- 易迪拓培训,专注于微波、射频、天线设计工程师的培养
大中型UPS原理分析
1大中型UPS工作原理
大、中型UPS多为在线式,其系统框图与小型在线式UPS差不多,如图4-1所示。有市电时,市电经整流器、逆变器给负载供电。当市电中断或者超限时,整流器停止工作,蓄电池电能经逆变后继续给负载供电;当UPS故障时,市电通过旁路直接给负载供电。
2大中型UPS整流滤波电路
大型UPS中广泛应用三相桥式全控整流电路,如图4-2所示。
当控制角α=0时,其工作过程与三相桥式不控整流电路相同,在自然换相点换相。当控制角α>0时,每个晶闸管都从自然换相点向后移α角开始换相。不管α为何值,电压Ud都是线电压的一部分。所以,从线电压入手计算Ud更简单,由于ud波形每隔60°重复一次,Ud的计算只要在π/3范围内取平均值即可。
在三相星形接法的电路中,线电压较其相应的相电压超前30°,例如30°。现将线电压uab的零点作为新坐标的原点,即比原来以相电压ua零点的坐标提前30°。因此在新坐标上,自然换相点的位置在ωt=π/3处。
2.1电阻性负载
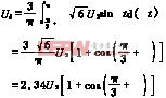
(1)当0≤α≤π/3时,
=2.34U2cosα=1.35U2Lcosα
式中U2——变压器T次级相电压;
U2L——次级线电压。
(2)当π/3α 2π /3时 , 整 流 只 能 在 正 半 周 进 行 , 故
当α=2π/3时Ud=0,从公式亦可看出电阻负载的最大移相范围是120°。
2.2电感性负载
对于电感性负载,由于电流是连续的,晶闸管的导通角总是2π/3,上式的积分上限可以超过π,仍为(2π/3)+α,故
=2.34U2cosα=1.35U2Lcosα
可见电感性负载时的最大移相范围为90°。
3大中型UPS充电电路
3.1大型UPS充电电路
大容量UPS的充电电路,一般采用晶闸管作为
中图法分类号:TM92文献标识码:A文章编号:02192713(2000)0842805

图4-1大、中型UPS系统框图
整流元件,这是因为大容量UPS充电器的输出电压一般高达几百伏,充电电流为几十安培。在大功率UPS中一般都将充电器和整流器合二为一,虽然这使得其控制电路较为复杂,但由于大功率UPS本身造价较高,控制电路设计得稍微复杂一些并不会明显增加成本。图4-3所示为大功率UPS中的充电器方框图。

图4-2三相桥式全控整流电路

图4-3三相桥式全控整流充电电路框图
由图中可以看出,此充电器分为3个主要部分,即三相桥式全控整流器,由V1-V6和滤波电感L1,L2组成;采样电路,其功能是对三相桥输出的充电电压和电流进行采样,然后将采样的结果送到控制电路;控制电路,其功能是根据采样电路送来的电压和电流信号去控制三相桥式全控整流器,以调整其输出电压和充电电流。该电路的充电曲线如图4-4所示。

图4-4某大容量UPS充电曲线 [p] [p]
式而小于阶梯式,多用于中大容量的UPS。脉宽阶梯混合波的波形如图4-5所示。
图4-6(a)为电路原理图,图中S1,S2,S3,和S4分别组成半桥电路,两个半桥产生相同的调宽波UA和UD,这里取输出电压,Uout=UA-UD
由图4-6(b)可以看出UA和UD均反映出正弦波的规律。
当两组脉冲同相时,
Uout=UA-UD=0
当两组脉冲反相时,
Uout=UA-UD=2E
当UA和UD的相位差在0-180°之间变化时,其幅度就在0-2E之间变化。如果输出为单相交流电压,有这样一个“开关对”[图4-6(a)的简称]似乎就够了,但在中大功率UPS中多半需要三相输出,在实用中每一个调宽波(UA或UD)都用一个全桥逆变器给出,而三相就需要6个这样的全桥逆变器,如图4-7所示。图4-7(a)是它的电路图,而4-7(b)是线电压(两相电压相差120°时的叠加)。
由图4-7(b)的波形可以看出:正弦波的轮廓很明显,这种电压经变压器滤波后输出正弦波。这种变压器绕制时故意做成有一定的漏感,以便和变压器输出端的电容形成LC滤波器,从而省去了体积庞大的滤波电感,而且输出的正弦波电压失真度很小(小于3%)。这是因为输出变压器初级接成△型,次级接成Y型,这种经△/Y变换的波形,3次及3的倍数次谐波都被抑制了,而5次和7次谐波为零,故不需要多大的滤波器即可。
4.2大中型UPS逆变电路
三相桥式逆变电路是中、大容量UPS逆变器的基本电路,这里以三相桥式逆变电路为例,如图4-8所示,它是由直流电源E,3块两单元晶体管模块S1~S6,输出变压器T组成。市电正常供电时,直流电源E由整流电路提供,市电中断时,直流电源由蓄电池提供。输出变压器初级接成三角形,次级接成星型。
S1~S6的基极b1-b6分别加上正弦脉宽触发信号,其波形如图4-9所示。工作过程如下:
t0~t1期间,ub1>0,ub6>0,ub5>0,ub2=0,ub4=0,ub3=0,S1,S6,S5导通,S2,S3,S4截止。
(1)变压器初级电流iAB沿着E+→S1→变压器初级绕组AB→S6→E-路径流动。由于S1,S6导通,故变压器初级绕组AB两端电压为:![]()

