- 易迪拓培训,专注于微波、射频、天线设计工程师的培养
教你用对小功率CRM Boost PFC转换器
如图,电压误差放大器的输出X与整流输人电压μdc采样值Y的乘积Z作为峰值电流的基准信号,与检测电感电流iL比较。一个开关周期内开关管V导通,于是电感电流iL上升,当电流采样值iLRS达基准信号Z时,开关管V关断;电流iL从峰值iP下降到零时,再次打开开关管V(实际上,当iLRs<U△时,UΔ是略高于零的固定电压,可以默认为iL已经到零)。

图1CRM Boost PFC转换器的原理电路框图和工作波形
输入整流电压仍由式(8-10)示,假设电流基准信号为:
z=ImRs|sinωt|
采样电流iLRs的峰值ipRs,应当等于Z,如图8-12(b)所示,即
iP=Im|sinωt|
注意到电感电流临界连续,故在一个开关周期内的输人电流平均值iLav(即滤除高频谐波后的输人电流iin)等于其峰值的一半,即:

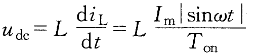
由此式可见,CRM Boost PFC转换器的输人端功率因数在理论上可以达到1。忽略μi在一个开关周期内的变化,有在开关管V导通期间,
即

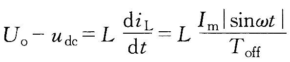
在开关管V关断期间,

即

由式(8-13)、式(8-14)可得开关周期:

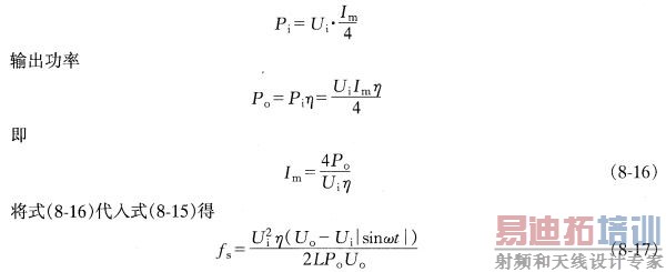
由式(8-10)和式(8-12),可得转换器的平均输入功率

对式(8-12)和式(8-17)进行分析,可得CRM BooSt PFC转换器的特点如下:
(1)理论上输人功率因数可以达到1;
(2)半个工频周期内,开关管的导通时间是恒定的,而且开关频率随着输人电压相位的变化,越接近电压的峰值点,开关频率越低;
(3)平均开关频率随着输入电压的有效值和负载变化,负载越轻,则平均开关频率越高。
由于ZCS有着特有的性能,CRM Boost PFC转换器的工作效率高;但电感电流的纹波大,而且是变频调制,所需的EMI滤波器也较大,因此该方案适用于小功率应用。
射频工程师养成培训教程套装,助您快速成为一名优秀射频工程师...

