- 易迪拓培训,专注于微波、射频、天线设计工程师的培养
基于SE1051的反激变换器系统解决方案
在反激变换器的输出端,即变压器的次级线圈端,被采样后加以控制初级线圈开关的的信号可以是输出电压,也可以是输出电压和输出电流。随着手机充电器等电路的输出趋于标准化,输出电压和输出电流同时被采样,从而达到恒压、恒流输出已经成为一种趋势。在以往的电路中,可以通过SE431D和一个三极管实现对输出电压的恒压、恒流控制,如图2所示:SE431D通过采样电阻网络采样输出电压的信号、三极管Q1基极-发射极之间的电阻R1采样输出电流的信号,当SE431D的R端电压超过2.495V(±0.5%)时,SE431D的C极产生下拉电流,光耦器件被导通,初级线圈开关断开,恒压功能被实现;或者电阻R1两端的电压超过VBE(700mV)时,三极管Q1的发射极产生下拉电流,光耦器件被导通,初级线圈开关断开,恒流功能实现。但是三极管的基极-发射极导通电压精度很低,并且随温度增加而下降,下降速度大约为-2mV/℃,因此上述结构虽然简单,但是对恒流功能的实现并不准确;并且由于三极管Q1没有独立的电源引脚,因此在反激变换器启动的时候,输出电流是不能被控制住的。因此,该类电路不适合应用于高性能的反激变换器中。
另外一种可以同时精确地控制输出电压和电流的典型解决方案如图3所示。图3用SE431D产生两个基准电压作为参考,并用两个集成运算放大器通过参考电压分别控制电流回路和电压回路。从图3中不难看出:由于两个385和SE431D分别需要偏置电压,需要有两个电阻R1、R2为它们提供偏置;电流控制回路和电压控制回路均需要电阻反馈网络,并且两个385的输出需要级联电阻保护光耦器件;而且两个控制回路至少需要Rc1、Rc2、Rc3和Cc1、Cc2、Cc3来补偿,因此这种结构会增加次级电路的复杂程度、同时增加了的集成电路和分立器件数目也相应的增加了成本和PCB板面积。
SE1051可以同时实现对反激变换器的输出的恒压、恒流控制,上述两种电路都有所降低;而且由于SE1051采用了更小的SOT23-6L的封装,PCB板的面积也可以适当减小,这使得PCB板的设计更加灵活、高效。同时,由于SE1051内部集成了高精度电压参考源,并且参考电压值与环境温度无关,因此可以同时实现更为精确的恒压、恒流控制。SE1051在反激变换器中的一种应用电路如图4所示,在SE1051中,两个跨导运算放大器可以实现“线与”的功能。
SE1051应用方案分析:
1. 恒压、恒流控制
如图4所示,输出电压控制回路是由一个跨导运算放大器、R1和R2构成的电阻取样网络、光耦器件U1和次级电感线圈构成的。负反馈原理使得SE1051的Vctrl端等于跨导运算放大器的正向输入端电压,Vref=1.21V。因此为得到相应的输出电压Vout,取样电阻R1和R2的关系应该为:
为了阻止电阻取样网络在初级线圈开关导通时次级输出电容过度放电,R1和R2应该取比较大的值。在手机充电器应用中,电阻网络的和大于100K是个合适的选择。例如在输出电压Vout=5V的电路中,取R2=100K,因此R1=31.9K。
负载电流控制回路是由第二个跨导运算放大器、采样电阻Rsense、光耦器件U1、二极管D2和次级电感线圈构成的。当该跨导运算放大器的负端Vsense大于正端电压时,运算跨导放大器从输出端OUT吸入电流,由于两个跨导运算放大器的输出具有“线与”的功能,光耦器件U1导通,次级输出实现对输出电流的恒定限制。第二个跨导运算放大器的参考电压V2是由Vref通过芯片内部的电阻取样网络得到的,取样电阻网络的最低点平节点作为引出端口与二极管D2的阳极相连,SE1051的Vsense与GND相连,Vsense与Ictrl之间并联取样电阻Rsense。
p style="text-align:center">
图 1 反激变换器原理图

