- 易迪拓培训,专注于微波、射频、天线设计工程师的培养
采用两个运放实现Q值可调的带通滤波电路设计
带通滤波器(BPF)被广泛用于通带非常窄、通带以外任何其它频率被衰减的应用。
公式(1)是带通滤波器的二阶带通传输函数:其中K代表恒定的滤波器增益,Q代表滤波器的品质因数。

在H.Martinez et al撰写的文章中,描述了一种具有可调品质因数、在谐振频率点具有恒定传输系数且采用三个运放设计的带通滤波器。这种滤波器的传输函数符合公式(1),其中K反比于品质因数Q。这种带可调品质因数的带通滤波器由一个双T单元和一个差分电路组成。本文要讨论的这种设计可以将带通滤波器方案中的差分电路剔除在外,H.Martinez et al.提供的方案属性则都有保留。图1a所示的带通滤波器框图中有一个采用IC1和IC2的电压跟随器,它可以用一个标准的双运放并将其反相输入端连接到运放输出来实现。

图1:这种有源带通滤波器方案(a)可以改变品质因数,同时保持谐振频率点的增益系数不变。它基于的是没有差分放大器的双T单元(b)结构。
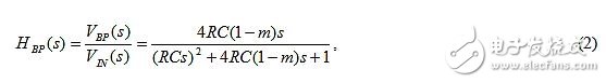
根据设计的滤波器的增益函数公式是:

其中m是提供给双T单元且与频率无关的正反馈系数。品质因数的值取决于电位器RPOT的位置。在电位器的底部位置,光标显示滤波器的品质因数Q处于最小值,当电位器向上调整时,品质因数随之增加。
正反馈系数m被定义为:

当ω=ω0时最大增益AMAX总是保持不变,并等于1(0dB),与Q无关。m=0时品质因数最小,值为1/4,对应于电位器的转子连接到输入端。最大增益理论上是无穷大,但在实际应用中品质因数很难达到50以上。在典型应用中Q的变化范围从1到10。
我们的方案是通过移动输入电压源Vin(t)的地线、将IC1和IC2组成的陷波滤波器的原始方案进行拓扑转换实现的。这样,推荐电路就将附加的差分电路IC3排除在外,达到了与Martinez et al相似的结果。


图3:两种方案具有相同的传输函数。
(a)—Martinez et al.提供的方案;
(b)—我们的设计方案。
射频工程师养成培训教程套装,助您快速成为一名优秀射频工程师...
天线设计工程师培训课程套装,资深专家授课,让天线设计不再难...
上一篇:LED照明系统的过压过流防护
下一篇:电源测量小贴士,泰克专家支招

