- 易迪拓培训,专注于微波、射频、天线设计工程师的培养
理清头绪 反激的DCM与CCM是怎样工作的?
对于反激的DCM与CCM工作状态大家议论的很多,但大多并没有讲解透彻,经过小编整理网友“amonson”的精华帖,希望与大家共同研究,力图把这个问题完全讲明白。废话不多说,先上初级线圈电流波形:

图中Ipk1表示DCM条件下的电感峰值电流,Ipk2表示CCM条件下的电感峰值电流。如果我们要设计一个反激电源,要求输出电压Vo、输出电流Io,输入最低直流电压Vin、输入最高直流电压Vm。设计的第一步先规定一个工作频率f(当然频率的确定需要考虑很多因素,但这里只专注于讨论DCM和CCM工作模式,暂且直接规定f),然后规定最大占空比D(反激通常在0.5以下为佳),现在分别按照DCM和CCM模式进行设计:
1、 因为输出功率等于输入功率乘以效率,而输出功率为Vo*Io,输入电压范围也已知,所以首先假定效率并计算初级电流。

如果我们设计为DCM工作方式,显然峰值电流更高,但由于其能量完全传递,在散热允许的条件下,DCM方式可以用相对较小的磁芯输出更大的功率。
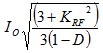
2、 初级电流确定后,就可以由此计算出初级所需的电感量L。

因为KRF一定小于1,所以L2一定大于L1,即同样输出功率、同样输入电压、同样开关频率和占空比、同样效率时,DCM的电感量一定小于CCM的电感量。3、 选择合适的磁芯


Vo和Io已知,Bm由磁性材料和工作温度决定,由于采用有效值进行计算,所以Kj可以取8A/mm2,但需要注意趋肤效应。初级线圈窗口利用率Kw,假设用圆线把窗口绕满,则总的利用率为3.14/4=78.5%;再假设辅助绕组、屏蔽层、绝缘胶带占用15%,则初次级绕组共占78.5%-15%=63.5%;通常次级圈数少,优先考虑次级绕完满层,所以初级需要占用较多的窗口面积,假定初级占36%;为了满足绝缘要求,普通漆包线绕制变压器是还需要加档墙,由于档墙是固定宽度的,所以磁芯绕线宽度越短,档墙占据的比例越高,小功率应用场合甚至可能占30%以上。所以功率越小越依靠经验选择磁芯,估算的初级线圈窗口利用率误差非常大。
4、 计算变压器各绕组圈数和线径
5、计算功率器件的电压电流。主开关FET的电流有效值与变压器初级电流有效值相同,峰值电压和峰值电流:

整流二极管的电流有效值:

峰值电压和峰值电流:

值得注意的是:磁芯的选择需要考虑很多问题,首先是材质和环境温度,若环境温度很高(70度),而且磁材的温升也较高(XX度/(W cm3))、居里温度却相对较低,那么就要尽可能减小铁损。铁损是和材质、频率(f)和磁摆幅(delt B)相关的,频率越高或者delt B越大,铁损就越大,所以高频(>300KHz)或高温(>55度)应用条件,需要选用特殊磁材或者降低工作频率或者减小delt B。
射频工程师养成培训教程套装,助您快速成为一名优秀射频工程师...
天线设计工程师培训课程套装,资深专家授课,让天线设计不再难...
上一篇:充电器的常见故障及排除方法
下一篇:您真的吃透电阻的用法了吗?

