- 易迪拓培训,专注于微波、射频、天线设计工程师的培养
三相四线制系统中有源电力滤波器的研究
1引言
三相四线制系统在工业供电、民用住宅以及城市供电等电力系统中普遍应用。其中,谐波和三相不平衡问题越来越引起人们的重视。根据日本电气学会发表的一项有关谐波源的调查报告,办公及家用电器所产生的谐波占整个谐波源的25%[1]。调查报告指出,在低压供电系统中,每天19-22时电网电流波形畸变严重,三相之间存在严重的不平衡现象,这正是电视收视率最高的时段。因此,对于电视机、计算机、电磁炉、电子镇流器、等电子设备来说,虽然作为个体它们的功率都不大,但是,随着它们的应用越来越普及,其数量也越来越大,而且大多为单相负荷,其对电网产生的谐波以及三相之间的不平衡影响变得不可忽视。零线电流引起的事故在我国也有报道,所以对三线四线制系统中的谐波和三相不平衡进行补偿具有重要的意义。
三相四线制系统与三相三线制系统的区别在于三相四线制系统存在零线,因而用于三相四线制系统中的有源电力滤波器与用于三相三线制中的相比,根本的区别在于对三相电流中零序分量的处理。三相四线制有源滤波器由指令电流运算电路和补偿电流发生电路两部分构成。对于前一部分,要求在三相四线制的情况下,检测出被补偿对象的谐波分量、基波负序分量,同时对系统的零序电流分量作出适当的处理,并准确快速地形成指令电流;而对于后一部分,则要求根据指令电流信号正确地产生补偿电流,其中包括谐波分量、基波负序分量和零序电流分量。
用于三相四线制系统中的电力有源滤波器在结构形式上也可有并联型、串联型和混合型等。本文在介绍三种典型的用于三相四线制系统的并联型有源电力滤波器结构的基础上,分析了其中两种常用结构的控制方法。
2.三相四线制有源滤波器的结构
与三相三线制系统相似,用于三相四线制系统中的电力有源滤波器在结构形式上也分为并联型、串联型和混合型等。与三相三线制系统不同的是,其主电路的结构形式会由于零线的存在有不同的结构形式。图1至图3给出了三种典型的用于三相四线制系统的并联型有源电力滤波器结构示意图。

图1 用于三相四线制的四相变流器形式APF
图1是采用四相变流器为主电路的结构形式,其中第四相与系统零线相连,用来抑制非线性系统中的零线电流。这种电路一般运用于负载功率较大的场合。

图2 用于三相四线制的三相变流器形式APF
[p] 另一种结构是采用三相变流器结构,也被称为电容中点型有源滤波,如图2。主电路直流侧的电容中点与系统中零线相连接,由于系统中的零线电流要流过变流器直流侧电容,所以这种结构形式主要用于中、小容量的场合。因为全部中线电流流过电容器,因此必须使用大电容。

图3 用三个单相桥构成的三相四线制APF
为了实现三相独立调节,还可使用更复杂的三个单相桥式逆变器进行分别补偿,如图3。由于采用三个单项桥式变流电路作为主电路的方案过为复杂,目前大多数研究所采用的主电路结构主要集中在前两种方式上。本文将对这两种不同的主电路的控制方法分别进行研究。
3.三相四线制有源滤波器的控制方法[2]-[5]
3.1四相变流器的控制方法
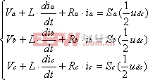
图1的四相变流器电路中,四对桥臂分别用于产生a、b、c三相及零线的补偿电流。在理想情况下,第1、2、3对桥臂分别产生a、b、c三相的补偿电流,该三相电流分别与负载各向电流的谐波、基波负序和零序分量之和大小相等、方向相反,相互抵消,使得电源电流成为三相对称的正弦波。第4对桥臂专门用于对零线电流进行补偿,使电源侧的零线电流为零。
忽略IGBT,二极管的通态压降,视为理想条件,设直流侧电容的中点N为参考点,Sa 、Sb 、Sc及So 分别表示四相的开关状态(1为合上、-1为合下)。设三相阻抗相等即:
;
;Va ,Vb , Vc为网电压。中点N的电压为 UN,
,
,
及
分别为有源电力滤波器的输出电流。则采用四相变流器主电路结构的有源滤波器的等效电路可简化为图4。