图 2 采用SE431D和三极管实现恒压恒流控制电路

图 3 两个385和SE431D组成的恒流、恒压控制电路

图 4 一种SE1051在反激变换器中的恒压、恒流控制方案
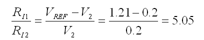
在SE1051中,当Ictrl端接地时,第二个跨导运算放大器的参考电压V2被设置到200mV。由此可以求出SE1051内部取样电阻网络RI1、RI2的比例关系为:
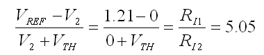
当次级电路的负载电流流过电阻Rsense时,Ictrl的电压开始下降,当电压下降到阈值电压VTH时,V2电压下降到Vsense端口的电压,跨导放大器输出低点平。可以求出在SE1051种VTH的值为:

如果想限定次级最大负载电流为Ilim,Rsense的值应该是:
例如如果需要次级最大负载电流为1A,那么取样电阻Rsense=240Ω。需要注意的是,在次级电路输出最大电流时,取样电阻Rsense上的瞬时功耗为:
因此在适配器、手机充电器等反激变换器电路应用方案中,Rsense应该是一个可以承受1/4W甚至是1/2W的功率的电阻,从而能够为电流取样功能提供足够的裕度。
2. 频率补偿
为了限定反激变换器的初级线圈的开关震荡频率,同时为了防止反激变换器发生震荡,在任何的反激变换器中,频率补偿都是必不可少的。由于两个跨导放大器的负向输入端和输出端都被引出到芯片的引脚上,SE1051可以同时直接对电压控制回路和电流控制回路提供了进行频率补偿的可能。用户可以根据自己的应用电路的特点和需求,方便、灵活的实现频率补偿。
例如在图4所示的电路中,CVC=0.1uF,RVC=100KΩ,CIC=22nF,RIC=2.2KΩ可以成为一个比较合适的选择。
3. 启动时的短路保护与输出电压限制
在反激变换器启动的瞬间,次级线圈没有接收到足够的能量,同时次级电容处于充电状态,如果SE1051的VCC端口与次级滤波电容相连,那么它很可能没有被提供足够的供给电压。因此,在启动的瞬间,过流保护的功能应该由初级线圈的PWM开关实现。
如果某些反激变换器的初级电路不能在启动时实现过流保护或者限制的功能,那么次级电路的输出电压和SE1051的供给电压应该被分开提供。这种想法可以有很多种实现方式,其中一个较普遍的实现方式是SE1051由次级线圈为其单独供电,如图4所示,在次级线圈的同向端加入串联一个二极管D3,由二极管的阴极接入SE1051的VCC端口,为其供电。
在这种供电模式中,在输出电压的基础上,又有另外半个周期的能量被送到了SE1051的输入端。因此SE1051的输入端VCC电压为整个次级电路输出电压的2倍。SE1051可以承受18V的电压,因此如果SE1051被应用到图3所示的电路中,在可以实现启动过流保护的同时,能输出最大9V的输出电压。
4. 可靠性分析
SE1051极大地简化了手机充电器等反激变换器的设计,它可以大大减少分立元器件的数目。图3所示的基于两个独立运算放大器的设计需要至少23个元器件,而基于SE1051的设计只需要13个元器件。元器件的减少不仅会降低成本,而且能够提高系统的可靠性。在由多个元器件组成的系统中,任何一个元器件的损坏或者老化都会影响到整个系统的性能甚至是功能。例如,如果图3中每一个元器件老化或者损坏的几率是0.02%(200ppm),那么这23个元器件组装成系统后,系统可以正常工作的几率为:
这也就是说,系统发生故障的几率为0.46%。但是如果系统仅由13个元器件组成,那么在相同的条件下,系统发生故障的可能性可以下降到:
因此,由SE1051组成的反激变换器解决方案在降低成本的同时,也实现了高可靠性。
本文小结
由SE1051组成的反激变换器的次级电路可以容易地实现对输出的恒压、恒流控制,并以其控制精确、频率补偿简单、外部元器件少,同时可靠性高等特点,领先于其他的次级电路解决方案。
作者:郭越勇
IC设计工程师
北京思旺电子技术有限公司
射频工程师养成培训教程套装,助您快速成为一名优秀射频工程师...
天线设计工程师培训课程套装,资深专家授课,让天线设计不再难...
上一篇:测量微安至安培级电流,或将功耗降低
99%,由你定!
下一篇:手持式电子设备中实现LCD和电视信号同时输出的QuickLogic
X/Y交换设计

