- 易迪拓培训,专注于微波、射频、天线设计工程师的培养
整流电路换相剖析
摘要:为了研究变压器漏抗对整流电路的影响,本文在MATLAB环境下对三相半波可控整流电路进行了仿真。结果表明,在换相过程中,整流变压器原副边的电压波形和电流的波形都会发生畸变。通过谐波分析可知,在整流变压器副边电流中出现了较高的2、4、5次谐波和直流分量,前者将会影响交流系统的电能质量,后者将会降低整流变压器的利用率。
引言
目前,一些电力电子技术教材在介绍“变压器漏抗对整流电路的影响”时,都是以三相半波可控整流电路为例,画出直流侧电压波形和交流侧电流波形,并给出换相重叠角和换相压降的计算公式[1-5]。这些教材中只是强调了换相期间直流侧输出电压波形出现了缺口,但都没有对交流侧电压电流的波形进行深入的分析,忽略了其中的谐波分量。大量的实测数据证明,当整流电路产生的谐波超过一定水平时,就会引起交流系统电压波形畸变,从而影响相关电气设备的正常运行,这是一个值得关注的问题。本文将通过MATLAB仿真,观察三相半波可控整流电路计及变压器漏抗后的电压波形和电流波形,并给出对应的谐波分析。所得结果可作为对现行教材的补充,以帮助学生加深理解整流电路的换相过程。
1 三相半波可控整流电路的换相过程
三相半波可控整流电路的原理接线如图1所示,负载中串有一个很大的电感。由于各晶闸管的换相过程都一样,所以,本文只分析从VT3换至VT1的换相过程。
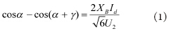
假设晶闸管触发角α=30°,在触发VT1之前,VT3导通,负载由c相供电,直流电流id等于交流侧c相电流ic;当α=30°时,触发VT1,这样VT1就开始导通;由于变压器漏抗的作用,使得ic需经过一定的时间,才能由id降到零;而交流侧a相电流ia也需经过同样的时间,才能由零上升到id。通常将这个过程称之为“换相”。换相过程的持续时间可以用换相重叠角γ来表示,对于三相半波可控整流电路而言,该换相重叠角与其他有关电气量的关系可由下式表示[2]:![]()
公式(1)中的XB是折算到二次侧的变压器漏抗,Id是负载电流的平均值,U2是整流变压器副边相电压有效值。
由公式(1)可以看出,在给定触发角α的情况下,换相重叠角γ将随着XB的增大而增大;在给定XB的情况下,换相重叠角γ将随着触发角α的增大而减小。
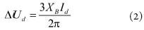
文献[1-4]中还给出了三相半波可控整流电路的直流侧电压波形和交流侧电流波形图,与不计整流变压器漏抗的情况相比,ud的波形出现了缺口,直流侧输出电压ud的平均值也将有所降低。换相期间的压降可由下式计算[3]:![]()
由公式(2)可以看出,换相期间的压降与整流变压器的漏抗成正比。
[p]2 考虑变压器漏抗的换相过程仿真与分析
在MATLAB环境下建立三相半波可控整流电路的仿真模型如图2所示。


显然,直流侧的电压电流并非恒定的直流,而是脉动的直流,其中必然含有交流分量;交流侧的电压电流也并非理想的正弦波,它们都发生了不同程度的“畸变”,其中也必然含有谐波分量。利用MATLAB中的FFT模块,可以得到以上各量的谐波分量如表1所示。
在表1中,n=0对应于直流分量,n=1对应于基波分量,n>1对应于谐波分量。
从图3(a)中可以看出,由于负载中电感较大,所以能够维持负载电流id的连续;每个周波都要有3次换相,所以负载电流的波形在每个周波要脉动3次。由表1第二列可以看出,id中以直流分量为主(12.11A),此外还含有较高的3次谐波。
从图3(b)中可以看出,在换相期间,直流电压ud出现了缺口。和负载电流波形相同,负载电压的波形在每个周波也要脉动3次。由表1第三列可以看出,ud中也是以直流分量为主(121.03V),此外还含有较高的3的整数倍次谐波。
从图3(c)中可以看出,由于晶闸管的单向导电特性,使得变压器副边a相电流ia的波形中只有正向电流,没有反向电流,其他两相电流的波形与此相同。由表1第四列可以看出,ia中以基波分量为主(6.75A),还含有较高的2、4、5次谐波,当这些谐波超过一定水平之后,就会影响交流系统的电能质量。除此之外,ia中的直流分量(4.03A)也需要引起注意,它将会引起直流磁化,从而降低整流变压器的利用率。
从图3(d)、(e)、(f)中可以看出,在换相过程中,整流变压器副边电压瞬时值较高的相电压波形会出现凹陷,表明该相的晶闸管将由截止转为导通;而电压瞬时值接近于零的相电压会出现凸起,表明该相的晶闸管将由导通转为截止,其他两相电压的波形与此相同。由表1第五列可以看出,a相电压ua中以基波分量为主(175.23V),此外还含有较高的谐波分量。
从图3(g)中可以看出,整流变压器原边A相电流的波形在每个周波也会出现一个凹陷和凸起,这也是由于晶闸管换相所致,其他两相电流的波形与此相同。由表1第六列可以看出,A相电流iA中以基波分量为主(3.94A),此外还含有较高的2次谐波。
从图3(h)中可以看出,在换相过程中,整流变压器原边A相电压的波形在每个周波也出现一个凹陷和凸起,其他两相电压的波形与此相同。由表1第七列可以看出,A相电压uA中以基波分量为主(307.44V),此外还含有较高的谐波分量。
通过仿真和分析还可以进一步验证,增加晶闸管的触发角(α),将会增加整流电路交流侧的谐波;增加变压器的漏抗(XB),或增加负载电流(Id),都将会延长整流电路的换相过程,增加换相期间的压降。由于篇幅所限,仿真过程从略。
3 结论
(1)由于每个周波都要有3次换相,直流侧的负载电压和负载电流的波形在每个周波都会有3次脉动,由傅里叶分析可知,其中包括了不同程度的3次谐波。
(2)整流变压器副边相电流中除了基波分量之外,还会有一定的直流分量,这样的电流会引起变压器铁芯的直流磁化。因此,三相半波可控整流电路不适用于功率较大的场合。
(3)在换相过程中,整流变压器副边电压瞬时值较高的相电压波形会出现凹陷,而电压瞬时值接近于零的相电压波形会出现凸起,与此同时,整流变压器原边电压的波形也都会在每个周波出现一个凹陷和凸起。因此,在整流变压器原副边电压中都出现了较高的谐波分量。当这些谐波超过一定水平时,就会对交流系统的电能质量产生不利的影响。
参考文献:
[1]王兆安,刘进军.电力电子技术[M].北京:机械工业出版社,2009
[2]王云亮.电力电子技术[M].北京:电子工业出版社,2004
[3]郭世明,黄念慈.电力电子技术[M].成都:西南交通大学出版社,2002
[4]李雅轩,杨秀敏等.电力电子技术[M].北京:中国电力出版社,2004
[5]陈坚,康勇,等.电力电子技术[M].北京:高等教育出版社,2011
射频工程师养成培训教程套装,助您快速成为一名优秀射频工程师...
天线设计工程师培训课程套装,资深专家授课,让天线设计不再难...
上一篇:环路供电变送器设计权衡考量
下一篇:NVDC注意事项(
一)

