- 易迪拓培训,专注于微波、射频、天线设计工程师的培养
基于FPGA的数字下变频设计与实现
在扩频通信中,数字下变频(DDC)是一种很重要的技术,它包括数字混频器、数控振荡器以及数字滤波器三部分。而传统的DDC大多采用专用芯片,虽然其外围电路简单、功能实现容易控制,但其大部分功能已经固化,存在兼容性较差、产品开发灵活性低、后续升级困难等缺陷。本文利用FPGA运算快速、易于升级等优点,在简化算法的基础上,用最短的时间进行混频滤波得到两路相交信号。用Verilog语言对整个下变频进行行为描述建模,并给出相应的仿真综合结果。
1 正交下变频方案理论分析
因为DDC的数据流是采样信号的速率,DSP处理芯片很难完成高频实时处理任务,而且FPGA中通常有大容量ROM资源,满足查找表所需ROM资源,所以更适合用FPGA实现数字正交下变频。数字正交下变频是借助数控振荡器NCO通过查找表的方式产生本地正交载波信号,与输入信号进行正交混频,经过低通滤波得到I—Q基带信号。图 1为其方案框图。

接收机收到的高频信号表达式为:
式中,
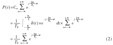
为接收信号的幅值,d(t)为数据信息的波形, c(t)为伪码波形,fc=891 MHz,fd=18.176 MHz为信号频偏,n(t)为高斯白噪声。根据带通采样定理,引入单位冲激函数δ(t)构成冲激函数P(t):

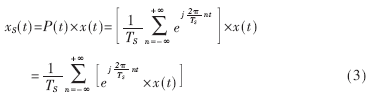
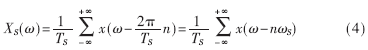
输入信号为x(t),其傅里叶变换为x(ω),则用fS抽样后得到抽样信号可表示为:
由傅里叶变换性质得到XS(ω),可表示为:
由式(5)可知,A/D采样使信号频谱发生了周期延拓。中心频率fC=891 MHz(如图2)经带通欠采样后将信号频谱搬移至fO=18.533 MHz。fO是fC除以fS后的余数。这样A/D采样实现了一个下变频功能。 [p]

接收信号经A/D采样后可表示为:

其中,TS为A/D采样时钟的周期,A为信号幅度的量化,d(nTS)表示二进制数据信息,c(nTS)表示伪码序列信息。
经过A/D后,信号通过一个数字低通滤波器,滤掉噪声和寄生信号,然后与本地NCO输出的频率为18.533 MHz的正交载波相乘,完成数字下变频,再经过低通滤波,滤除倍频分量,就可以得到基带扩频信号。
从图2可以看出,本地NCO产生的同相和正交载波
经过正交下变频和低通滤波之后,不考虑噪声的影响,输出信号可以表示为:
其中,
为本地载波与接收信号的频差,
为NCO的载波频率,
为起始相位差。
2 下变频实现方案



3 下变频器模块实现
本文将输入r正弦信号分为16相,NCO通过clk信号脉冲作为控制信号以查找法的形式找出其对应的正余弦值,与r信号混频,得到两路信号i0和q0,再经过低通滤波器,最后得到两路正交信号i和q,如图4和图5所示。从仿真结果可以看出,从第二个clk脉冲开始工作到最后结果输出,仅仅用了52 ns的时间。


本文针对扩频通信接收的数字下变频在特定的输入信号下,通过查找表的方式进行了混频和低通滤波的设计及实现。仿真结果在软件Matlab上的建模结果完全一致,表明了设计的正确性。在Xilinx公司的FPGA集成设计软件ISE7.1环境下选用 xc3s5000-4fg900实现了综合和映射。本文的创新点是:用移位代替滤波器乘法运算,节约了硬件资源;对抽头系数进行扩大,将结果误差减小到了 1%;根据抽头系数的对称性减少了寄存器的使用,节约了读取存储的时间。
射频工程师养成培训教程套装,助您快速成为一名优秀射频工程师...
天线设计工程师培训课程套装,资深专家授课,让天线设计不再难...
上一篇:基于GPRS的箱式变电站监控器设计
下一篇:一种基于DSP的新型单相PWM算法研究

