- 易迪拓培训,专注于微波、射频、天线设计工程师的培养
基于ZS6366的高效率移动电源应用设计
随着智能移动设备性能的不断提升,电池越来越不堪重负,移动电源产品随之发展壮大,此外,用户需求的提升也要求产品朝着灵活设计的方向发展。目前市场上的锂电池充电管理IC 大多为1A线性充电,其缺点表现为:1A的线性充电温度很高、片上热阻损耗严重,导致线性电池充电管理IC的电流很难做到2A,即使通过外扩MOS做到 2A,温度也比较高,而且转化效率在70%左右,因此,开关充电就显得非常必要。目前市场上对锂电池充电管理IC的需求主要是:2A~3A大电流集成MOS、开关式效率达到90%以上,以及低温充电管理IC.另外,多功能的集成芯片越来越受欢迎,包括开关充电管理、电池电量检测显示、同步升压输出限流等功能集成于单一芯片之上成为当今的发展趋势。
集成多功能,低成本更可靠
“三合一”、“五合一”芯片受到市场欢迎。ZS6366即是一款应用于移动电源,集成了开关锂电池充电管理、同步升压输出限流、电池电量检测显示、LED手电筒及按键控制为一体的便携式电源管理IC.它以开关方式进行充电,集成了包括涓流充电、恒流充电和恒压充电全过程的充电方式,浮充电压精度在全温度范围可达±1%,并且具有充电电流温度低,充电效率高等优点,配合适当的外围器件可以达到2A甚至更高的充电电流。
在充电状态下,如果输出USB同时接了负载,ZS6366的动态路径调整功能会智能分配输入电流优先提供给负载,如果负载电流增大,则会自动关闭充电,待负载充电电流逐渐减小到一定值时再打开电池充电,有效地限制了输入电流,防止损坏供电的适配器或者USB.同时也可以通过按键切换充电或放电。
ZS6366的DC-DC升压可达到±1%的精度,可以提供高达90%以上的升压转换效率,同时具有精确的升压限流功能。ZS6366 配置了4个LED恒流驱动端口,智能显示电池电量,芯片内置逻辑锁定功能,防止电量指示的状态不稳,同时集成了电池真实电压追踪技术,跟踪电芯内部真实电量,防止充放电造成的电压偏差。另外,ZS6366具有多重保护设计,包括负载过流保护、短路保护、软启动保护等,同时芯片端口设计了高性能的ESD保护电路,使得该款芯片具有极高的可靠性。电池放电在2.9V时关断,有效保护和延长电池充放次数和寿命。 基于ZS6366的应用实例
ZS6366采用同步降压方式来对锂电池进行充电,此做法的好处是可以将转换效率提升至90%以上,并且能很好地规避线性管理IC的温度高、电流无法做大的问题。而在充电功能、升压功能及保护功能上都做了非常好的优化,在做到快速充电的同时,提高了可靠性,降低了成本。图1为基于ZS6366的典型应用方案的系统框图,图2为充电过程中的状态转换示意,图3是一个典型应用的电路图。
1 开关充电
在充电过程中,ZS6366用开关方式对电池进行涓流/恒流/恒压三段式充电。当电池电压低于3V时进行涓流充电;当电池电压高于3V时进行恒流充电;当电池电压接近4.2V时进行恒压充电,此时充电电流开始逐渐减小,当电流减小到恒流充电电流的1/10时,4个LED灯全部常亮,指示电池已经饱和。这时,芯片可选择电流进一步减小到零,维持浮充电压;或者终止充电,等待电池电压降低到一定电压(VRECHG)时进行复充(Recharge)。
充电时,对电池充电的电流大小由芯片的SNS引脚和BAT引脚之间的采样电阻RS来设定。恒流充电电流ICharge由下式决定:

涓流充电电流为ICharge的1/8,充满判断电流为ICharge的1/10
电流的瞬时增大会对电池造成伤害,当电池直接进入恒流充电时,ZS6366会控制充电电流逐渐增大到设定值,避免了瞬间大电流冲击引起的各种问题。
