.667 Ω。L1可以这样得到:

正确的等效电路要求有10.43Ω的实部,由于电路的Q值不变,则虚部为+j20.32Ω。但是,电路中有一个+7.238Ω的电抗,所以这部分电抗可以用一个串联电容器C2消除。电抗C2的大小是20.32 7.24 = 13.08 Ω。电容器C2值如下:

最后的电路和性能如图5所示。

由于输出的调整,增益S21在1 GHz处的值为18.4 dB,对比稳定化(未调整)的单一晶体管(见第二部分)15.9 dB的增益,有2.5 dB的增益改进。这样稳定后的晶体管就调整了2.5 dB的失谐误差,S11的值为0.661(表1)。注意,S21是图5所示的全部两端网络的增益。
同样如表1所示,|S22| = 0.414.这就意味着由于输出失谐损失了17%的功率。为了恢复这些损失,增益应该再增加0.8 dB.调整输出端口,由表2,在1 GHz处的输出阻抗为(88.493 j46.646) Ω。50Ω的负载电阻就被转变为更为复杂的值或为:

使用Q匹配方法作用于回路,首先将50Ω这个较低电阻变换成较高的88.493Ω。这个过程起始于串联电感回路,因此L2的选择是任意的。电阻变比是88.493/50并且所需要的Q为0.877,因此L2的值为6.99 nH.并联等效电路由88.493-Ω电阻所组成,并且这个电阻被一个值为88.493/0.877 = 100.86Ω的并联感应电阻所分路。再加上一个1.576pF的电容C2,这个并联谐振频率为1GHz.一个附加的+j46.646Ω的无功阻抗用来将50-Ω的负载转换到等式22中的ZL,这龉 掏ü?。43nH的电感。L3而完成。具有单侧调谐输入输出的稳定的2N6977A放大器电路如图5所示,并附带其特性图。
当输入输出相匹配且频率为1GHz时增益为20dB.这在所期望的最大增益19.2dB的1dB的范围内。检索灵敏度系数分析显示增益估计的误差在1.18dB和1.37dB之间。20dB的增益是一个增加超过1.6 dB输入匹配的例子。这比所期望提高0.8dB增加的更多。同时,从图5中的S11和S22的曲线可以看出输入输出匹配并不理想。当晶体管内部反馈S12,忽略时,这些不准确性出现在单侧增益方法中是可以预见的。
为了最优化性能,可能需要寻找电源和负载阻抗对,它们能在任何给定的频率下与晶体管相匹配。这种方法(同步共轭匹配)将在下个月的后续文章的第四部分提到。
作者:Joseph F. White
射频工程师养成培训教程套装,助您快速成为一名优秀射频工程师...
天线设计工程师培训课程套装,资深专家授课,让天线设计不再难...
上一篇:MOSFET的谐极驱动
下一篇:几种实用的直流开关电源保护电路
射频和天线工程师培训课程详情>>