图4-10梅兰日兰公司的EPS2000UPS的静态开关控制框图
电源能量转移到变压器,变压器次级绕组ao感应出电压为:![]()
该电压推动的电流iao沿着a→RL→L→0路径流动,变压器中能量的一部分消耗在负载电阻上,另一部分储存在负载电感中。
(2)变压器初级电流iCB沿着E+→S5→变压器初级绕组CB→S6→E-路径流动。由于S5,S6导通,变压器初级绕组CB两端电压为:
电源能量转移到变压器,变压器次级绕组bo感应出电压为:
该电压推动的电流ibo沿着0→L→RL→b路径流动,变压器中能量的一部分消耗在负载电阻上,另一部分储存在负载电感中。
由上述可见,3个导电臂中均有晶体管导通,二极管不通,负载从直流电源中获取能量。
在t1~t2期间,ub1>0,ub3>0,ub5>0,ub2=0,ub4=0,ub6=0。由于S6截止,iao要减小,但是iao不能突变,仍沿着a→RL→L→0路径流动,负载电感中能量一部分消耗在负载电阻上,另一部分存储在变压器中,电流iAB也不能突变,它沿着B→D3→S1→A路径流动,将变压器能量消耗在回路电阻上。与上述类似,由于S6截止,ibo要减小,但是ibo不能突变,仍沿着0→L→RL→b路径流动,因此,电流iCB也不能突变,它沿着B→D3→S5→C路径流动,将变压器能量消耗在回路电阻上。在上述过程中,由于D3续流,S3不能导通。由上述可见,3个导电臂中,2个晶体管导通,1个二极管导通。
若负载电感L比较大,变压器储存能量比较多,维持D3导通时间长;反之,维持D3导通时间短。
在t2~t3期间,ub1>0,ub5>0,ub6>0,ub2=0,ub3=0,ub4=0。3个导电臂中,3个晶体管导通。两相负载均从电源E获取能量。
输出波形uAB如图4-9所示。由图看出:
①变压器初级、次级输出三组互差120°的正弦脉宽调制波。
②输出uO脉冲频率是驱动信号脉冲频率的两倍。
③逆变器具有3种工作模式:
S第1种工作模式:3个晶体管导通,二极管不导通;
S第2种工作模式:2个晶体管导通,1个二极管导通;
S第3种工作模式:1个晶体管导通,2个二极管导通。
5大中型UPS的静态转换开关
大、中型UPS静态开关一般使用电子式静态转换开关。所谓电子式静态转换开关,是将一对反向并联的快速晶闸管连接起来作为UPS在执行由市电旁路供电至逆变器供电切换操作时的元件,由于快速晶闸管的接通时间为微秒级,同小型继电器毫秒级的转换时间相比,它只是小型继电器的千分之一左右。因此,依靠这种先进技术,可以对负载实现转换时间为零的不间断供电。在大型UPS中常用的两种静态开关控制框图(三相中的一相)如图4-10所示。从此图可以看出,三相UPS逆变器的输出电压经三组接触器送到负载。与此同时,三相50Hz交流旁路电源经三相静态开关(由三组反向并联的晶闸管组成)也可送到负载。正常工作时,只有逆变器供电通道或交流旁路电源通道之中的一路电源向负载供电。只有当UPS需要执行由交流旁路电源供电至逆变器供电切换操作时,才会出现短暂的(约几毫秒~几十毫秒)两路交流电源在时间上重叠向负载供电的情况。为保证逆变器及静态开关的安全运行,UPS的控制系统必须满足下述的基本工作条件:
(1)由UPS逆变器所产生的50Hz正弦波电源应随时保持与市电50Hz交流旁路电源的同频率、同相位、同幅度和较小正弦波失真度的关系。因为只有在这样的条件下才有可能使UPS在执行由逆变器供电至市电交流旁路供电切换操作时,实现上述两种交流电源间不存在任何瞬态电压差或是在瞬态电压差足够小的条件下执行安全切换操作要求。为此必须在UPS的系统控制中引入“锁相同步”。
(2)UPS的控制电路应具有分别执行同步切换和非同步切换的能力,以确保UPS能在具有不同供电质量的交流旁路电源系统中正常运行。
5.1同步切换方式
