- 易迪拓培训,专注于微波、射频、天线设计工程师的培养
半桥LLC谐振转换器的配置与特性讲解
等离子和液晶电视如今已经走入了千家万户,这两种电器的开关电源设计比较特殊,只能采用有源或者无源PFC模式,并且需要能够长时间在无散热通风的环境下工作。这就要求电源不仅要拥有高功率密度和平滑的电磁干扰信号,还要尽量少的使用元器件。而在这些方面,半桥LLC谐振转换器拥有诸多的优势。
半桥LL谐振电容和谐振电感的配置
单谐振电容和分体谐振电容都存在于半桥转换器当中。如图1所示。对于单谐振电容配置而言,它的输入电流纹波和均方根(RMS)值较高,而且流经谐振电容的均方根电流较大。这种方案需要耐高压(600~1,500V)的谐振电容。不过,这种方案也存在尺寸小、布线简单等优点。

(a)单谐振电容;(b)分体谐振电容。
图1:半桥LLC转换器的两种不同配置
分体谐振电容相较于单个谐振电容而言,其输入电流纹波和均方根值较小。谐振电容仅处理一半的均方根电流,且所用电容的电容量仅为单谐振电容的一半。当利用钳位二极管(D3和D4)进行简单、廉价的过载保护时,这种方案中,谐振电容可以采用450V较低额定电压工作。
顾名思义,半桥LLC转换器中包含2个电感(励磁电感Lm和串联的谐振电感Ls)。根据谐振电感位置的不同,谐振回路也包括两种不同的配置,一种为分立解决方案,另一种为集成解决方案。这两种解决方案各有其优缺点,采用这两种方案的LLC的工作方式也有轻微差别。
将谐振电感安装在变压器外面是有目地的。其能够帮助设计者提高设计的灵活性,令设计人员可以灵活设置Ls和Lm的值;此外,EMI幅射也更低。不过,这种解决方案的缺点在于,变压器初级和次级绕组间的绝缘变得复杂,并且绕组的冷却条件变差,并需要组装更多元件。

(a)分立解决方案;(b)集成解决方案。
图2:谐振储能元件的两种不同配置
在另一种集成的解决方案中,变压器的漏电感被用作谐振电感(LLK=LS)。这种解决方案只需1个磁性元件,而且会使得开关电源的尺寸更小。此外,变压器绕组的冷却条件更好,且初级和次级绕组之间可以方便地实现绝缘。不过,这种解决方案的灵活性相对较差(可用的LS电感范围有限),且其EMI幅射更强,而初级和次级绕组之间存在较强的邻近效应。半桥LLC转换器建模和增益特性
LLC转换器可以通过一阶基波近似来描述。但只是近似,精度有限。而在Fs频率附近精度达到最高。
等效电路的传递函数为:

这其中,Z1和Z2与频率有关,由此可知LLC转换器的行为特性类似于与频率有关的分频器,负载越高,励磁电感Lm所受到的交流电阻Rac产生的钳位作用就越大。这样一来,LLC储能电路的谐振频率就在Fs和Fmin之间变化。在使用基波近似时,实际的负载电阻必须修改,因为实际的谐振回路是由方波电压驱动的。
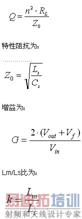
相应地,转换器的品质因数为:

串联谐振频率Fs和最小谐振频率Fmin分别为:


图3:标准化增益特性(区域1和区域2为ZVS工作区域,区域3为ZCS工作区域)。
LLC转换器所需要的工作区域是增益曲线的右侧区域(其中的负斜率意味着初级MOSFET工作在零电压开关ZVS模式下)。当LLC转换器工作在fs=1(对于分立谐振回路解决方案而言)的状态下时,它的增益由变压器的匝数比来给定。从效率和EMI的角度来讲,这个工作点最具吸引力,因为正弦初级电流、MOSFET和次级二极管都得到优化利用。该工作点只能在特定的工作电压和负载条件下达到(通常是在满载和额定Vbulk电压时)。
增益特性曲线的波形及所需的工作频率范围由如下参数来确定:Lm/Ls比(即k)、谐振回路的特征阻抗、负载值和变压器的匝数比。可以使用PSpice、Icap4等任意仿真软件来进行基波近似和AC仿真。
图5:分立(a)和集成(b)谐振回路解决方案的仿真原理图。
对于LLC谐振转换器而言,满载时品质因数Q和Lm/Ls的恰当选择是其设计的关键。这方面的选择将影响到如下转换器特性:
输出电压稳压所需的工作频率范围;
线路和负载稳压范围;
谐振回路中循环能量的大小;
转换器的效率;
在设计当中,如果想要优化在满载状态时的Q和K,就要确定如下几个因素:效率、线路、负载稳压范围。品质因数Q直接取决于负载,它是由满载条件下的谐振电感Ls和谐振电容CS确定的。Q因数越高,就导致工作频率范围Fop越大。Q值较高及给定负载时,特征阻抗就必须较低,因为低Q会导致稳压能力下降,且Q值很低的情况下LLC增益特性会退化到SRC。
而在k=Lm/Ls方面,它决定了励磁电感中存储多少能量。k值越高,转换器的励磁电流和增益也就越低;且k因数越大,所需的稳压频率范围也就越大。
在实践中,Ls(如集成变压器解决方案的漏电感)只能在有限的范围内取值,而且是由变压器的构造(针对所需的功率等级)和匝数比决定。然后,Q因数的计算由所需的额定工作频率fs确定。这之后,k因数也必须计算出来,以确保输出电压稳压(带有线路和负载变化)所需的增益。而在设定k因数时,可以让转换器在轻载时无法维持稳压——可以方便地使用跳周期模式来降低空载功耗。
通过对实例的讲解,本文介绍了半桥LLC谐振转换器设计的部分要点和技巧,如配置、工作状态、增益特性等等。不仅如此,还对一些特定的参数进行了确定。希望本篇文章能够帮助大家增进对半桥LLC谐振转换器的了解。
射频工程师养成培训教程套装,助您快速成为一名优秀射频工程师...

