- 易迪拓培训,专注于微波、射频、天线设计工程师的培养
详解一款高频输出不对称半桥逆变器电路
引言
近年来提出了一种新的高频输配电系统HFPDS(Highfrequencypowerdistributionsystem),与传统的直流配电系统不同的是,HFPDS采用高频交流配电系统。它具有以下优点:(1)系统简单;(2)效率高;(3)可靠性高;(4)成本低。由于输出频率比较高,无法采用SPWM等控制方法,所以目前的高频输出逆变器多为方波或准方波输出,然后通过谐振滤波网络得到高频正弦波。本文分析了变换器的工作原理,软开关实现条件和谐振滤波电路的设计。

图1高频输出不对称半桥逆变器

图2不对称半桥逆变器的关键波形
图1为高频输出不对称半桥逆变器拓扑,由不对称半桥变换器、四阶谐振滤波网络和高频变压器构成。图2为高频输出不对称半桥逆变器的关键波形。不对称半桥逆变器在一个开关周期中可以分成6个不同的工作时段。当不对称半桥逆变器带阻性负载时,谐振滤波器设计为感性,使输出电压超前串联谐振支路的电流,实现所有开关管软开关。为了分析方便,在不影响分析结果的前提下,做如下假设:①所有开关管、电感、电容、变压器均为理想器件;②谐振滤波器滤波能力足够,输出电压的频率与开关管频率相同。各开关状态的工作情况描述如下:
(1)工作模态1[t0---t1]
t0时刻,开关管Q2关断。因为负电流is的存在,C1放电,C2充电,一旦C1端的电压为零时,负谐振电流is使得D1导通。在死区时间内必须有足够的能量将C1中能量抽走。
(2)工作模态2[t1---t2]
在t1时刻开通Q1,则开关管Q1为零电压开通。此时D1和Q1同时导通。
(3)工作模态3[t2---t3]
到t2时刻,电流为零。此时以后输入电压加在谐振滤波器的输入端,使电流is正向流动,给负载供电。
(4)工作模态4[t3---t4]
在t3时刻,开关管Q1关断,因为寄生电容的存在,开关管Q1相当于软关断。由于电流为正,此时C1充电,C2放电。一旦C2端的电压为零时,正谐振电流is使得D2导通。此段时间内亦必须有足够的能量抽走C2中的能量。
(5)工作模态5[t4---t5]
t4时刻,开通Q2,则开关管Q2为零电压开通。此时D2和Q2同时导通。
(6)工作模态6[t5---t6]
到t5时刻,电流为零。此时以后谐振滤波器开始释放能量,使电流is负向流动,给负载供电。
软开关实现条件
不对称半桥逆变器在死区时间内要有足够的能量来抽走将要开通的开关管结电容或者外并电容上的电荷,并给另一个刚刚关断的开关管结电容或者外并电容充电,则谐振滤波器必须设计为感性,即输出电压超前于串联谐振支路的电流。这是实现功率开关管ZVS的必要条件。如果不满足式(1),那么就无法实现ZVS。开关管Q1和Q2之间的死区时间必须足够长,才能使开关管结电容或者外并电容完全进行充放电。
(1)
式中,Lr为谐振滤波器的等效电感,I1为死区时间内的平均电流,Ci()为开关管的结电容或者外接电容。
谐振式滤波器分析
不对称半桥变换器的输出端vs(t)为准半方波,而输出电压波形THD要小于2%,则必须只有采用4阶和高于4阶的谐振式滤波器才能滤出THD小于2%的正弦波,同时为了减小滤波器体积,选择4阶谐振式滤波器。谐振式滤波器的作用有:(1)将输出的准方波进行滤波,隔离直流分量,减小输出电压的谐波含量,使波形接近正弦波;(2)在阻性负载的情况下,使得输出电压超前于串联谐振支路的电流,从而实现全桥开关管的ZVS。设计谐振式滤波器的Ls、Cs的谐振频率等于开关频率,Lp、Cp的谐振频率高于开关频率。为了分析方便,将Lp分解为Lp1和Lp2,其中Ls和Cs在开关频率处串联谐振,Lp1和Cp在开关频率处并联谐振,等效电路图如图3所示。

图3串并联谐振式滤波器等效电路图
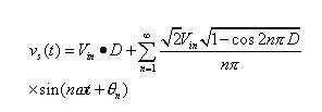
不对称半桥变换器的输出端vs(t)经傅立叶分解得到(2)式。
(2)
其中

Vin为直流母线电压,D为开关管Q1的占空比,为基波角频率。
不对称半桥变换器的输出端vs(t)经谐振滤波器滤波后得基波电压,即输出电压的有效值为:
(3)
输出电压与输入电压之比和开关管Q1的占空比D的关系如图所示。

图4输出电压与输入电压之比和D的关系
相对于基波来说,谐振滤波器为感性。按传统的串并联谐振滤波器设计在基波频率下完全谐振的Ls、Cs和Lp1、Cp;再通过软开关实现条件设计电感Lp2。
仿真结果
为了验证本方案的可行性,对此逆变器进行了仿真验证。仿真数据如下:输入电压Vin=510V,输出电压Vo=500V,输出电压频率为118kHz、Ls=88μH、Cs=20nF、Ls=20μH、Cp=70nF、开关频率fs=118kHz、变压器初次级变比

图5输出电压vo、滤波器串联支路的电流is波形

图6的驱动电压波形vGS和vDS波形

图7的驱动电压波形vGS和vDS波形

图8输出电压THD分布图
图5为阻性负载下的输出电压vo和谐振滤波器串联支路的电流is波形。图6为阻性负载情况下的Q1的驱动电压波形vGS及其DS端的电压vDS波形,在驱动电压vGS变为正时,MOS管的vDS已经为零,此时开关管的开通是零电压开通。而当开关管关断时,其结电容限制了vDS的上升速率,因此开关管近似零电压关断,由此说明了开关管实现了ZVS。图7为阻性负载情况下的Q2的驱动电压波形vGS及其DS端的电压vDS波形。
结论
本文研究了不对称半桥软开关高频输出逆变器,详细分析了不对称半桥逆变器的工作原理,软开关实现条件和谐振滤波器的设计。实验表明,此方案能够输出THD小于3%的高频交流正弦波,在典型负载为阻性时,从空载到满载范围内实现零电压开关,效率高,适用于小中功率高频交流电输出场合。
射频工程师养成培训教程套装,助您快速成为一名优秀射频工程师...
天线设计工程师培训课程套装,资深专家授课,让天线设计不再难...
上一篇:三种高效可靠低成本的PFC逆变器方案
下一篇:LM25037车载逆变器设计方案

