- 易迪拓培训,专注于微波、射频、天线设计工程师的培养
采用纵向智能功率IC设计功率因数校正变换器
中国民用电网系统功率因数普遍较低,不但会增加变压器及输电线路的损失,同时也影响变压器及线路容量利用率。本文针对照明应用提出一个简单经济的有源功率因数校正电路,利用该方案可以大大提高电路功率因数,同时它还适合任何输出功率恒定的其它场合。
从2001年1月起,所有吸收电流小于每相16A的电子设备要获得CE标志都必须执行欧洲关于谐波的标准EN61000-3-2[1],这个标准旨在限制谐波污染,提高配电系统的效率。谐波污染是指功率因数低,以及总谐波失真(THD)大。带有电容滤波器的输入二极管整流器是功率电子器件中常见的污染电路,虽然已有多种技术可以降低有源或无源低频污染,但要找到一种成本低尺寸小的解决方案却并不容易。
下面我们将针对照明应用提出一个简单经济的解决方案,该方案采用智能功率集成电路VK05。VK05专门开发用于半桥电子镇流器电路,采用纵向智能功率专利技术,在发射极开关(共射-共基)结构内集成了单片功率双极结型晶体管(BJT)和场效应MOS晶体管。VK05的内部结构如图1所示,它外部有5个连接引脚,采用SO-8封装,提供3个控制引脚,分别是用于启动电子镇流器的diac,用于自驱动半桥同步开关的sec和用于频率设置的osc;其功率级由一个BVces=600V、IC=400mA的高压功率双极结型晶体管(BJT)和一个Vds=60V的低压功率场效应MOS晶体管组成。
应用说明
典型的电灯镇流器如图2所示,半桥通过一个桥式整流器和一个电容滤波器连接主电源。因为主电源输出电流只有在整流电压高于电容器直流总线电压时才会流动,所以波形失真是这种电流的特征之一。
通过一个无源滤波器可以修整电流波形,然而它不得不滤除功率因数接近1的低频成份(50-60Hz),所以这种方法会造成产品体积庞大;全有源解决方案虽然性能较好,但需要复杂的逻辑控制和反馈电路。因此居于有源和无源中间的解决方案能够提供兼容特性,降低功率因数校正电路的成本。
VK05系列具有输出功率和开关频率恒定等特性,可以为照明应用提供功率因数校正器(PFC)解决方案。该PFC电路基于增压拓扑结构,以断续导通模式(DCM)工作(图3),驱动电灯的半桥电路通过连到Sec引脚的同步信号设定开关频率,占空比D由连接Osc引脚的电容器来设定,最大值为50%。利用电阻RD可以改进电路的谐波性能,为输入电压增加一个前馈,这样做会使占空比D随交流电压提高而降低。
尽管该电路也有一些缺点,如电压跟随配置在很多应用中可能会有很大影响,另外断续导通模式(DCM)结构本身使功率器件受到较高应力,但是该电路能将功率因数(PF)从0.7提高到0.97,而且总谐波失真度低到20%,所以它仍然具有优异的性能。
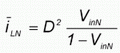
连续导通模式(CCM)里增压变换器可以控制,以便实现几乎正弦电流吸收,断续模式工作原理则有所不同,其输入电流与输入电压不成正比,因此功率因数低于1[3]。不过这种方法还是能满足低频谐波标准,如EN61000-3-2 C类标准。通过式(1)可以计算标准输入平均电流:

其中额定因数定义为VN=VOUT,RN=2LFS,IN=VN/RN,Vin是输入电压。只要变换器以DCM模式工作式(1)就成立,DCM有下列限制:

根据式(1),在占空比恒定时因式(1)分母中的时限1-VinN,输入平均电流与输入电压不成正比。通过在不断提高的瞬时输入电压值上降低占空比,可以得到更小的输入电流失真,这也是图3电阻RD产生的前馈作用效应。当COSC电容电压变得与内部基准电压VREF相等时,发射极开关器件开始关断,开关间隔时间就可以确定。通过下式可计算出COSC电容充电阶段的时长:


其中Veq=2VREFRD/(R+RD)+VinR/(R+RD),τ=RCOSC,R是内部充电电阻,开关导通的实际长度是电容充电时间ton1和开关贮存时间tSTO之和,如式4所示:

因此将式(4)代入式(1),可以确定平均输入电流:

其中,α=RD/(R+RD),TS是开关时长。根据式(3)和式(4),当输入电压为零时,通过设定最大占空比Dmax(0.5),可以得到正确的COSC电容。于是我们有:
其中fS是开关频率。只要电容COSC一经选定,就应马上选择电阻RD在线路半周期内满足DCM条件(式2)。由于ton时间取决于输入电压Vin,所以必须用数字方式验证该条件。
举例来说,根据式(1)利用下列参数计算电流:Vin=230VRMS,Vout=400V,L=1mH,fS=50kHz,Pin=27W,Dmax=0.35。不难看出,计算结果THD=15.3%和PF=0.988均符合标准。图4显示了输入平均电流与EN61000-3-2 C类标准限制比较情况。
实验结果
考虑前面论述的性能我们开发出一个原型芯片,通过实验对电路的重要特性如成本及复杂性进行了验证。
图5显示了一个内置电容滤波器的标准桥式整流器输入电压和电流,图6则是使用VK05器件对电路进行改进后所产生的相同波形,可以证明该智能器件能为应用带来可靠性。在接近输入电压零交越位置,我们可以看见能够忽略不计的电流失真,以前的仿真结果已经预见了这些结果。
本文结论
VK05智能功率IC是一种适合照明应用的低成本有源功率因数校正器解决方案,由于只需要一个外部电容器和一个电阻器就能使智能功率器件在基于增压的功率因数校正电路中工作,因此利用VK05这些特性可使变换器降低复杂性和成本。
参考文献:
[1] N. Aiello, G. Di Stefano, "A New Self-oscillating Power Converter Topology to Drive Compact Fluorescent Lamp", PCIM 2001 Nuremberg.
[2] IEC 1000-3-2, First Edition 1995-03, Commission Electrotechnique Internationale, 3, rue de Varembé, Genève, Switzerland.
[3] K. H. Liu, Y. L. Lin, "Current Waveform Distortion in Power Factor Correction Circuits Employing Discontinuous-Mode Boost Converters," IEEE PESC 1989, pp. 825-829.
作者:N. Aiello
Email: natale.aiello@st.com
作者:F. Gennaro
Email: francesco.gennaro@ st.com
意法半导体
射频工程师养成培训教程套装,助您快速成为一名优秀射频工程师...

