- 易迪拓培训,专注于微波、射频、天线设计工程师的培养
无线建筑自动化系统中的高效能电源管理
今日许多现代建筑自动化系统皆仰赖无线连接,不仅可简化安装程序,亦适合快速调整与扩张,不过省去线路的同时,设计师需要以电池供电,却又因为得定期更换电池,影响整体系统成本。这些系统的难处在于打造高效能电源管理方案,除了延长电池寿命,在攸关生命安全的应用中,更得确保运作稳定。
概述
根据2013年「市场与市场」预估及其他数据源,由于人们追求让工作与生活空间变得更安全、更舒适、更有效率,全球建筑自动化市场将在2018年增至近500亿美元。
这块市场扩张部分原因在于无线传感器问世,故可轻松安装、扩大与调整,安装成本一大部分在于人工架设线路与铜价上扬,无线自动化基础架构可大幅压低成本,却也为系统拥有者增加一项长期成本,因为没有线路后,系统必须仰赖电池运作。
电池替换成本不一,且依据传感器所在位置(如6公尺高的天花板或难以触及地点),可能需要大量劳力。在理想世界中,电池在传感器使用年限内永远不必更换,但受限于电池化学反应老化或老旧传感器耗电,这种想法不切实际,故多数无线建筑自动化系统里,电池寿命5年为基本要求,10年至15年则较具优势。
减少能源损耗
设计师可透过多项领域,延长电池替换期限,首先了解需要传感器运作的射频环境,通常是与其他传感器共组成网络,在网状结构中,部分传感器为终端或中继器。
由于射频传输是传感器最大耗能来源,此种配置可提高能源效能,藉由降低传输耗能与透过路由器重复讯息,可形成极低功率网络,此种拓朴通常用于以IEEE 802.15.4为基础的无线网络,例如ZigBee或6LoWPAN。
在ZigBee等网状结构中,如何同步是一项问题,路由器节点必须随时待命,若节点发出讯息,或是讯息送至节点,将会(先储存)再转发至其他可用节点。
在超低功率装置内,休眠模式会大幅降低用电量,包括射频接收器等装置内多数区块都暂停运作,此时路由器节点必须通电(例如使用交流电),以监控休眠节点在运作时发出的讯息,故用电量相当不对称,传感器节点耗能极低,并长期休眠,而路由器节点(也可能是传感器)持续供电,并维持接收器运作。
若希望在超低功率网络中,省略以线路供电的路由器,定时必须非常精准,但此举可能提高每个节点的成本与复杂度,整个网络必须在极短时间内苏醒、沟通、再次休眠,每次周期之间距离愈长,定时需求就愈高,若网络内某个节点未赶上同步,就得持续运作,直至下次苏醒周期再重新同步,这种情况必须尽可能避免在电池供电网络内发生。
在最实际的无线网络中,路由器持续由线路或以太网络供电,而节点在电池供电情况下,必须尽可能提高效能,通常微控制器会关闭无线电及所有非必要装置,而传感器也将关闭所有模拟前端电子设备。
[p]
之后微控制器进入低功率模式,仰赖定时器定期苏醒、启动系统、传送各项讯息,再进入休眠模式。
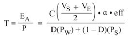
工作周期将决定用电量,以下算式依据休眠与苏醒的用电量,估算电池寿命:

运作时间(T,单位小时)取决于工作周期,由可用能源(EA,单位瓦时)除以用电量(P,单位瓦特),算式亦可进一步扩大。
容量(C,单位安培-小时),VS与VE分别为放电起点与终点电压,PW与PS分别为苏醒周期与休眠周期的用电量(单位瓦特),D为苏醒阶段的工作周期(零至一)。而在使用年限超过五年的应用情况中,降额定值因子α则用来调整电池容量损耗;电源转换器效能(eff)会影响表现,因此也得纳入考虑,通常效能范围介于80%(eff = 0.8)至95%(eff = 0.95)之间。
这项设计其中一部分会做电源来源的选择,此电源必须在延续10年至20年后效能仍不会大幅衰减,以及在低功率条件下维持高效能的电源转换器(如切换稳压器),前者可选用锂亚硫酸氯电池(Li/SOCl2),这种产品自一九七零年代问世至今,电池寿命极长(10年至25年以上),也应用在偏远电表及其他电池供电无线系统中,一般电压为3.6 V,且运作温度范围较大(–55℃至125℃)。
若使用单一锂电池,传感器节点设计可能让输出从3.0 V至3.6 V区间提高到5.0 V,或是使用TPS63001等升降压转换器,维持输出在3.3 V,并在升降压情况下最高提供800 mA。这项特点相当重要,因为射频发送器可能需要大额瞬间电流,况且在休眠周期里,转换器大多无负载,必须能自动进入脉冲频率调变或其他脉冲省略技术,才能转换电源。
微控制器即便进入低功率模式,在休眠周期内仍会持续运作,也依然会造成能源损耗。但至少定时器必须随主核心关闭,以节省能源。不过即使是这种配置,仍可能出现少量毫安,纵然是MSP430等顶尖低功率微控制器,在备用模式还是需要约0.3 μA的电流。
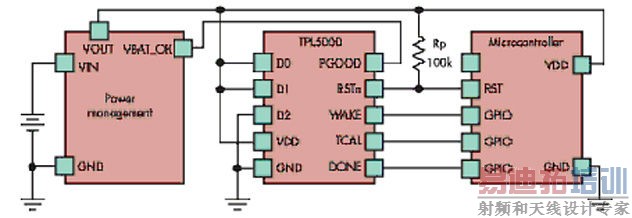
新式解决方案采用针对长休眠期特制的定时装置,德州仪器TPL5000具备可编程分配器,提供最高间隔64秒的苏醒脉冲,运作时用电量仅30 nA,在极长休眠周期下,最多能为电池供电的无线传感器延长两年使用年限。(请见下图)

结论
随着电池供电的无线网络日渐增加,安装者与拥有者希望延长电池寿命,甚至在网络使用年限(25年以上)内,完全不需更换电池,锂亚硫酸氯电池、脉冲频率调变转换器、新式奈米耗能长周期定时器均可在休眠周期内,维持极低用电量,让无线建筑自动化系统超越有线系统。
Richard Zarr为德州仪器技术人员,专精于高速讯号与数据路径技术,工程实务经验超过30年,并曾在世界各地发表多篇论文与专文,他是IEEE会员、南佛罗里达大学学士,拥有多项LED照明与密码学专利。
射频工程师养成培训教程套装,助您快速成为一名优秀射频工程师...
天线设计工程师培训课程套装,资深专家授课,让天线设计不再难...
上一篇:微型能量收集技术将无电池应用变为现实
下一篇:电源设计小贴士之了解寄生电容器

