- 易迪拓培训,专注于微波、射频、天线设计工程师的培养
开关电源变压器涡流损耗分析
开关电源变压器的涡流损耗在开关电源的总损耗中所占的比例很大,如何降低开关电源变压器的涡流损耗,是开关电源变压器或开关电源设计的一个重要内容。变压器生产涡流损耗的原理是比较简单的,由于变压器铁芯除了是一种很好的导磁材料以外,同时它也属于一种导电体;当交变磁力线从导电体中穿过时,导电体中就会产生感应电动势,在感应电动势的作用下,在导电体中就会产生回路电流使导体发热;这种由于交变磁力线穿过导体,并在导体中产生感应电动势和回路电流的现象,人们把它称为涡流,因为它产生的回路电流没有作为能量向外输出,而是损耗在自身的导体之中。
单激式开关电源变压器的涡流损耗计算与双激式开关电源变压器的涡流损耗计算,在方法上是有区别的。但用于计算单激式开关电源变压器涡流损耗的方法,只需稍微变换,就可以用于对双激式开关电源变压器的涡流损耗进行计算。例如,把双激式开关电源变压器的双极性输入电压,分别看成是两次极性不同的单极性输入电压,这样就可以实现对于双激式开关电源变压器涡流损耗的计算。因此,下面仅对单激式开关电源变压器的涡流损耗计算进行详细分析。
当有一个直流脉冲电压加到变压器初级线圈的两端时,在变压器初级线圈中就就有励磁电流通过,并在变压器铁芯中产生磁场强度H和磁通密度B,两者由下式决定:
B =ΔB*t/τ +B(0) (2-44)
H =ΔH*t/ΔH +H(0) (2-45)
上式中ΔB和ΔH分别为磁通密度增量和磁场强度增量,τ为直流脉冲宽度,B(0)和H(0)分别为t = 0时的磁通密度B和磁场强度H。
传统的变压器铁芯为了降低涡流损耗,一般都把变压器铁芯设计成由许多薄铁片,简称为铁芯片,互相重迭在一起组成,并且铁芯片之间互相绝缘。图2-18表示变压器铁芯或变压器铁芯中的一铁芯片。我们可以把这些铁芯片看成是由非常多的“线圈”(如图中虚线所示)紧密结合在一起组成;当交变磁力线从这些“线圈”中垂直穿过时,在这些“线圈”中就会产生感应电动势和感应电流,由于这些“线圈”存在电阻,因此这些“线圈”要损耗电磁能量。

在直流脉冲作用期间,涡流的机理与正激电压输出的机理是基本相同的。涡流产生磁场的方向与励磁电流产生磁场的方向正好相反,在铁芯片的中心处去磁力最强,在边缘去磁力为零。因此,在铁芯片中磁通密度分布是不均匀的,即最外层磁场强度最大,中心处最小。如果涡流退磁作用很强,则磁通密度的最大值可能远远超过其平均值,该数值由已知脉冲的幅度和宽度来决定。
沿铁芯片截面的磁场分布,可以用麦克斯韦的方程式来求得;麦克斯韦的微分方程式为:


上式中 μa为变压器铁芯的平均导磁率,ρc为铁芯的电阻率,负号表示涡流产生的磁场方向与励磁电流产生的磁场方向相反。rot E和rot Hx分别表示电场和磁场的旋度,即涡旋电场和涡旋磁场的强度。Hx、Hy、Hz分别磁场强度H的三个分量;Bx、By、Bz分别磁感应强度B的三个分量;Ex、Ey、Ez分别电场强度H的三个分量。
由于单激式开关电源变压器铁芯的磁滞回线面积很小,其磁化曲线基本上可以看成一根直线,导磁率μ也可以看成是一个常数;因此,这里使用平均导磁率 来取代意义广泛的导磁率 。
从图2-18可以看出,磁场强度由H = Hz:和Hx = Hy = 0组成;对于电场强度,其指向平行于Y轴为E = Ey,Ex = Ez = 0。因此,上面两式又可以改写为:

对(2-53)式进行微分,然后代入(2-52)式,即可求得磁场强度的一维分布方程为:

由于加到变压器初级线圈两端的电压是一个直流脉冲方波,在稳定状态条件下,励磁电流产生的磁场强度或磁通密度的增长应与时间成线性关系,即:

当x = 0时,正好位于铁芯片的中心,此处的磁场强度最小,即此点的导数值等于0,由此求得积分常数c1= 0。
对(2-57)再进行一次积分得:

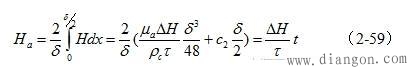
由于在变压器铁芯片内,截面磁场强度的平均值Ha,在任一时间内都必须等于电磁感应所要求的值,即满足(2-45)式的要求,因此对应图2-18对(2-58)式求平均值得:

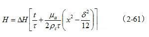
把(2-60)代入(2-58)式,可求得在稳定状态条件下铁芯片中的磁场强度为:

图2-19-a和图2-19-b分别是由(2-61)式给出的,铁芯片中磁场强度按水平方向分布的函数H(x)和按时间分布的函数H(t)曲线图。
从图2-19-a中可以看出,由于涡流产生反磁化作用的缘故,在铁芯或铁芯片中心磁场强度最低,而边缘磁场强度最高。
在图2-19-b中,随着时间线性增长部分是变压器初级线圈励磁电流产生的磁场;Hb是为了补偿涡流产生的去磁场,而由变压器初级线圈另外提供电流所产生的磁场。
从图2-19-b可以看出,涡流损耗对变压器铁芯中磁场强度(平均值)的影响,与变压器正激输出时,次级线圈中电流产生的磁场对变压器铁芯磁场的影响,基本是一样的。值得注意的是,如果用同样方法对y轴方向进行分析,也可以得到同样的结果。
从图2-19-a可以看出,当x =δ/2 时,铁芯片表面磁场强度的最大值为:

射频工程师养成培训教程套装,助您快速成为一名优秀射频工程师...
天线设计工程师培训课程套装,资深专家授课,让天线设计不再难...
上一篇:开关电源变压器起什么作用?
下一篇:适用于开关电源的IR
车用双低侧驱动IC

