- 易迪拓培训,专注于微波、射频、天线设计工程师的培养
基于半桥LLC谐振变换器的多路输出辅助电源设计
0 引言
随着电力电子技术的发展,稳定、可靠、低EMI成为对辅助电源最基本的要求。本文详细介绍了一种多路输出,而且相互独立的新型辅助电源的设计方法。
设计采用AC/DC-AC/DC的变换方案。不控整流后的直流电压经过半桥变换电路逆变后,由高频变压器隔离降压,最后通过整流输出直流电压。为了满足对辅助电源的要求,系统主要由基于半桥LLC的谐振变换器,交流母线和全波整流组成。主电路采用零电压准谐振变换器控制芯片UC3863控制。
l 主电路及其控制电路
根据辅助电源的一些特点,对电路拓扑有着以下的要求:
(1)高稳定性,对输入电压的变化不敏感,也就是能适应较宽的输入电压范围;
(2)高效率,能把效率做到90%以上,所有开关器件及二极管都实现软开关,在可以稳定的输出电压的同时,还要具有较低的EMI,对主电路不产生干扰。
从文献的半桥LLC谐振电路工作过程和原理分析中可以看出,半桥结构的LLC谐振变换器在输入电压低时效率较低,在输入电压高时效率较高。这与传统的PWM变换器止好相反,由于有这样的效率特性,LLC谐振变换器输入范围可以很宽,这符台前端变换拓扑选择的第一个要求。
与传统的串联谐振变换器不同,LLC谐振变换器的变压器的漏感Lm参与谐振过程,开关频率可以低于LC的本征谐振频率,而且只需要高于LLC的本征谐振频率便可以实现主开关的零电压开通,实现软开关特性,符合前端变换拓扑选择的软开关要求。
基于上述优点,选择半桥结构的LLC谐振变换器作为该辅助电源前级变换器的拓扑。
半桥LLC谐振电路如图1所示,两个主开关S1和S2组成了一个半桥结构,驱动信号是固定占空比的互补信号,电感LS、电容Cs、电感Lm组成了一个LLC的谐振网络,该谐振网络连接在半桥的中点和地之间,因此谐振电容也起到隔直电容的作用。在输出侧,两个整流二极管组成了一个全波整流的副边结构,直接接到输出电容C0上。

设计LLC谐振变换器的主要问题就是选择一组合适的谐振参数来满足输入输出的要求,这一组参数包括变压器的变比n,串联谐振电容Cs,串联谐振电感Ls和励磁电感Lm。依照文献介绍的办法,设汁步骤分别如下。
1.1 变压器变比n
变压器的变比n可由式(1)决定,即

当工作频率等于谐振频率并且输入输出电压满足式(1)时,此时变换器具有最高的效率。因此,变比的选择应该是通常条件下的输入输出电压满足式(1)。
l.2 串联谐振电容Cs
串联谐振电容既是隔直电容又是谐振电容,它将储存谐振的能量,由于谐振的能量取决于输出功率,Cs的值越小,其电压就越高,因此,可以由它的电压限制来确定其值的选取,对于半桥型的谐振电路,Cs的最大电压Vc-max为

式中:Tmax为最大开关周期:
I0为最大输出电流。
根据最大允许的Vc-max便可以选取Cs的大小。
1.3 串联谐振电感Ls
在确定Cs的值后,可根据式(3)的关系确定Ls,即

式中:fs取值为变换器期待的工作频率。
由此可以确定Cs和Ls后,变换器将工作在Ls和Cs的谐振频率上。
1.4 励磁电感Lm
励磁电感Lm的大小影响着变换器的频率变化的范围和输入输出电压范围。由式(4)得到

