- 易迪拓培训,专注于微波、射频、天线设计工程师的培养
一种基于L6562的高功率因数Boost电路的设计方案
引言
Boost是一种升压电路,这种电路的优点是可以使输入电流连续,并且在整个输入电压的正弦周期都可以调制,因此可获得很高的功率因数;该电路的电感电流即为输入电流,因而容易调节;同时开关管门极驱动信号地与输出共地,故驱动简单;此外,由于输入电流连续,开关管的电流峰值较小,因此,对输入电压变化适应性强。
储能电感在Boost电路起着关键的作用。一般而言,其感量较大,匝数较多,阻抗较大,容易引起电感饱和,发热量增加,严重威胁产品的性能和寿命。因此,对于储能电感的设计,是Boost电路的重点和难点之一。本文基于ST公司的L6562设计了一种Boost电路,并详细分析了磁性元器件的设计方法。
Boost电路的基本原理
Boost电路拓扑如图1所示。图中,当开关管T导通时,电流,IL流过电感线圈L,在电感线圈未饱和前,电流线性增加,电能以磁能的形式储存在电感线圈中,此时,电容Cout放电为负载提供能量;而当开关管T关断时,由于线圈中的磁能将改变线圈L两端的电压VL卡及性,以保持其电流IL不突变。这样,线圈L转化的电压VL与电源Vin串联,并以高于输出的电压向电容和负载供电,如图2所示是其电压和电流的关系图。图中,Vcont为功率开关 MOSFET的控制信号,VI为MOFET两端的电压,ID为流过二极管D的电流。以电流,IL作为区分,Boost电路的工作模式可分为连续模式、断续模式和临界模式三种。


分析图2,可得:

式(2)即为Boost电路工作于连续模式和临界模式下的基本公式。
临界状态下的Boost-APFC电路设计
基于L6562的临界工作模式下的Boost-APFC电路的典型拓扑结构如图3所示,图4所示是其APFC工作原理波形图。


利用Boost电路实现高功率因数的原理是使输入电流跟随输入电压,并获得期望的输出电压。因此,控制电路所需的参量包括即时输入电压、输入电流及输出电压。乘法器连接输入电流控制部分和输出电压控制部分,输出正弦信号。当输出电压偏离期望值,如输出电压跌落时,电压控制环节的输出电压增加,使乘法器的输出也相应增加,从而使输入电流有效值也相应增加,以提供足够的能量。在此类控制模型中,输入电流的有效值由输出电压控制环节实现调制,而输入电流控制环节使输入电流保持正弦规律变化,从而跟踪输入电压。本文在基于此类控制模型下,采用ST公司的L6562作为控制芯片,给出了Boost-APFC电路的设计方法。
L6562的引脚功能如下:
INV:该引脚为电压误差放大器的反相输入端和输出电压过压保护输入端;
COMP:该引脚同时为电压误差放大器的输出端和芯片内部乘法器的一个输人端。反馈补偿网络接在该引脚与引脚INV之间;
MULT:该引脚为芯片内部乘法器的另一输入端;
CS:该脚为芯片内部PWM比较器的反相输入端,可通过电阻R6来检测MOS管电流;
ZCD:该脚为电感电流过零检测端,可通过一限流电阻接于Boost电感的副边绕组。R7的选取应保证流入ZCD引脚的电流不超过3 mA;
GND:该引脚为芯片地,芯片所有信号都以该引脚为参考,该引脚直接与主电路地相连;GD:为MOS管的驱动信号输出引脚。为避免MOS管驱动信号震荡,一般在GD引脚与MOS管的栅极之间连接一十几欧姆到几十欧姆的电阻,电阻的大小由实际电路决定;
VCC:芯片电源引脚。该引脚同时连接于启动电路和电源电路。
另外,在电路设计时,稳压管D2应选用15 V稳压管,电容C2应选用10μF的电解电容;二极管D5应选用快恢复二极管(如1N4148);电阻R3应选用几百千欧的电阻。
图5给出了由L6562构成的APFC电源的实际电路图。图中,输入交流电经整流桥整流后变换为脉动直流,作为Boost电路的输入;电容C4用以滤除电感电流中的高频信号,降低输入电流的谐波含量;电阻R1和R2构成电阻分压网络,用以确定输入电压的波形与相位,电容C10用以虑除3号引脚的高频干扰信号;Boost电感L的一个副边绕组,一方面通过电阻R7将电感电流过零信号传递到芯片的5脚,另一方面作为芯片正常工作时的电源;芯片驱动信号通过电阻R8和R9连到MOS管的门极;电阻R11作为电感电流检测电阻,用以采样电感电流的上升沿(MOS管电流),该电阻一端接于系统地,另一端同时接在MOS管的源极,同时经电阻R10接至芯片的4脚;电阻R5和R6构成电阻分压网络,同时形成输出电压的负反馈回路;电容C9连接于芯片1、2脚之间,以组成电压环的补偿网络;电阻R4,电容C6,二极管D5,稳压管D6和Boost电感的副边则共同构成芯片电源。

Boost电感的设计
本设计采用AP法则来设计Boost电感。其原理是首先根据设计要求计算所需电感:

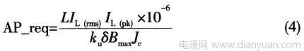
式中,Virms为输入电压有效值;Vo为输出电压,fsw(min)为MOS管的最小工作频率,通常在20kHz以上;Pi为输入功率。计算要求的AP值为:

式中,Ku为磁芯窗口利用率,Jc为电流密度,IL(pk)为电感电流峰值。
根据(4)式的计算结果可选择磁芯的AP值(大于AP_req,AP=AeAw,单位为m4)。
然后根据所选磁芯来计算原边匝数及所需气隙。副边匝数一般按10:1选取。

实验波形分析
为了验证以上设计的合理性,本文设定最小输入电压为187 V,最大输入电压为264 V,输入频率为50 Hz,输出电压为400 V,PF=0.99,效率为87%,输出功率26.5 W,最小工作频率为65 kHz来进行实物实验,同时根据计算,并通过IL(pk)=465.3 mA来选取导线为mm,Jc=4/mm2,L=2.99 mH(L=2.7 mH时,验证最小频率为72 kHz>65 kHz,可满足设计要求)。
设Ku=0.3,δBmax=0.3T,由(4)式计算得:
AP_req(min)=6.64×10-10m4
这样,可选择磁芯EE16/6/5,其AP=7.5×10-10m4,可满足设计要求;而由(5)式计算得Np=218.1匝,取215匝,并验证δBmax=0.304T,气隙lgap=0.41 mm
根据以上计算参数所搭建的试验模型来进行的结果如图6所示。

由图6可见,输入电流能良好的跟随输入电压,且电流电压相位差接近于零,故可实现高功率因数的控制。另外,MOSFET的电流是一种高频三角波,其包络为输入电压。由于MOSFET可实现软开关,能有效减小开关损耗。根据测试结果,该电路的PF可达0.998以上,THD在5%以下。
结束语
本文基于L6562芯片设计了Boost高功率因数电路,并引用AP法则设计其关键元器件——Boost电感。经试验验证,该电路启动电流小,外围元器件少,成本低廉,能同时满足电源系统重量轻,稳定性好,可靠性高等要求。实验证明,AP法则是一种快速准确的设计方法。
射频工程师养成培训教程套装,助您快速成为一名优秀射频工程师...
天线设计工程师培训课程套装,资深专家授课,让天线设计不再难...
上一篇:基于UCC28060
交错并联控制器的液晶电视电源系统
下一篇:ucc28019_基于UCC28019的高功率因数电源