图4 采用四相变流器主电路结构的有源滤波器的等效电路
可列出相应的系统方程如下:
(1)
其中,
,
,
以及
与直流侧电压
的关系为:
(2)
从该式可以看出,采用四相变流器时,由于零线的电流专门采用第4 相变流器进行控制,其指令电流由控制电路单独产生,故开关函数So 的取值可根据零线电流控制的需求单独决定。而其他相的开关函数Sa 、Sb 、Sc在零线电流单独控制以后,由于需要产生的补偿电流不再含有零序分量,因而仅需根据该相电流中的谐波电流,基波负序电流的情况,来决定相应的开关函数的取值。采用四相变流器时的主电路分工明确,各相补偿电流的产生和零线电流的补偿可以看作是由各对桥臂独立完成的。整个系统可看成是一个四相电流跟踪控制系统。
[p] 3.2三相变流器的控制方法
由三相变流器构成的三相四线制有源电力滤波器的主电路如图5 ,其主要区别在零线上的连接,四相变流器时,零线通过变流器中的一相连接到直流母线上;而三相变流器时,电源的零线与直流侧母线中点相连接,以此来给零线电流提供通道。

图5采用三相变流器主电路结构的有源滤波器的等效电路
作与四相变流器主电路的有源滤波器同样的理想假设,则可得出相应的系统电路方程为:
(3)
其中
,
,
以及
与直流侧电压
的关系为:
(4)
将(3)、(4)两式合并,可得:
(5)
从式(5)可以看出,各项补偿电流的产生是由各相的开关动作来决定的。由于三相四线有源电力滤波器要补偿的对象不仅有各项的基波负序电流和谐波电流,而且要包括零序电流分量,这些电流的产生均需要由三个开关Sa 、Sb 、Sc 的动作来完成,并且这些开关的动作还要完成直流侧总电压和中点电压的控制。在控制这三个开关时,开关的动作既要考虑电路中的谐波电流、基波负序电流成分,又要考虑零序电流的控制。由此可以看出,与四相变流器电路相比较,三相变流器需要的器件数目虽然减少了,但是其控制变得复杂了。
[p] 4 结论
针对三相四线制系统具有零线的特点,本文介绍了三种典型的用于三相四线制系统的并联型有源电力滤波器结构,并在此基础上,对组成三相四线制有源滤波器的两种常用的主电路结构的控制方法进行了研究。得出以下结论:
1. 四相变流器与三相变流器相比,在电路的组成上多了一对开关器件,主电路及驱动电路要相对复杂一些。但四相变流器的控制要相对简单一些,特别是零线电流的控制,由于专门用了一相来消除零线电流,这使得在电流跟踪控制电路的组成上四相是一致的。可以将三相四线制电路看成一四相变流电路。
2.四相变流器的控制计算电路特别是直流侧电压控制部分要相对简单。控制计算电路与三相三线制相比,只有一些简单的补充,增加了一些运算放大器。另外,其直流侧电压的控制和三相三线制时的有源电力滤波器直流侧电压控制的方法一致。同时,由于直流侧电容器中点无须接出,故不存在直流侧中点电压控制的问题。
3.由于四相变流器对零线电流的控制是直接进行的,所以,零线电流的补偿效果要好于三相变流器的间接控制效果。
随着我国电力事业的发展,电能质量的要求将不断提高,利用有源滤波进行电能质量治理有着巨大的市场潜力。
参考文献
[1] 卓放,杨君,胡军飞,王兆安.三相四线制有源电力滤波器主电路的结构形式与控制.电工电能新技术,第19卷2000年第2期
[2] Aredes M, Watanabe EH. New Control Algorithms For Series and Shunt 3-Phase 4-Wire Active Power Filters. IEEE POWER DELIVER 10.(3) 1649-1656 JUL 1995
[3] Aedes M, Hafner J, Heumann K. Three-phase four-wire shunt active filter control strategies. IEEE POWER ELECTR 12.(2) 311-318 MAR 1997
[4] 黄俊,王兆安.电力电子变流技术.第三版.机械工业出版社,1994
[5] Takeda M, Ikeda K. Tominaga Y. Harmonic current compensation with active filter. Proc. of IEEE/IAS Annual Meeting, 1987. 808-815
射频工程师养成培训教程套装,助您快速成为一名优秀射频工程师...

