- 易迪拓培训,专注于微波、射频、天线设计工程师的培养
MOSFET的谐极驱动
1.引言
在过去的十几年中,大功率场效应管(MOSFET)引发了电源工业的革命,而且大大地促进了电子工业其他领域的发展。由于MOSFET具有更快的开关速度,电源开关频率可以做得更高,从20kHz到200kHz甚至400kHz到现在的MHz.开关电源的体积变得更小,由此产生了大量使用小型电源的新产品。开关频率的提高加快了暂态响应速度,缩小了元件体积,提高了功率密度。但是也带来了一些问题,如高开关频率造成了过大的开关损耗,使得电源效率的降低。 [1]
然而功率场效应管(MOSFET)的驱动损耗限制了功率变换器在高开关频率下的效率。利用LC谐振技术可以降低这种损耗,而且在充放电的过程中恢复了大部分的能量,对门极电压进行了有效的钳位,而且不会限制占空比。
2.MOSFET的驱动损耗
几乎所有的现在MOSFET功率变换器都用传统的图腾柱驱动,电源VDD提供的总的能量
(1)式中Ts是开关周期,Fs是开关频率,iDD是跟随VDD的瞬态电流。这个电流会随主MOSFET的电压Vgs从0变到VDD而变化。而门极的电流总量是
公式(3)描述了一个门极驱动损耗和开关频率的关系。更重要的是它反映了两方面的问题:
1) 对于特定的应用和一个给定的VDD ,如果频率不变,那损耗的系数就不能改变了。
2) 降低门极阻抗RG(一个包含了MOSFET门极阻抗,驱动设备开通阻抗和其他配线和封装阻抗的集总参数)并不能使驱动损耗降低。一个更小的RG使充放电时间减少,但是升高了电流幅值,驱动损耗并不改变。
3.谐振驱动技术
为了降低(3)中的损耗,谐振驱动技术受到了重视,它利用一个LC电路去给MOSFET的VGS充电和放电。C是固有的门极电容![]()
L根据情况来设定。
使用门极驱动技术要考虑以下因素:
A. 高频PWM变换器需要较快的门极驱动速度
对于非谐振变换器,PWM变换器的开关损耗随着其频率的升高快速增加。首先,必需降低VGS上升下降转换时间让它维持在一个稳定的损耗水平。而且,VGS 转换时间限制了最大和最小的占空比。当开关频率变高时,同样的占空比范围需要更小的转换时间。
大部分的商用功率MOSFET管都是增强型设备(Vth>0的N沟道),一些谐振驱动的放电电压VGS会由于LC并联谐振[2][3]而降到0V以下。过多的VGS 振荡延迟了开通转换,降低了可用的占空范围,而且会有额外的 驱动能量。
B. 防止高频开关状态下的误导通
当开关管工作在高频状态造成VGS转换时间上升时,PWM变换器的开关点S电压下降速度(dV/dt)就会加快。S点在图2的同步BUCK变换器上。当有M1导通,S点的电压迅速下降,给M2的寄生电容CGD注入一个瞬态电流(iDG CGD (dV/dt))。如果iDG过高,产生了开关电压VGS,M2就会误导通[4].为了不让M2误导通,一个低阻抗的通路必须存在于它的栅极和源极之间(如图3)。