式中:f是在输入电压为Vin和输出电压为V0情况下的工作频率;
fs是Ls与Cs的谐振频率;
L/Lm比值代表了变换器变换系数对频率变化的比例常数。
根据Vin和的V0变化范围,以及期待的工作频率的变化范围就可以确定励磁电感的大小。
1.5 控制电路
LLC谐振电路是一个变频电路。因此选用具有两路互补输出的变频控制芯片UC3863来控制。
由UC3863的数据手册可以知道,UC3863是专为零电压开关(ZVS)和零电流开关(ZCS)的准谐振变换器设计的变频控制芯片。主控制模块包括一个误差放大器(E/A),一个压控振荡器(VCO)用于产生最大最小频率,一个单稳定时发生器(One Shot)。保护电路包括一个5.1V偏置电压发生器,一个欠压锁定电路(UVL0),故障软启动电路。欠压封锁(UVL0)的作用是:当供电电压低于UVLO的上限值时,芯片输出脉冲为低电平,只有超过该上限值时,电源才为芯片提供电源输出。该芯片的频率范围可达10kHz~1MHz,两路推拉驱动电流峰值可达lA,具有过零检测、死区没置、欠压保护、故障管理等功能。芯片以及外部频率电路如图2所示。

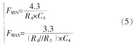
芯片的频率范围由R3、R4、C4来决定,根据芯片数据手册上给出的等式,有

选择R3及R4合适的值就来可以确定芯片实际运行频率范围。死区由R5、C5来确定,由数据手册上给出的最小死区时间等式:tmin=O.3R5C5,因此,就能计算大体的死区时间。
2 驱动及启动电路
半桥电路的上下开关管驱动信号互补并且有一定的死区时间,因此,可以使用图3所示的驱动电路来提供两路互补信号。根据实际调试经验,R1一般取20Ω左右,R2一般取2kΩ左右,二极管可以加速MOSFET的结电容放电,加速关断过程,并且该电路可以+15V开通,-15V关断。各点波形如图4所示。

启动电路的设计,要求在输入电压最小时候能启动芯片UC3863,在最大输入电压的时候能满足功耗要求即可。输出电压为lV,输出电流不小于30mA。当电源启动后,由反馈电路供电,启动电路自动关闭以减少功耗。启动电路如图5所示。

电路的工作原理如下,当电路接入市电后,三极管Q1通过电阻R6获得足够的基极电流而导通,输入电压通过R5和Q1对电容C1充电,同时通过二极管向控制电路和驱动电路充电,当输出电压到了10V以上,控制电路启动,电源正常工作,由反馈电路供电。启动期间三极管在向控制电路和驱动电路供电的同时,还向电容C1充电,开始充电电流比较大,流向UC3863的电流比较小,随着时间的增加,充电电流逐渐减小,流向UC3863的电流逐渐增大,形成一个较软的启动特性,这样可以防止三极管被击穿。失电以后,电容C1通过控制电路放电,下次启动重复这个过程。在正常工作后,由于电容C1上的端电压被充电到了15V,使得三极管发射极的电位高于基极电位,三极管截止,启动电路停止电流的输出,这样可以减少启动电路的功耗。
3 实验验证
以一个12路输出,l路反馈,每路输出电压15V,输出电流O.2A的半桥LLC谐振电路为样机,来研究基于半桥LLC结构的辅助电源的一些特性。电路参数如下:
输入电压 AC220(1±20%)V;
整流后直流输入Vin 248.9~367.5V;
谐振频率fman 200kHz;
满载输出功率W0 39W;
主开关M0S管 IRF840(500V/8A);
谐振参数 C4=4nF,Ls=70μH,Lm=200μF,n=lO:l。
电流波形如图6所示,可以清楚的看到谐振电流平台。从图7中可以看出,电路实现了零电压开通。

4 结语
本文详细介绍了一种采用零电压准谐振变换器控制芯片UC3863控制基于半桥LLC谐振变换器的多路输出辅助电源,并给出了关键参数以及控制、驱动、启动电路的设计。实验结果验证了设计的正确性。
射频工程师养成培训教程套装,助您快速成为一名优秀射频工程师...
天线设计工程师培训课程套装,资深专家授课,让天线设计不再难...
上一篇:高辉度LED的特性与驱动方法
下一篇:Stratix
FPGA电源方案设计与验证