另外,ZS6366具有动态路径调整功能,保证了USB端负载的优先供电。如果充电过程中,输出USB同时带有负载,ZS6366会控制系统给电池充电同时供电给负载;如果VCCS》3.7mV,ZS6366会控制系统优先供电给负载,同时逐渐减小充电电流直到不充电,让全部输入电流供给负载,同时达到了输入限流的效果,如果VCCS《3.2mV,芯片会控制恢复充电。
2. 同步升压
此方案具有同步升压功能,可将单节锂电池2.9V ~4.2V之间的电压升压到5V输出,给负载供电。电池电压低于2.9V时,芯片系统将判断为电池电量不足,停止升压。当VIN电压低于3.3V时,系统将判断为电源适配器掉电,并启动升压电路。
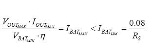
升压时,ZS6366通过CS和CSN检测负载电流,如果负载电流逐渐增加,到达限流值时输出电压会下降,直到不升压(同步整流PMOS常开)。限流值的计算:
同时要满足:

直观地讲,充电电流和升压电流是相关的,如果充电电流设定为1A,在电池电压最低的情况下升压,升压时最多能输出1A左右的电流。如果想增大升压输出电流,则充电电流也要相应增加。
另外,ZS6366还具有放电过流保护和短路保护功能,负载电流超过限流电流继续增大,直至CS与CSN两端的压差超过60mV,且维持时间超过1s,则系统启动负载过流保护功能,芯片关闭USB的输出通路,进入待机状态。 3 保护
此方案拥有多种保护功能,可保障器件的正常工作。保护功能包括:充电USB短路保护、升压USB短路保护、二级短路保护和USB过压保护等功能。
充电USB短路保护:当充电时USB发生短路,芯片会关闭USB输出,熄灭电量指示灯,同时继续为电池充电;短路解除后,短按按键可以解除短路保护状态,USB输出打开,电量指示灯亮起,16s后恢复充电。
升压USB短路保护:当电池升压时,USB发生短路,芯片会关闭升压,进入待机状态;短按按键可以解除短路保护状态。
二级短路保护:在某些极限状态下发生USB短路,芯片检测不到短路状态,但仍然可以关闭USB输出,短路解除后会自动恢复原来状态,保护器件不被损坏,电池端也不会出现大电流,保护IC不会保护。
USB过压保护:输入电压过高,超过6V时,芯片会控制关闭USB输出,防止接在USB的便携设备因为过压而损坏,指示灯闪烁,提示输入电压异常,充电仍然正常进行。输入电压正常后状态解除。
4. 系统其他控制功能
当一个灯以4Hz频率开始闪烁时,表示系统内部电池电量不足(即电池电压已经低于2.9V),需要充电,这时升压系统已经关闭,LED灯闪烁4s后,系统进入待机状态。
在无电源的情况下,短按按键,启动5V升压系统给负载供电,同时LED灯显示当前电量,维持时间约为8秒钟,之后LED灯自动关闭,如果在8秒钟内灯没有熄灭的时候再一次短按手动开关,则灯会马上关闭。
设计的注意事项
在设计过程中,电阻、电容、电感等元器件的选择对于系统的正常工作起着非常重要的作用。比如电阻,RS和RCS的精度影响采样电流的精度,因此推荐使用1%精度的电阻;对于封装,请根据电阻实际的功率计算,也可以用两个并联的形式分散热量。例如:RS在升压时流过电流最大为2A,则它最大功耗是2A×2A×0.04Ω=0.16W
RFB1和RFB2的精度影响输出电压的精度,因此推荐使用1%精度的电阻,如担心虚焊的问题也可考虑RFB1采样两个电阻并联。
总结
ZS6366运用了比较新颖的拓扑结构,升压和降压用同一个电感,不但充电可以做到同步,还支持同步升压给手机充电,所以在1A~2A输入充电时效率和温度表现都很好,同时还集成了运算放大器,可实现精准电量指示,并提供过充过放、过压、过流、短路、限流保护等功能。
射频工程师养成培训教程套装,助您快速成为一名优秀射频工程师...
天线设计工程师培训课程套装,资深专家授课,让天线设计不再难...
上一篇:不看不知道
一款碱性电池充电器电路
下一篇:不良太阳能电池片的控制流程

