- 易迪拓培训,专注于微波、射频、天线设计工程师的培养
开关模式电源的谐振坐标方法
设计开关模式电源时,最麻烦的部件是RCD缓冲器。设计RCD缓冲器的传统方法没有主开关的关断瞬态期间的详细说明。因此,传统方式设计中的设计等式也不完全正确。本文将介绍设计和分析反激式转换器的RCD缓冲器的新方法。谐振坐标提供了一个了解主开关关断瞬态期间的简单方式,并有助于轻松设计和分析RCD缓冲器。
1. 引言
从商业上讲,反激式转换器因结构简单、尺寸紧凑、重量轻和成本低而得到广泛使用。但是它的主开关执行硬开关操作,导致主开关上有较高的电压尖峰和振荡。主开关的电压应力视电压尖峰大小而增加。为减少电压尖峰以便使用更低成本的低额定电压的MOSFET,最广泛的方法是RCD缓冲器网络。即使缓冲器电压随缓冲器电阻降低而降低,但缓冲器网络上的功耗增加,导致总系统效率降低。因此,RCD缓冲器网络应优化以同时符合主开关电压应力和总系统效率两个要求。
本文将先介绍由主变压器的漏电感而产生的电压尖峰的传统分析。将介绍描述关断瞬态期间的简单方式用于进一步分析。缓冲器电流将在缓冲器坐标中分析,以便提供更详细的设计等式。
2. RCD缓冲器设计和分析
2.1 RCD缓冲器设计的一般方法
图1显示具有RCD缓冲器的传统反激式转换器。

图1:传统反激式转换器
RCD缓冲器电路用于箝位由漏电感Llk和主开关漏极至源极的电容CDS之间的谐振导致的电压尖峰。有多种假定来描述工作原理以设计RCD缓冲器,如下所示:
(1) Vsn》nVout和Vsn由于较大的Csn而几乎恒定:
(2) CDS=COSS+CTRANS,无论vDS(t)如何都恒定:
(3)当主开关Q1关闭时,无次级端漏电感,因此iDS(t)可瞬时传输至次级端二极管电流iD1(t),其中Csn是缓冲器电容,CDS是主开关漏极和源极之间的有效电容,COSS是MOSFET的输出电容,CTRANS是变压器一次电路端子之间的有效电容,vDS(t)是主开关间的电压,iDS(t)是流过主开关的电流,而Q1是主开关。
图2显示缓冲器二极管传导时的等效电路。

图2:缓冲器二极管接通期间的等效电路
当开关Q1关闭时,主电流对Q1的COSS充电(同时对变压器的CTRANS放电)。当COSS被充电至Vin+nVout时,次级端二极管接通,能量传输至次级端,并且对COSS持续充电,因为漏电感Llk仍有一些剩余能量。当Q1的vDS(t)增加至Vin+Vsn,缓冲器二极管Dsn接通,vDS(t)箝位在Vin+Vsn。当Dsn传导时,Llk上的电压为Vsn-nVout,这样Dsn(ts)的导通时间可获取如下:

(1)
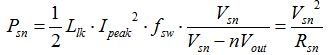
其中Ipeak是关闭开关Q1之前的峰值漏极电流。有两种方式计算缓冲器网络中的功耗(Psn);通过Dsn提供的电源和Rsn中的功耗,如下所示:

(2)
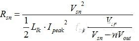
其中fsw是反激式转换器的开关频率。因此,缓冲器电阻Rsn可由下列等式获得:

(3)
这是查找缓冲器电阻Rsn的传统方式。但是,L-C谐振几步后,峰值漏极电流Ipeak被降低了一些。因此,等式(3)可能误导被过度设计的系统。
让我们使用谐振坐标得出实际峰值漏极电流,以避免在下一节过度设计RCD缓冲器。
2.2 谐振坐标中的RCD缓冲器设计和分析
本节将使用谐振坐标设计RCD缓冲器。仅设计缓冲器时,无需分析整个反激式操作模式。图3显示每个模式的等效电路,图4显示反激式转换器中的开关MOSFET的vDS(t)。


图3:关闭主开关后显示的每个模式的等效电路(按顺序依次为模式1至4)

图4:关闭开关后的vDS(t)
在模式1中,电感(Llk和Lm)中的电流对CDS充电,直至其电压达到Vin+nVout,其中Lm是变压器的磁化电导。在t1,次级二极管接通,并且磁化电导的两端箝位在反映的输出电压nVout上。在模式2中,通过CDS和Llk之间的谐振,CDS上的电压增加到Vin+Vsn,从而接通缓冲器二极管。因此,漏极电压箝位在Vin+Vsn(在模式3期间)。CDS和Llk之间的谐振由于减幅如模式2一样在模式4中恢复。
当电感和电容与DC电压源(Vdc)串联谐振时,电容上的电压和通过电感的电流可绘制在一个平面中。在平面上,X轴是电压,Y轴是电流。如果将L- C回路的特性阻抗乘以Y轴而使两个轴的单位相同,电压和电流的轨迹将显示一个圆,圆的原点在(Vdc, 0),半径为起点和原点之间的长度。使用这种图形方式来理解谐振,就很容易找到图4中t2的实际峰值漏极电流。在模式1~4期间,iDS(t)和 vDS(t)绘制在谐振坐标中,如图5所示。

图5:谐振坐标中的模式分析
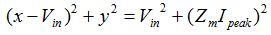
模式1中是圆,圆的原点在(Vin,0),起点在(0,ZmIpeak)。它一直持续到vDS(t)达到Vin+nVout,如图4中所示。根据图5的模式1,圆的等式如下:
(4)
其中Zm是Lm+Llk和CDS、√((Lm+Llk)/CDS)的特性阻抗。
模式2中是椭圆,椭圆的原点在(Vin+nVout,0),起点在(A, B)。通过坐标映射,圆变成椭圆,因为特性阻抗从√((Lm+Llk)/CDS)变为√(Llk/CDS)。根据图5的模式2,椭圆的等式如下:
(5)
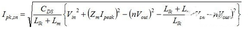
缓冲器二极管在模式2的末端接通,即点(C,D)。因此,当缓冲器二极管接通时实际峰值电流为D/Zm,即D/√((Lm+Llk)/CDS)。根据等式(4)和(5),实际峰值电流Ipk,sn如下:

(6)
应在等式(3)中使用Ipk,sn而非Ipeak,以获得更精确的Rsn。
通常情况下,根据Ipeak近似值选择Rsn,相应地Rsn是一个过度设计的值,因为Psn被高估。使用Ipk,sn,我们可以得到一个更精确、更小的Psn估计值,因此Rsn也更大。
3. 结论
我们可以使用谐振坐标找到精确的缓冲器峰值电流。根据等式(3)和(6),Llk、Ipk,sn和fsw应减小,而CDS应增加,以减少缓冲器损失。但这可能会带来一些副作用,如更高的开关损耗、更大尺寸的变压器等等。因此,在设计时必须考虑到所有因素。本文中提供的精确等式将帮助系统设计人员轻松设计RCD缓冲器。
射频工程师养成培训教程套装,助您快速成为一名优秀射频工程师...
天线设计工程师培训课程套装,资深专家授课,让天线设计不再难...
上一篇:EPS消防应急电源现场检查项目与检查方法
下一篇:基于BUCK调压的小功率高压电源