4.一种新的谐振驱动器
为了解决上面的问题,我们提出了一种新的谐振驱动器[5],如图3所示,在这个电路里面,一个互补的驱动对MDR1和MDR2和传统的驱动器一样。一个电感LR在谐振元件插入,两个二极管DDR1和DDR2用来钳位VGS和用来恢复驱动能量。开关管在开通或关断LR才会出现谐振电流,占空比的变化不影响电路工作。而且,当二极管恢复驱动能量时,就提供了一个相应的低阻抗通路。
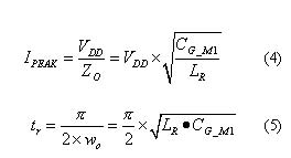
我们根据图3b的波形来解释一下这个电路。在一开始的时候VGS=0(t<t1),两个驱动管都是关断的,电感电流为零。在t1时刻,MDR1开通和一个电压脉冲出现在MDR1和MDR2的连接点。这时候电感电流 iLR和电容电压开始上升,直到在t2时刻,当VGS_M1=VDD和iLR=IPEAK 这个过程结束。如果谐振电路的品质因数Q足够高,IPEAK和上升时间tr=t2-t1计算出来。
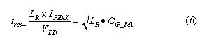
CG_M1是一个相等的门极电容M1,ZO是谐振电路的特征阻抗,WO是谐振频率。在t2到t3这个时间,VGS_M1被DDR1和iLR钳位在VDD.在t3时刻 MDR1关断,能量恢复过程初始化:电感电流导通了体二极管MDR2,电流通路MDR2—LR——DDR1—VDD.稳态电压VDD穿过LR时,电感电流的减少是线性的,恢复时间trec(=t4-t3)可以简单表示为
在时间t1到t2 ,从直流电源VDD转换到谐振电感的能量为![]()
,门极电容的能量为![]()
。这些能量在时间t3~t4会返回给电源VDD。因为能量反馈的原理,图3的电路能量损耗比传统的门
极驱动要小。在t5到t6这段时间,谐振出现,电容能量![]()
转换到电感中![]()
,t6到t7只是能量的续流,最后t7到t8电感能量回给电源。

这个电路和传统的驱动电路相比有以下优点:
驱动能量可以在充放电转换过程中恢复。在上文已经提到这个问题,这个可以通过更详细的计算来说明这一点,RG是阻值,包含MDR通态阻抗和LR的寄生电阻,主MOSFET M1的门极阻抗和其他配线的电阻,充电谐振过程中暂态电感电流iLR为

VGS钳位提供了快速启动和优化的过驱动电压,二极管DDR1和DDR2 不但起能量恢复的作用,而且把VGS钳位在0或者VDD,防止过驱动。对于给定功率的MOSFET,图3中的驱动速度主要从谐振电感LR决定。选择小的LR可以提高的转换速度,增大能量了损耗。对于多数的高频应用,MOSFET上升/下降时间由最大上升时间决定。在这样的情况下,LR的选择要满足以下要求![]()
5.实验结果
按图4(a)进行实验 M2驱动管用ZETEX公司的ZXMD63C02X 其N沟道源漏极通态阻抗为0.13欧,P沟道源漏极通态阻抗为0.27欧。M1 主开关管用Vishay Sliconix公司的Si7442DP,源漏极通态阻抗为2.6毫欧,门极阻抗为1.2欧。当LR=470nH时,实验波形如图4(b)所示,第一个波形D是功率MOS管的占空比驱动波形,第二个是谐振电感LR的波形,第三个是MOS管源极和栅极的电压。这些波形和图3的波形基本一样。最后一个波形是驱动的损耗,并用选择不同的电感进行比较得出的结果,选择合适的谐振电感可以有效降低驱动损耗
5 结论
随着PWM开关频率的提高,一个很小的电感可以用在现在的谐振电路上,使得把谐振驱动电路做成集成电路成为可能。而软开关技术的发展使得主开关管得开关损耗进一步减小,在小功率的电源中开关管的驱动损耗将会成为不可忽略的损耗之一。要进一步提高电源效率,驱动损耗不能忽略,相信谐振技术将会在驱动芯片中广泛应用。
参考文献
[1] 杨勇 "如何降低MOSFET的开关损耗"电工技术杂志 1995 (4) 31-33
[2] S. H. Weinberg, "A novel lossless resonant MOSFET driver," in Proc.Power Electron. Spec. Conf., 1992, pp. 1003–1010.
[3] I. D. de Vries, "A resonant power MOSFET/IGBT gate driver," in Proc.Appl. Power Electron. Conf., 2002, pp. 179–185.
[4]B. Razavi, Design of Analog CMOS Integrated Circuits. New York:McGraw-Hill, 2001,pp. 166–169.
[5] I Yuhui Chen "A Resonant MOSFET Gate Driver With Efficient Energy Recovery"IEEE TRANSACTIONS ON POWER ELECTRONICS. 2004 2(3) 473-476
射频工程师养成培训教程套装,助您快速成为一名优秀射频工程师...
天线设计工程师培训课程套装,资深专家授课,让天线设计不再难...
上一篇:一种基于I2C总线的新型可编程增益放大电路的设计
下一篇:一种增大放大器增益的方法

