- 易迪拓培训,专注于微波、射频、天线设计工程师的培养
基于TDA4863-2的单级PFC反激LED电源设计与仿真
1 工作原理分析与设计
1.1 TDA4863-2芯片简介
TDA4863-2是英飞凌半导体公司(Infineon)推出的一款功率因数校正(PFC)控制器[1]。它工作于准谐振模式,功率因素可以达到接近1,启动电流小,内部集成图腾柱可以驱动大电流MOSFET。TDA4863-2嵌入了电流总谐波失真(THD)优化电路,在全电压输入条件下也可以有效控制AC输入电流的交越失真和误差放大器的输出纹波失真,从而提高功率因数,降低输入电流总谐波失真。该芯片主要应用于前级PFC校正电路,本文中将其应用于单级PFC反激架构。
1.2 基于TDA4863-2单级反激LED驱动电源设计与原理分析
TDA4863-2的单级PFC反激电源原理图如图1所示,交流电压经过EMI和整流单元后流入电容C1,电容C1的容量可以选择很小的金属化薄膜电容,使得C1两端的电压100Hz/120Hz波形(取决于输入电压频率),该电压可近似表示为:
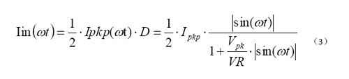
其中θ=ωt, VPK为输入电压与2的平方根乘积。

图1:临界模式单级PFC反激式电路结构图
[p]
该电压经过R5,R6电阻分压后流入IC的MULT脚,该电压与COMP脚的信号的乘积为内部乘法器的输出信号Vref。乘法器输出的信号也是经增益系数变换后的全波整流正弦半波(误差信号),而且被用作输入电流的参考。
在开关管导通时刻,初级绕组NP中的电感电流IPKP线性上升,CS引脚检测R19电阻电压,当R19两端电压Vs上升到Vs=Vref时,此时R19两端电压Vs=IPKP*R19,GD输出低电平信号,使开关管Q4关断,则

在图2中的波形,Vref是乘法器输出信号,该信号被送到内部比较器同相输入端,负相输入端则连接到CS端,当GD输出高电压时,MOSFET导通,电感电流斜升,直到信号达到Vref的电平。在此点上,内部逻辑电路会改变状态并使GD输出低电平,断开MOSFET,电流斜降直到降为零。ZCD零电流检测电路则测量辅助绕组(Nb)两端的电压,当它的电压降到ZCD阈值1.5V时,在此刻,GD输出高电平信号,电流再次斜升.
由图2可以看出,初级电感电流是三角波变化,峰值电流包络为正弦波,整流桥后的电流是整个开关周期的每个三角波的平均值,则其大小表示为[2]:

设K=Vpk/VR,D为占空比,VR为反射电压=匝比(N)*(Vout+VF)
由式(3)得知,当K为0时,Iin(wt)为正弦波,但随着K的增大,Iin(wt)偏离正弦波越严重。反激拓扑即使在理想情况也不可能使功率因素为1,由于K为0,那么反射电压VR则需要为无穷大。也可以从式(3)得知,若要得到更高的功率因素,则需要更高的反射电压VR,即增加变压器匝数比N=NP/NS,但由于MOSFET的应力问题VR的设计需要适中,使MOSFET的额定电压必须高于VDS电压。本设计中匝比n=3.8,反射电压约为190V,故选择800V的MOSFET。

图2:临界模式变压器中的初级电流变化
[p]
2. 恒流反馈分析
本设计中的恒流反馈区别于常见的恒流反馈,如图4所示。此反馈设计相比传统使用CV/CC IC设计的恒流反馈电路有以下优点,其一减少元件器个数降低BOM的成本,其二反馈响应时间快无过冲,其三此设计具有短路保护功能,在输入300VAC时,若输出短路,测得输入功率小于1.8W,波形如图3所示。次级绕组电流升高,电流互感器检测此电流高于预设定值时,CT1的Vo端输出高电平送到IC的INV脚,MOSFET关断(见图3)。其工作原理是使用一个电流互感器检测二次测绕组的三角波电流,经过整流滤波后送到TDA4863-2的INV引脚进行精确的电流控制。

图3:300Vac输入时输出短路保护波形

图4:输出整流滤波和恒流反馈电路
[p]
3. 电流互感器设计
根据电流互感器特点,一般选择高 材料的磁芯,使激磁电流尽量小。原边通常选择1匝方便作业,Ns增加,电流互感器误差减小,取样电阻的损耗也减小,但随着Ns地增加,成本也会增加。
已知条件: Vo=2.5V IP=1A
设:NP=1T Ro=250欧
根据公式NS=IP*NP/IS Is=Vo/Ro
计算得:Ns=100T
4.实验测试及仿真数据
本设计中的输入从85Vac到300Vac,输出功率约48W,工作电压约为48V,输出电流约1A。在标准负载条件下,如图5所示可以看出两者之间是非常近似,且输入的电流波形是基本呈正弦波。从图6看到该电源从85V到300V输入均获得较高的功率因素且较低的THD以及很高的效率,电流精度误差小于+/-5%。输入电压越低,PF越高,THD越小,与式5理论分析吻合,可以看出越低的输入电压,Iinθ越接近正弦,THD越小,PF就越高。

图5:300Vac输入的电源仿真及实验测得波形图

图6:85VAC-300VAC电压输入的电源输出特性
5.结语
本文介绍了基于TDA4863-2为核心的单级PFC反激架构LED驱动电源,并对其工作原理及如何实现功率因素进行了理论分析,并且以图1的原理图创建了一个基于SIMetrix/SIMPLIS仿真平台的模型进行了系统仿真。该电源电路结构简单,通过样机实验及仿真分析,验证了该方案在85Vac-300Vac输入电压范围内,具有高功率因素、高效率、低THD以及良好的线性调整率和负载调整率,可以很好地满足EN61000-3-2的电流谐波分量等技术要求.
参考文献
[1]Infineon PFC controller TDA4863-2, http://www.infineon.com 2003
[2] T. F. Pan, H. J. Chiu, S. J. Cheng, and S. Y. Chyng, “An improved single-stage Flyback PFC converter for high luminance lighting LED lamps,” The 8th International Conference on Electronic Measurement and Instruments, vol. 4, pp. 185 - 215. Aug. 2007.
作者:梁晓军,英飞凌科技(中国)有限公司
射频工程师养成培训教程套装,助您快速成为一名优秀射频工程师...
天线设计工程师培训课程套装,资深专家授课,让天线设计不再难...
上一篇:汽车电子中的LED高效热管理
下一篇:微型能量收集技术将无电池应用变为现实

