- 易迪拓培训,专注于微波、射频、天线设计工程师的培养
原边反馈AC/DC控制芯片中的关键技术
在省去了这些元器件之后,为了实现高精度的恒流/恒压(CC/CV)特性,必然要采用新的技术来监控负载、电源和温度的实时变化以及元器件的同批次容差,这就涉及到初级(原边)调节技术、变压器容差补偿、线缆补偿和EMI优化技术。
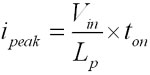
初级调节的原理是通过精确采样辅助绕组(NAUX)的电压变化来检测负载变化的信息。当控制器将MOS管打开时,变压器初级绕组电流ip从0线性上升到ipeak,公式为
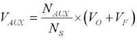
。此时能量存储在初级绕组中,当控制器将MOS管关断后,能量通过变压器传递到次级绕组,并经过整流滤波送到输出端VO。在此期间,输出电压 VO 和二极管的正向电压 VF 被反射到辅助绕组 NAUX,辅助绕组 NAUX 上的电压在去磁开始时刻可由公式
表示,其中VF是输出整流二极管的正向导通压降,在去磁结束时刻可由公式
表示,由此可知,在去磁结束时间点,次级绕组输出电压与辅助绕组具有线性关系,只要采样此点的辅助绕组的电压,并形成由精确参考电压箝位的误差放大器的环路反馈,就可以稳定输出电压VO。这时的输出电流IO由公式
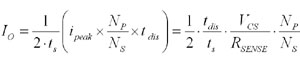
表示,其中VCS是CS脚上的电压,其他参数意义如图1所示。这是恒压(CV)模式的工作原理。

图1 原边控制应用框图及主要节点波形图。
当负载电流超过电流极限时,负载电流会被箝位在极限电流值,此时系统就进入恒流(CC)模式,这里对IO的公式需要加一个限定条件即,即去磁时间与开关周期的比例保持一个常数,这样在CC模式下的输出电流公式变成了
,其中C1是一个小于0.5的常数,VCSLMT是CS引脚限压极限值。
在使得去磁时间与开关周期的比例保持一个常数后,输出的电压和电流就都与变压器的电感值无关了,因此在实用层面上降低了应用方案对同批次电感感值一致性的要求,从而降低了大规模生产加工的成本。
[p]
与此同时,原边反馈系统还会面临线缆压降的问题。因为系统不是直接采样输出端(次级绕组整流后)的电压,而是通过采样辅助绕组的去磁结束点的电压来控制环路反馈的,因此,当输出线较长或者线径较细时,在负载线上会存在较大的内阻(例如在充电器方案中)。在负载电流变化较大的情况下,输出线的末端电压也会有较大变化。在CV模式下,这种变化在某些场合是不能接受的,因此,原边反馈驱动芯片还应该提供对线缆压降补偿的功能,这个功能通常是通过在INV脚上拉一个小电流来实现的。通过预估补偿值来调节连接在INV脚上的分压电阻的总阻值(分压比例不变),从而补偿不同负载线型和负载大小带来的线缆压降,以维持CV曲线的水平性(如图2 中的CV曲线)。

图2 原边反馈AC-DC控制器的工作模式示意图。
此外,一款好的原边反馈AC-DC控制器还应该具备优秀的EMI特性,对于传导和辐射这两方面的干扰都应该尽可能降低,目前常见的做法是采用抖频技术和驱动信号柔化技术。抖频技术是指在开关频率的基频基础上引入一个小幅度的频率变化值,以此来降低在开关频率点上的频谱能量强度,优化EMI特性。而驱动信号柔化技术则是指将驱动MOS管栅极的驱动信号的开启沿(上升沿)变得比较平滑,以减小MOS管开启瞬间的能量传导和辐射,从而进一步优化EMI特性。
芯联半导体推出的CL1100就是一款具备初级(原边)调节技术、变压器容差补偿、线缆补偿和EMI优化技术的原边反馈AC-DC控制器,并且具有多种保护功能,例如软启动、逐周期的过流保护(OCP)、CS采样端前沿消隐(LEB)、以及过压保护(OVP)和欠压保护(UVLO)。实测的CL1100的恒压/恒流特性曲线如图3所示,该芯片可将恒压/恒流精度都控制在±3%之内。

图3 CL1100的实测CV/CC拟合曲线。
本文小结
随着小功率隔离AC-DC应用向更低成本和更小体积的趋势发展,原边反馈方式的AC-DC控制芯片应运而生。为了满足高精度的恒流和恒压应用要求,原边反馈控制芯片采用了初级(原边)调节技术、变压器容差补偿、线缆补偿和EMI优化技术。这些技术的采用保证了原边反馈方式的AC-DC控制芯片对于应用电源范围,不同特性的负载以及元器件批次容差都具有了很强的适应性,因而成为一种可以广泛应用于不同场合的控制技术。
陈瑶,陈畅,边彬
芯联半导体有限公司
射频工程师养成培训教程套装,助您快速成为一名优秀射频工程师...