当UPS的逆变器输出电压与市电交流旁路电源电压处于锁相同步工作状态时,在需要执行从交流旁路供电至逆变器供电切换操作前,用户可通过仔细调节UPS逆变器的输出电压,使它的输出电压值等于交流旁路电源电压或者使逆变器的输出电压稍高于交流旁路电源电压(一般控制在5V~10V左右)。对于如图4-10所示的控制系统而言,主控板首先向逆变器的输出接触器发出闭合操作命令。在此阶段将会出现由交流旁路电源和逆变器同时向负载供电的状况,以确保对负载的不间断供电。在执行上述同步切换操作时,很难满足这两种交流电源间的瞬态电压差一直为零。因此,总会有一个或大或小的环流在这两种电源之间流动,该环流的大小可通过专门的电流检测电路来进行实时监控。控制电路是在电流过零点上将处于交流旁路通道上的静态开关中的晶闸管关断,然后UPS才进入由逆变器供电的正常工作状态。采用这种“先合后断”的切换控制方式,可以确保上述两种交流电源产生重叠向负载供电的最长时间,被控制在50Hz的半个周波之内(即小于10ms)。当UPS在运行过程中,如果遇到输出过载、短路、逆变器故障或用户人为地关闭逆变器情况之一时,由控制电路在向逆变器本身及位于逆变器供电通道上的输出接触器发出“关断”命令信号的同时,也向位于交流旁路通道上的静态开关发出“闭合”命令。此时,由于输出接触器的关断响应时间较慢(大约为80ms~100ms),而静态开关中的快速晶闸管开通时间很短(几微秒至十几微秒)的缘故,当静态开关闭合时,接触器尚未真正释放,所以此时向负载提供能量的电源有逆变器输出滤波电容上的残余电压(因为此时的逆变器已处于自动关机状态之中)及市电交流旁路电源。这段时间大约要持续20ms左右。此后,负载则完全由市电交流旁路电源供电了。另一类大、中型UPS静态开关如图4-11所示。
对于图4-11所示的控制系统而言,由于在它的逆变器供电和市电交流旁路供电通道上都采用静态开关来作为它们的切换元件。对于晶闸管而言,一旦它被触发导通,导通状态会一直维持到流过晶闸管的电流小于它的最小维持电流或者加在晶闸管阳极上的电位低于阴极上的电位时,晶闸管才会重新恢复它的阻断能力。因此对于采用由反向并联的晶闸管构成的静态开关而言,唯一确保晶闸管静态开关被“关断”的条件是将流过它的电流降低到它的维持电流以下。因此,当这种类型的UPS在执行市电交流旁路供电勰姹淦鞴┑缜谢徊僮魇保常采用如下控制原理:当UPS的逻辑控制板上的控制电路在执行切换操作命令时,它首先发出控制命令立即封锁原来处于导通状态的静态开关中的晶闸管的触发脉冲。与此同时,随时检测流过该晶闸管的电流,当控制电路发现流过该晶闸管的电流过零时,立即向原来处于关断状态的静态开关中的晶闸管发送触发脉冲,从而实现在两个静态开关之间换流的切换操作。在这里,由于快速晶闸管的导通时间仅是微秒数量级,所以在技术上是能实现向负载提供切换时间为零的连续供电要求的。
5.2不同步切换方式
当交流旁路电源电压与逆变器输出电压之间的相位差超差(一般UPS允许的最大相位差在3.6°~15°之间)或上述两种电压间的瞬态电压差过大(如超过25V以上)时,静态开关逻辑控制电路会发出禁止切换命令。在这种情况下,由市电交流旁路供电至逆变器供电的切换操作只能采取不同步切换方式,以免在执行切换操作的瞬间因环流过大而引发事故,如烧毁静态开关中的晶闸管或逆变器中的末级驱动晶体管模块。现以图4-10所示的控制系统为例来说明不同步切换的工作模式:

图4-11利博特公司7400系列UPS的静态开关控制框图
当UPS需从逆变器供电向市电交流旁路供电切换时,是采用“先断开后接通”的控制方式来执行切换操作的。即先让位于逆变器供电通道上的接触器断开,然后在经过0.2sG0.8s的时间延迟后,才让处于市电交流旁路通道上的静态开关中的晶闸管导通。因此,当UPS在执行不同步切换操作时,对用户的供电而言,它有可能会出现0.2s~0.8s的供电中断。
射频工程师养成培训教程套装,助您快速成为一名优秀射频工程师...
天线设计工程师培训课程套装,资深专家授课,让天线设计不再难...
上一篇:宽带压控式交流电流源
下一篇:从入门到精通三极管的波形识别

